波士顿大学Francesco《在线学习导论》2020书册,126页pdf详述在线学习最新进展

2020 年 5 月 13 日 专知

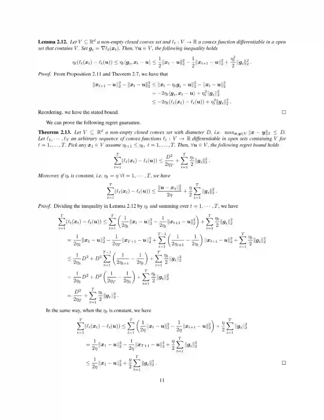
这本专著,我通过在线凸优化的现代视角介绍了在线学习的基本概念。这里,在线学习指的是在最坏情况假设下的后悔最小化框架。我提出了凸损失在线学习的一阶和二阶算法,在欧几里德和非欧几里德设置。所有的算法都清晰地呈现为在线镜像下降或跟随正则化及其变体的实例化。特别关注的是通过自适应和无参数在线学习算法来调整算法的参数和在无界域内学习的问题。非凸损失通过凸替代损失和随机化处理。本文还简要讨论了强盗设置问题,讨论了具有对抗性和随机性的多武装强盗问题。这些笔记不需要凸分析的先验知识,所有必需的数学工具都得到了严格的解释。此外,所有的证明都经过精心挑选,尽可能地简单和简短。

地址:

https://www.zhuanzhi.ai/paper/0a9029fe1e750c6079984425725fad90

专知便捷查看

便捷下载,请关注专知公众号(点击上方蓝色专知关注)

  • 后台回复“OL126” 可以获取波士顿大学Francesco《在线学习导论》2020书册,126页pdf详述在线学习最新进展》专知下载链接索引

专知,专业可信的人工智能知识分发,让认知协作更快更好!欢迎注册登录专知www.zhuanzhi.ai,获取5000+AI主题干货知识资料!
欢迎微信扫一扫加入专知人工智能知识星球群,获取最新AI专业干货知识教程资料和与专家交流咨询
点击“ 阅读原文 ”,了解使用 专知 ,查看获取5000+AI主题知识资源
登录查看更多
0

相关内容

【硬核课】统计学习理论,321页ppt
专知会员服务
140+阅读 · 2020年6月30日
模型优化基础,Sayak Paul,67页ppt
专知会员服务
77+阅读 · 2020年6月8日
【新书册】贝叶斯神经网络,41页pdf
专知会员服务
180+阅读 · 2020年6月3日
经典书《斯坦福大学-多智能体系统》532页pdf
Risk-Aware Active Inverse Reinforcement Learning
Arxiv
8+阅读 · 2019年1月8日
Learning to Importance Sample in Primary Sample Space
Arxiv
6+阅读 · 2018年6月21日
Arxiv
3+阅读 · 2018年1月10日
VIP会员
最新内容
美国当前高超音速导弹发展概述
专知会员服务
1+阅读 · 今天15:03
《高超音速武器:一项再度兴起的技术》120页slides
无人机蜂群建模与仿真方法
专知会员服务
1+阅读 · 今天14:08
澳大利亚发布《国防战略(2026年)》
专知会员服务
0+阅读 · 今天13:42
【CMU博士论文】迈向基于基础先验的 4D 感知研究
专知会员服务
0+阅读 · 今天13:46
全球高超音速武器最新发展趋势
专知会员服务
1+阅读 · 今天13:17
Top
微信扫码咨询专知VIP会员