数学史上你认为最丑陋的公式是什么?

2018 年 8 月 24 日 算法与数学之美

是丑还是美?


Q:数学上有哪些丑陋的公式?

关于丑没有严格的界定。


A:


@Yu Deng:

表示第n个素数。则



然而并没有什么卵用


@子元:

不是很懂你们物理


@张艺瀚提醒有扩写版



@HopLee


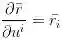
是时候来个微分几何里的公式了!!!


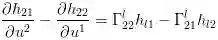
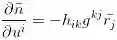
设曲面中的光滑曲面(符号上面不方便写箭头,我用横杠表示向量了),则有曲面在自然标架下的运功方程:



其中为法向量、分别为曲面第一、第二基本形式系数矩阵,

是第二类Christoffel符号。


引入黎曼曲率张量


(Gauss方程)

(Codazzi方程)


觉得这几个公式很奇怪并且不长不恶心是吧,我是不会告诉你它里面用了爱因斯坦求和约定(两个相同指标就表示求和),有兴趣可以吧每个式子展开写一写(手动微笑)!


初学者一枚,搞微分几何的勿喷


@bigeast:

Jones, Sato, Wada,Wiens 在1976年提出了一个包含26个变量的多项式 ,它的所有正整数值构成了所有的素数,也即



重新输入了公式,然后注意到中括号里面是1减去14个完全平方项,也就是当14个完全平方项都为零的时候,多项式的值才会大于零,从而为素数。


根据维基百科,这个公式其实可以看作是用14个丢番图方程来限制变量k,方程组的解使得k+2为素数。


尝试写个程序验证一下这个公式

https://gist.github.com/bigeast/cc89c8efd9b791440f9d,结果发现几乎所有的值都是负数。因此通过它来寻找或者验证素数都是不实际的。


普通人认为的丑,应该是不需要数学的专业知识也能很快理解公式中的符号,只是不能快速从中找出规律然后记住。如果包含了太多的专业符号,甚至连“丑”也无从谈起了。


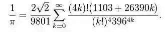
Srinivasa Ramanujan(拉马努金) 发现的许多公式就基本上只包含整数之间的初等运算,但又让人很难快速记住,例如:



这种包含着“随机”数字的公式在我看来一点也不妙,但从这些数字竟然能得到。


简直让人想不到!


Ramanujan还有好多类似的包含“随机数字”的与无穷级数、连分数有关的公式,有兴趣不妨去开开眼界。


但哈代发现了这些看似丑陋的公式背后隐藏的数学真理,为这些公式寻找别的数学家能够看得懂的证明(所以天知道Ramanujan是怎么想出这些公式的),于是造就了数学史上的一段佳话。


所以普通人认为“丑”的公式,在数学家看来却别有一番风情呢。

编辑 | Gemini

来源 | 数学中国

算法数学之美微信公众号欢迎赐稿

稿件涉及数学、物理、算法、计算机、编程等相关领域,经采用我们将奉上稿酬。

投稿邮箱:[email protected]

登录查看更多
0

相关内容

数学是关于数量、结构、变化等主题的探索。
一份简明有趣的Python学习教程,42页pdf
专知会员服务
78+阅读 · 2020年6月22日
最新《自动微分手册》77页pdf
专知会员服务
104+阅读 · 2020年6月6日
【纽约大学】最新《离散数学》笔记,451页pdf
专知会员服务
131+阅读 · 2020年5月26日
【干货书】数值计算C编程,319页pdf,Numerical C
专知会员服务
72+阅读 · 2020年4月7日
机器学习速查手册,135页pdf
专知会员服务
345+阅读 · 2020年3月15日
面试时让你手推公式不在害怕 | 梯度下降
计算机视觉life
14+阅读 · 2019年3月27日
清华美女学霸数学笔记曝光, 精美程度无与伦比
算法与数学之美
7+阅读 · 2019年3月22日
机器学习入门 | 刷新你三观的高数和线代教程
大数据技术
21+阅读 · 2019年3月22日
博客 | MIT—线性代数(下)
AI研习社
6+阅读 · 2018年12月20日
合集 | 更好的解释(数学篇) 1~12
遇见数学
31+阅读 · 2018年10月11日
第二章 机器学习中的数学基础
Datartisan数据工匠
12+阅读 · 2018年4月5日
入门 | 这是一份文科生都能看懂的线性代数简介
机器之心
14+阅读 · 2018年3月31日
【机器学习数学基础】动图解释泰勒级数(一)
机器学习研究会
6+阅读 · 2018年2月25日
【基础数学】- 01
遇见数学
20+阅读 · 2017年7月25日
Question Generation by Transformers
Arxiv
5+阅读 · 2019年9月14日
Rapid Customization for Event Extraction
Arxiv
7+阅读 · 2018年9月20日
Arxiv
11+阅读 · 2018年3月23日
Arxiv
29+阅读 · 2017年12月6日
VIP会员
最新内容
人工智能在战场行动中的演进及伊朗案例
专知会员服务
4+阅读 · 4月18日
美AI公司Anthropic推出网络安全模型“Mythos”
专知会员服务
2+阅读 · 4月18日
【博士论文】面向城市环境的可解释计算机视觉
大语言模型的自改进机制:技术综述与未来展望
《第四代军事特种作战部队选拔与评估》
专知会员服务
1+阅读 · 4月18日
相关VIP内容
一份简明有趣的Python学习教程,42页pdf
专知会员服务
78+阅读 · 2020年6月22日
最新《自动微分手册》77页pdf
专知会员服务
104+阅读 · 2020年6月6日
【纽约大学】最新《离散数学》笔记,451页pdf
专知会员服务
131+阅读 · 2020年5月26日
【干货书】数值计算C编程,319页pdf,Numerical C
专知会员服务
72+阅读 · 2020年4月7日
机器学习速查手册,135页pdf
专知会员服务
345+阅读 · 2020年3月15日
相关资讯
面试时让你手推公式不在害怕 | 梯度下降
计算机视觉life
14+阅读 · 2019年3月27日
清华美女学霸数学笔记曝光, 精美程度无与伦比
算法与数学之美
7+阅读 · 2019年3月22日
机器学习入门 | 刷新你三观的高数和线代教程
大数据技术
21+阅读 · 2019年3月22日
博客 | MIT—线性代数(下)
AI研习社
6+阅读 · 2018年12月20日
合集 | 更好的解释(数学篇) 1~12
遇见数学
31+阅读 · 2018年10月11日
第二章 机器学习中的数学基础
Datartisan数据工匠
12+阅读 · 2018年4月5日
入门 | 这是一份文科生都能看懂的线性代数简介
机器之心
14+阅读 · 2018年3月31日
【机器学习数学基础】动图解释泰勒级数(一)
机器学习研究会
6+阅读 · 2018年2月25日
【基础数学】- 01
遇见数学
20+阅读 · 2017年7月25日
Top
微信扫码咨询专知VIP会员