强化学习:Policy-based方法Part2

2018 年 7 月 11 日 专知

【导读】在Part1部分,我们学习了什么是策略梯度,以及该算法的优势与劣势,在Part2部分,我们将学习到如何通过策略搜索实现策略函数的迭代优化。


作者|Thomas Simonini

编译|专知

整理|Yongxi


【干货】强化学习介绍

【攻克Dota2基础算法】深度Q学习介绍
强化学习:Policy-based方法 Part 1


目前,我们已经知道了基于策略的方法具有求解稳定、搜索效果好、以及始终保持一定的随机探索几率等优势。在本节,将首先从数学角度对相关理论知识给出解答,并给出基于TensorFlow的实现过程。


【策略搜索】


我们已经知道策略π是一个参数化函数,其结果是可以输出动作分布。

但如何评估策略是否是好的呢?策略可以被看作是一个优化问题,我们必须找到最佳的参数θ,来到达最大的分数函数,J(θ)。

 


这里有两个步骤:

  • 通过策略评分函数J来测量策略的质量

  • 使用策略梯度上升来找到最佳的策略参数,来增强我们的策略。


这个想法是,评分函数将告诉我们策略是否是好的。策略梯度上升将帮助我们找到最优的策略参数。


第一步:策略评分函数


我们使用目标函数的方法来评估策略函数的好坏。三种方法对策略优化来说都差不多,具体选择要取决于所处环境与目标。


首先,在一个回合环境中,我们可以使用起始值。计算第一次时间步的收获值(G1)。


 


如果我总是从状态S1开始,那么在整个过程中将能得到多少奖励呢?我们希望找出能最大化G1的策略,以帮助策略优化。


例如,在BreakOut中,当我重新开局时,这一回合总是从相同状态开始。


 


我们使用J1(θ)计算了分数,打掉20个砖块已经很不错了,但我仍希望能提升分数,为了完成一个目标,我需要提高行为奖励的概率分布。


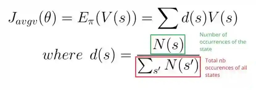
在连续的环境中,我可以使用均值进行计算,以摆脱对某个特殊起始状态的依赖。每个状态价值通过概率被分别权重化(由于某些值比其他出现的更频繁)。


 


最后,我们可以使用没有时间步的平均奖励。这个想法主要是希望获得每个时间的最大奖励。


 

第二步:策略梯度上升

我们已经有了一个策略分数来告诉我们策略是不是足够好。接下来,希望找出参数θ,来最大化得分函数,这就意味着要找出最优化策略。


这一步可以通过在策略参数上执行梯度上升来完成。梯度上升是梯度下降的相反做法,只要记住梯度指向了函数的最陡峭改变的方向就可以很容易的理解。


在梯度下降过程中,我们找出函数的最陡峭的递减方向,而在梯度上升过程中,找出的是函数最陡峭的提高方向。


当需要最小化损失函数时,一般采用梯度下降;而在最大化目标函数时,一般采用梯度上升。


这一步的主要目的是找出梯度最快的提升路径,并沿着该路径进行迭代,优化策略函数。



 

接下来,将通过数学手段对其实现,这一部分有点难,但这是理解策略梯度上升算法的关键一步。


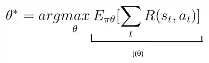
我们的目标是希望找出最好的θ*,进而最大化分数:



 

我们的得分函数可以被定义为如下公式:


 

这个公式意味着对所有策略期望奖励进行累加。


现在,由于我们希望完成梯度上升,所以需要对得分函数进行区分。得分函数定义为如下公式的形式:


我们知道,策略参数会对行为的选择方式、结果、汇报、状态、频率等产生影响。因此,以一种确定性的方式来保证策略的提升是非常有难度的。这是由于在那些选择的瞬间,性能很大程度上依赖了行为选择与状态分布。


这两个都会受到策略参数的影响。策略参数对行为的影响很容易找到,但如何找到其对状态分布的影响呢?


因此,我们面临一个问题,当梯度依赖于很多位置因素的情况下,该如何去估计各个策略的梯度呢?


解决方案是采用策略梯度定理。这为我们提供了一个不需要对状态分布微分的梯度表达方法。


需要注意的是,我们处在一种随机策略之下,这意味着策略输出的概率分布是π(τ;θ),进而通过考虑目前参数θ,来讲一系列的步骤进行输出。


但是对一个概率函数进行微分特别困难,除非可以把它变成对数形式,这回简化求导过程。


现在,将累加转换回期望:


如你所见,接下来,便只需要计算这个公式即可。现在,我们可以得出策略梯度的结论为:


这个策略梯度告诉我们,为了得到较高的评分,应该如何改变策略分布的参数。

R(tau)类似于标量分数:

  • 如果R(tau)很高,这就意味着行动会带来高回报,则需要提高该动作出现的概率。

  • 另一方面,如果R(tau)很低,便需要降低该行为出现的概率。


策略梯度将逐步朝着最有利的方向移动,以得到最高的汇报。


蒙特卡洛策略梯度:


在notebook中,我们将使用这个方法去设计策略梯度算法。由于我们的任务可以被拆分为一个个的回合,所以可以使用蒙特卡洛方法:



但是我们将面对该算法那的一个问题,由于我们仅仅在回合结束时才计算了R,并对所有的行为取平均。即使某些行为的结果非常差,如果平均分很高的话,可能也会认为这些行为都是很好的。


所以为了得到正确的策略,需要进行很多次采样,这就导致了学习的过程很漫长。


具体代码可参见如下链接【1】【2】.


[1] https://gist.github.com/simoninithomas/7a3357966eaebd58dddb6166c9135930#file-cartpole-reinforce-monte-carlo-policy-gradients-ipynb

 

[2] https://gist.github.com/simoninithomas/be159fc279cb1e927eec50e85f7483a0#file-doom-reinforce-monte-carlo-policy-gradients-ipynb


原文链接:

https://medium.freecodecamp.org/an-introduction-to-policy-gradients-with-cartpole-and-doom-495b5ef2207f

-END-

专 · 知


人工智能领域26个主题知识资料全集获取加入专知人工智能服务群: 欢迎微信扫一扫加入专知人工智能知识星球群,获取专业知识教程视频资料和与专家交流咨询!



请PC登录www.zhuanzhi.ai或者点击阅读原文,注册登录专知,获取更多AI知识资料!




请加专知小助手微信(扫一扫如下二维码添加),加入专知主题群(请备注主题类型:AI、NLP、CV、 KG等)交流~



请关注专知公众号,获取人工智能的专业知识!

点击“阅读原文”,使用

登录查看更多
2

相关内容

【圣经书】《强化学习导论(2nd)》电子书与代码,548页pdf
专知会员服务
208+阅读 · 2020年5月22日
《强化学习》简介小册,24页pdf
专知会员服务
282+阅读 · 2020年4月19日
深度强化学习策略梯度教程,53页ppt
专知会员服务
184+阅读 · 2020年2月1日
强化学习扫盲贴:从Q-learning到DQN
夕小瑶的卖萌屋
52+阅读 · 2019年10月13日
DeepMind:用PopArt进行多任务深度强化学习
论智
29+阅读 · 2018年9月14日
论强化学习的根本缺陷
AI科技评论
11+阅读 · 2018年7月24日
【干货】强化学习介绍
人工智能学家
13+阅读 · 2018年6月24日
入门 | 通过 Q-learning 深入理解强化学习
机器之心
12+阅读 · 2018年4月17日
一文学习基于蒙特卡罗的强化学习方法(送书)
人工智能头条
7+阅读 · 2018年3月13日
【强化学习】强化学习/增强学习/再励学习介绍
产业智能官
10+阅读 · 2018年2月23日
【强化学习】强化学习+深度学习=人工智能
产业智能官
55+阅读 · 2017年8月11日
强化学习 cartpole_a3c
CreateAMind
9+阅读 · 2017年7月21日
Arxiv
6+阅读 · 2019年7月29日
Risk-Aware Active Inverse Reinforcement Learning
Arxiv
8+阅读 · 2019年1月8日
Arxiv
4+阅读 · 2018年10月5日
Hierarchical Deep Multiagent Reinforcement Learning
Arxiv
8+阅读 · 2018年9月25日
Arxiv
22+阅读 · 2018年8月30日
VIP会员
最新内容
2026年俄罗斯新型喷气动力无人机Geran-5的技术规格
基于数据优化的人机协同与机器人僚机
专知会员服务
1+阅读 · 今天2:08
美陆军设想无人系统司令部
专知会员服务
3+阅读 · 4月15日
【博士论文】已对齐人工智能系统的持久脆弱性
扭曲还是编造?视频大语言模型幻觉研究综述
专知会员服务
2+阅读 · 4月15日
《采用系统思维应对混合战争》125页
专知会员服务
5+阅读 · 4月15日
战争机器学习:数据生态系统构建(155页)
专知会员服务
8+阅读 · 4月15日
相关资讯
强化学习扫盲贴:从Q-learning到DQN
夕小瑶的卖萌屋
52+阅读 · 2019年10月13日
DeepMind:用PopArt进行多任务深度强化学习
论智
29+阅读 · 2018年9月14日
论强化学习的根本缺陷
AI科技评论
11+阅读 · 2018年7月24日
【干货】强化学习介绍
人工智能学家
13+阅读 · 2018年6月24日
入门 | 通过 Q-learning 深入理解强化学习
机器之心
12+阅读 · 2018年4月17日
一文学习基于蒙特卡罗的强化学习方法(送书)
人工智能头条
7+阅读 · 2018年3月13日
【强化学习】强化学习/增强学习/再励学习介绍
产业智能官
10+阅读 · 2018年2月23日
【强化学习】强化学习+深度学习=人工智能
产业智能官
55+阅读 · 2017年8月11日
强化学习 cartpole_a3c
CreateAMind
9+阅读 · 2017年7月21日
Top
微信扫码咨询专知VIP会员