也来谈谈RNN的梯度消失/爆炸问题

2020 年 11 月 30 日 PaperWeekly


©PaperWeekly 原创 · 作者|苏剑林

单位|追一科技

研究方向|NLP、神经网络


尽管 Transformer 类的模型已经攻占了 NLP 的多数领域,但诸如 LSTM、GRU 之类的 RNN 模型依然在某些场景下有它的独特价值,所以 RNN 依然是值得我们好好学习的模型。而于 RNN 梯度的相关分析,则是一个从优化角度思考分析模型的优秀例子,值得大家仔细琢磨理解。君不见,诸如“LSTM 为什么能解决梯度消失/爆炸”等问题依然是目前流行的面试题之一。

经典的LSTM

关于此类问题,已有不少网友做出过回答,然而笔者查找了一些文章(包括知乎上的部分回答、专栏以及经典的英文博客),发现没有找到比较好的答案:有些推导记号本身就混乱不堪,有些论述过程没有突出重点,整体而言感觉不够清晰自洽。为此,笔者也尝试给出自己的理解,供大家参考。


RNN及其梯度

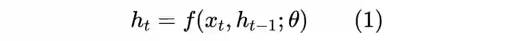
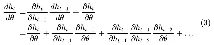
RNN 的统一定义为:

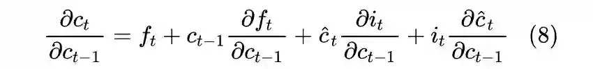
其中 是每一步的输出,它由当前输入 和前一时刻输出 共同决定,而 则是可训练参数。在做最基本的分析时,我们可以假设 都是一维的,这可以让我们获得最直观的理解,并且其结果对高维情形仍有参考价值。之所以要考虑梯度,是因为我们目前主流的优化器还是梯度下降及其变种,因此要求我们定义的模型有一个比较合理的梯度。我们可以求得:

可以看到,其实 RNN 的梯度也是一个 RNN,当前时刻梯度 是前一时刻梯度 与当前运算梯度 的函数。同时,从上式我们就可以看出,其实梯度消失或者梯度爆炸现象几乎是必然存在的:
时,意味着历史的梯度信息是衰减的,因此步数多了梯度必然消失(好比 ;当 ,因为这历史的梯度信息逐步增强,因此步数多了梯度必然爆炸(好比 。总不可能一直 吧?当然,也有可能有些时刻大于 1,有些时刻小于 1,最终稳定在 1 附近,但这样概率很小,需要很精巧地设计模型才行。
所以步数多了,梯度消失或爆炸几乎都是不可避免的,我们只能对于有限的步数去缓解这个问题。


消失还是爆炸?

说到这里,我们还没说清楚一个问题:什么是 RNN 的梯度消失/爆炸?梯度爆炸好理解,就是梯度数值发散,甚至慢慢就 NaN 了;那梯度消失就是梯度变成零吗?并不是,我们刚刚说梯度消失是 一直小于 1,历史梯度不断衰减,但不意味着总的梯度就为 0 了,具体来说,一直迭代下去,我们有:

显然,其实只要 不为 0,那么总梯度为 0 的概率其实是很小的;但是一直迭代下去的话,那么 这一项前面的稀疏就是 t-1 项的连乘 ,如果它们的绝对值都小于 1,那么结果就会趋于 0,这样一来, 几乎就没有包含最初的梯度 的信息了。
这才是 RNN 中梯度消失的含义:距离当前时间步越长,那么其反馈的梯度信号越不显著,最后可能完全没有起作用,这就意味着 RNN 对长距离语义的捕捉能力失效了。
说白了,你优化过程都跟长距离的反馈没关系,怎么能保证学习出来的模型能有效捕捉长距离呢?


几个数学公式

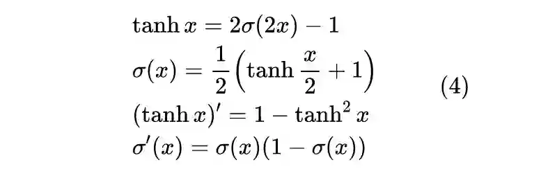
上面的文字都是一般性的分析,接下来我们具体 RNN 具体分析。不过在此之前,我们需要回顾几条数学公式,后面的推导中我们将多次运用到这几条公式:

其中 是 sigmoid 函数。这几条公式其实就是说了这么一件事: 基本上是等价的,它们的导数均可以用它们自身来表示。

简单RNN分析

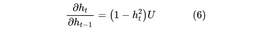
首先登场的是比较原始的简单 RNN(有时候我们确实直接称它为 SimpleRNN),它的公式为:

其中 W,U,b 是待优化参数。看到这里很自然就能提出第一个疑问:为什么激活函数用 而不是更流行的 ?这是个好问题,我们很快就会回答它。
从上面的讨论中我们已经知道,梯度消失还是爆炸主要取决于 ,所以我们计算:

由于我们无法确定 U 的范围,因此 可能小于 1 也可能大于 1,梯度消失/爆炸的风险是存在的。但有意思的是,如果 |U| 很大,那么相应地 就会很接近 1 或 -1,这样 反而会小,事实上可以严格证明:如果固定 ,那么 作为 U 的函数是有界的,也就是说不管 U 等于什么,它都不超过一个固定的常数。
这样一来,我们就能回答为什么激活函数要用 了,因为激活函数用 后,对应的梯度 是有界的,虽然这个界未必是 1,但一个有界的量不超过 1 的概率总高于无界的量,因此梯度爆炸的风险更低。相比之下,如果用 激活的话,它在正半轴的导数恒为 1,此时 是无界的,梯度爆炸风险更高。
所以,RNN 用 而不是 的主要目的就是缓解梯度爆炸风险。当然,这个缓解是相对的,用了 依然有爆炸的可能性。事实上,处理梯度爆炸的最根本方法是参数裁剪或梯度裁剪,说白了,就是我人为地把 U 给裁剪到 [-1,1] 内,那不就可以保证梯度不爆了吗?
当然,又有读者会问,既然裁剪可以解决问题,那么是不是可以用 了?确实是这样子,配合良好的初始化方法和参数/梯度裁剪方案, 版的 RNN 也可以训练好,但是我们还是愿意用 ,这还是因为它对应的 有界,要裁剪也不用裁剪得太厉害,模型的拟合能力可能会更好。


LSTM的结果

当然,裁剪的方式虽然也能 work,但终究是无奈之举,况且裁剪也只能解决梯度爆炸问题,解决不了梯度消失,如果能从模型设计上解决这个问题,那么自然是最好的。传说中的 LSTM 就是这样的一种设计,真相是否如此?我们马上来分析一下。

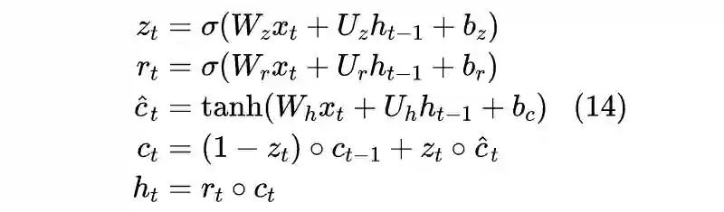
LSTM 的更新公式比较复杂,它是:
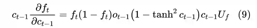
我们可以像上面一样计算 ,但从 可以看出分析 就等价于分析 ,而计算 显得更加简单一些,因此我们往这个方向走。
同样地,我们先只关心 1 维的情形,这时候根据求导公式,我们有:

右端第一项 ,也就是我们所说的“遗忘门”,从下面的论述我们可以知道一般情况下其余三项都是次要项,因此 是“主项”,由于 在 0~1 之间,因此就意味着梯度爆炸的风险将会很小,至于会不会梯度消失,取决于 是否接近于 1。
但非常碰巧的是,这里有个相当自洽的结论:如果我们的任务比较依赖于历史信息,那么 就会接近于 1,这时候历史的梯度信息也正好不容易消失;如果 很接近于 0,那么就说明我们的任务不依赖于历史信息,这时候就算梯度消失也无妨了。
所以,现在的关键就是看“其余三项都是次要项”这个结论能否成立。后面的三项都是“一项乘以另一项的偏导”的形式,而且求偏导的项都是 激活,前面在回顾数学公式的时候说了 基本上是等价的,因此后面三项是类似的,分析了其中一项就相当于分析了其余两项。以第二项为例,代入 ,可以算得:

注意到 ,都是在 0~1 之间,也可以证明 ,因此它也在 - 1~1 之间。所以说白了 就相当于 1 个 乘上 4 个门,结果会变得更加小,所以只要初始化不是很糟糕,那么它都会被压缩得相当小,因此占不到主导作用。
跟简单 RNN 的梯度(6)相比,它也多出了 3 个门,说直观一点那就是:1 个门我压不垮你,多来几个门还不行么?
剩下两项的结论也是类似的:

所以,后面三项的梯度带有更多的“门”,一般而言乘起来后会被压缩的更厉害,因此占主导的项还是 在 0~1 之间这个特性决定了它梯度爆炸的风险很小,同时 表明了模型对历史信息的依赖性,也正好是历史梯度的保留程度,两者相互自洽,所以 LSTM 也能较好地缓解梯度消失问题。
因此,LSTM 同时较好地缓解了梯度消失/爆炸问题,现在我们训练 LSTM 时,多数情况下只需要直接调用 Adam 等自适应学习率优化器,不需要人为对梯度做什么调整了。
当然,这些结果都是“概论”,你非要构造一个会梯度消失/爆炸的 LSTM 来,那也是能构造出来的。此外,就算 LSTM 能缓解这两个问题,也是在一定步数内,如果你的序列很长,比如几千上万步,那么该消失的还会消失。毕竟单靠一个向量,也缓存不了那么多信息啊~


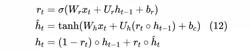
顺便看看GRU

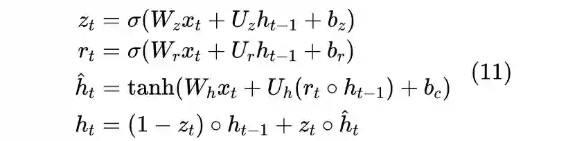
在文章结束之前,我们顺便对 LSTM 的强力竞争对手 GRU 也做一个分析。GRU 的运算过程为:

还有个更极端的版本是将 合成一个:

不管是哪一个,我们发现它在算 的时候, 都是先乘个 变成 ,不知道读者是否困惑过这一点?直接用 不是更简洁更符合直觉吗?
首先我们观察到,而 一般全零初始化, 则因为 激活,因此结果必然在 -1~1 之间,所以作为 的加权平均的 也一直保持在 -1~1 之间,因此 本身就有类似门的作用。这跟LSTM的 不一样,理论上 是有可能发散的。了解到这一点后,我们再去求导:

其实结果跟 LSTM 的类似,主导项应该是 ,但剩下的项比 LSTM 对应的项少了 1 个门,因此它们的量级可能更大,相对于 LSTM 的梯度其实更不稳定,特别是 这步操作,虽然给最后一项引入了多一个门 ,但也同时引入了多一项 ,是好是歹很难说。总体相对而言,感觉 GRU 应该会更不稳定,比 LSTM 更依赖于好的初始化方式。
针对上述分析结果,个人认为如果沿用 GRU 的思想,又需要简化 LSTM 并且保持 LSTM 对梯度的友好性,更好的做法是把 放到最后:

当然,这样需要多缓存一个变量,带来额外的显存消耗了。


文章总结概述
本文讨论了 RNN 的梯度消失/爆炸问题,主要是从梯度函数的有界性、门控数目的多少来较为明确地讨论 RNN、LSTM、GRU 等模型的梯度流情况,以确定其中梯度消失/爆炸风险的大小。本文属于闭门造车之作,如有错漏,请读者海涵并斧正。


更多阅读




#投 稿 通 道#

 让你的论文被更多人看到 



如何才能让更多的优质内容以更短路径到达读者群体,缩短读者寻找优质内容的成本呢?答案就是:你不认识的人。


总有一些你不认识的人,知道你想知道的东西。PaperWeekly 或许可以成为一座桥梁,促使不同背景、不同方向的学者和学术灵感相互碰撞,迸发出更多的可能性。 


PaperWeekly 鼓励高校实验室或个人,在我们的平台上分享各类优质内容,可以是最新论文解读,也可以是学习心得技术干货。我们的目的只有一个,让知识真正流动起来。


📝 来稿标准:

• 稿件确系个人原创作品,来稿需注明作者个人信息(姓名+学校/工作单位+学历/职位+研究方向) 

• 如果文章并非首发,请在投稿时提醒并附上所有已发布链接 

• PaperWeekly 默认每篇文章都是首发,均会添加“原创”标志


📬 投稿邮箱:

• 投稿邮箱:[email protected] 

• 所有文章配图,请单独在附件中发送 

• 请留下即时联系方式(微信或手机),以便我们在编辑发布时和作者沟通



🔍


现在,在「知乎」也能找到我们了

进入知乎首页搜索「PaperWeekly」

点击「关注」订阅我们的专栏吧



关于PaperWeekly


PaperWeekly 是一个推荐、解读、讨论、报道人工智能前沿论文成果的学术平台。如果你研究或从事 AI 领域,欢迎在公众号后台点击「交流群」,小助手将把你带入 PaperWeekly 的交流群里。



登录查看更多
1

相关内容

在机器学习中,使用基于梯度的学习方法和反向传播训练人工神经网络时,会遇到梯度消失的问题。在这种方法中,每个神经网络的权值在每次迭代训练时都得到一个与误差函数对当前权值的偏导数成比例的更新。问题是,在某些情况下,梯度会极小,有效地阻止权值的改变。在最坏的情况下,这可能会完全阻止神经网络进一步的训练。作为问题原因的一个例子,传统的激活函数,如双曲正切函数的梯度在范围(0,1),而反向传播通过链式法则计算梯度。这样做的效果是将n个这些小数字相乘来计算n层网络中“前端”层的梯度,这意味着梯度(误差信号)随着n的增加呈指数递减,而前端层的训练非常缓慢。
专知会员服务
84+阅读 · 2020年12月18日
【ICML2020-华为港科大】RNN和LSTM有长期记忆吗?
专知会员服务
78+阅读 · 2020年6月25日
多智能体深度强化学习的若干关键科学问题
专知会员服务
196+阅读 · 2020年5月24日
一份循环神经网络RNNs简明教程,37页ppt
专知会员服务
173+阅读 · 2020年5月6日
神经网络的拓扑结构,TOPOLOGY OF DEEP NEURAL NETWORKS
专知会员服务
35+阅读 · 2020年4月15日
【伯克利】再思考 Transformer中的Batch Normalization
专知会员服务
41+阅读 · 2020年3月21日
【中科大徐童】多模态语义理解与关联
专知会员服务
83+阅读 · 2019年12月7日
三次简化一张图:一招理解LSTM/GRU门控机制
机器之心
16+阅读 · 2018年12月18日
前沿 | CNN取代RNN?当序列建模不再需要循环网络
递归神经网络
Datartisan数据工匠
4+阅读 · 2018年8月2日
一文读懂LSTM和循环神经网络
七月在线实验室
8+阅读 · 2018年4月18日
Do RNN and LSTM have Long Memory?
Arxiv
19+阅读 · 2020年6月10日
Bivariate Beta LSTM
Arxiv
6+阅读 · 2019年10月7日
Arxiv
20+阅读 · 2018年10月25日
Arxiv
3+阅读 · 2018年5月11日
Arxiv
3+阅读 · 2017年7月6日
Arxiv
4+阅读 · 2015年8月25日
VIP会员
最新内容
超越网格:作战环境对炮兵的影响
专知会员服务
1+阅读 · 今天15:35
KDD 2026 | MixRAGRec:面向LLM推荐的混合专家KG-RAG框架
BES:让语言模型通过双向进化搜索自我改进
专知会员服务
4+阅读 · 5月30日
以色列-美国-伊朗战争中的无人机:关键要点
专知会员服务
4+阅读 · 5月30日
《Palantir任务保障性软件安全标准(MA-S2)》
专知会员服务
14+阅读 · 5月30日
基于声学的无人机检测技术综述
专知会员服务
8+阅读 · 5月30日
《当代混合战争分析框架:俄乌战争经验教训》
相关VIP内容
专知会员服务
84+阅读 · 2020年12月18日
【ICML2020-华为港科大】RNN和LSTM有长期记忆吗?
专知会员服务
78+阅读 · 2020年6月25日
多智能体深度强化学习的若干关键科学问题
专知会员服务
196+阅读 · 2020年5月24日
一份循环神经网络RNNs简明教程,37页ppt
专知会员服务
173+阅读 · 2020年5月6日
神经网络的拓扑结构,TOPOLOGY OF DEEP NEURAL NETWORKS
专知会员服务
35+阅读 · 2020年4月15日
【伯克利】再思考 Transformer中的Batch Normalization
专知会员服务
41+阅读 · 2020年3月21日
【中科大徐童】多模态语义理解与关联
专知会员服务
83+阅读 · 2019年12月7日
相关论文
Do RNN and LSTM have Long Memory?
Arxiv
19+阅读 · 2020年6月10日
Bivariate Beta LSTM
Arxiv
6+阅读 · 2019年10月7日
Arxiv
20+阅读 · 2018年10月25日
Arxiv
3+阅读 · 2018年5月11日
Arxiv
3+阅读 · 2017年7月6日
Arxiv
4+阅读 · 2015年8月25日
Top
微信扫码咨询专知VIP会员