【作者解读】ERNIE-GEN : 原来你是这样的生成预训练框架!

2020 年 6 月 10 日 AINLP



作者 | PROoshio
整理 | NewBeeNLP

写在前面

今年1月,百度发布了全新的生成式预训练模型ERNIE-GEN,我们在之前的一些文章中有过介绍:『芝麻街跨界NLP,没有一个ERNIE是无辜的』、『NLP简报(Issue#4)』,但都不是很深入,今天一起看看来自paper作者对ERNIE-GEN的解读。

『ERNIE-GEN』主要针对:

  • 生成训练中的“曝光偏置(exposure bias)”问题;
  • 如何用人类写作习惯去训练自然语言生成;
  • 如何在预训练中增强encoder和decoder的交互。这三个问题,提出了一种 Multi-Flow结构的预训练和微调框架。

论文中,ERNIE-GEN利用更少的参数量和数据,在摘要生成、问题生成、对话和生成式问答4个任务共5个数据集上取得了SOTA效果。

  • 论文链接:https://arxiv.org/pdf/2001.11314.pdf
  • 开源地址:https://github.com/PaddlePaddle

Motivation

之前的生成式预训练模型如MASS、UniLM、BART等,将 Mask LM学习任务和seq2seq框架结合,在一系列生成任务上取得了显著的提升,并刷新SOTA。但这些预训练模型却很少关注自然语言生成中的一些具体的问题,对此ERNIE-GEN从以下3个问题展开了实验:

  • 「曝光偏置(exposure bias)」 问题:teacher forcing的生成训练,在训练中用Ground Truth作为decoder端的输入,而解码时用之前生成的序列作为decoder端的输入,导致训练和解码的产生偏差;
  • 「逐字符学习」问题:传统的seq2seq训练,采用逐字符(word-by-word)的学习方式,存在1)预测时过度依赖上一个词;2)与人类写作习惯 (实体、短语甚至句子同时构思,并非单个字符) 不一致的问题;
  • 「Encoder和Decoder相关性减弱」问题:在自监督的seq2seq预训练中,当输入序列很长时(假如encoder和decoder各50%),那么decoder和encoder的语义相关性减弱,模型学习将逐渐退化为Language Modeling。

针对以上3个问题,ERNIE-GEN提出一套基于Multi-Flow attention结构的预训练和微调框架:

Methods

“曝光偏置(exposure bias)”问题

在基于Transformer的seq2seq框架中,decoder端第 个字符 的预测公式如下:

其中 , 分别表示预测字符向量和Ground Truth字符向量, 为encoder端的表示;对 的预测起着直接影响的是用来汇聚上文表示的 ,这也是训练和解码阶段产生差异最直接的地方。同时, 在训练和解码中也存在差异,但对 的影响相对较弱。

为了在预训练阶段减小下游任务的“曝光偏置(exposure bias)”问题,ERNIE-GEN提出了两种适用于大规模无监督预料的生成训练方法:1)填充生成机制(Infilling Generation);2)噪声感知生成方法(Noise-aware Generation)。

  • 「Infilling Generation Mechanism 填充生成机制」

针对训练和解码中 存在的差异,Infilling Generation通过在decoder端每个字符后填充符号[ATTN]作为 来汇聚上文表示,统一了训练和解码中 的差异:

Infilling Generation的好处有两点:

  1. 减弱了预测 时对 上一个字符 (训练时)或者 (解码时)的依赖,将预测的注意力转移到更全局的上文表示,从而在解码阶段,有利于缓解 预测错误对 的影响,增强生成的鲁棒性。同时在训练阶段,有利于缓解局部过度依赖;
  2. 统一了训练和解码中 的差异,有利于减弱"曝光偏置"。
  • 「Noise-aware Generation Method 噪声感知生成」

针对训练和测试中 的差异,ERNIE-GEN在训练中对decoder的输入序列添加随机噪声,来训练模型感知错误,并通过调整attention权重来减弱错误对后续生成的影响;

但最好的方式是用模型先生成一遍目标序列,再根据生成的分布进行采样,这种方式是最本质解决”曝光偏置“的方法,如ACL2019最佳论文,将模型生成序列和Ground Truth序列融合输入decoder进行学习。考虑到预训练基于大规模的无监督预料,ERNIE-GEN只采用简单的随替换,来缓解“曝光偏置”。

逐字符学习的问题

传统的自回归seq2seq训练采用逐字符(word-by-word)的学习范式,而人类写作,往往是实体、短语甚至句子同时构思好的,并非逐字思考;而且逐字符学习很容易局部过拟合,过度依赖上一个字符的表示。

针对逐字符学习的不足,ERNIE-GEN提出了逐片段(span-by-span)的学习范式,即训练时,每步不只预测一个字符,而是预测一个语义完成的片段:

图中 为一个语义完整的span。逐字符学习(word-by-word)的目标序列的概率为:

逐片段学习(span-by-span)的目标序列的概率为:

内, 是同时预测的,它们都依赖相同的上文 。使模型在 位置具有生成下一个语义片段span的能力,让模型更具「远见」,并提高生成质量。

为了连续地采样语义完整片段(semantically-complete span),ERNIE-GEN通过「T-检验」来统计训练数据中的 片段:

  • 「step1:」 基于初始假设 : “一个随机的 不是一个具备统计意义的片段“,可以计算得到训练数据中所有 t-统计值,公式如下:

其中 的统计概率, 的方差(伯努利分布); 的总数;

  • 「step2:」 筛选出t-统计值. top 20w的bi-gram和top 5w tri-gram以及全部uni-gram来构造span词典 ;*注:_t-统计值_越高表示越否定假设 越可能是统计意义下完整的片段。
  • 「step3:」 根据词典 在ground truth序列中采样span,按照tri-gram bi-gram uni-gram的顺序在 中查询,直到一个gram被查到。

Encoder和Decoder相关性减弱的问题

在构造预训练数据时,UniLM和MASS都采样一段连续的子序列作为生成目标,当输入序列很长时,由于目标序列较长,decoder端对encoder的依赖减弱,模型训练有退化为language model的风险,不利于encoder和decoder的联合预训练。对此ERNIE-GEN采用「多片段-多粒度采样」的策略来构造预训练数据:

给定输入序列 ,ERNIE-GEN先采样一个长度分布 ,根据 中采样子序列,直到所有子序列 的总长度到 的 25%。拼接后的的序列 为预训练学习的目标序列,采样后的 记作 。如此一来,采样的子序列和 的语义相关性很强,encoder和decoder的相关性也进一步得到增强,有利于encoder和decoder的联合预训练。

Model Architecture

「Multi-Flow Attention」 多流attention结构

基于Infilling generation机制,ERNIE-GEN在预训练中将word-by-word和span-by-span的训练任务进行联合学习。在具体实现中,ERNIE-GEN将infilling generation中插入的[ATTN]符号抽出,拼接成了一个[ATTN]符号序列 用于预测。模型通过输入两个等长的符号序列 来预测word-by-word任务和span-by-span任务的生成结果。

图中蓝色区域为「Contexture Flow」,用于提供上文表示,其 层到   层更新如下:

其中,encoder序列为 ,加噪后的decoder输入序列为

图中绿色区域为基于Infilling generation机制的「Word-by-word generation flow」,用于学习逐字符地生成,其   层到   层更新如下

其中 表示 l-th层,符号序列 的 第 个隐层向量。

图中橘色区域为基于Infilling generation机制的「Span-by-span generation flow」,用于学习逐片段地生成。在给定采样span的边界序列 时,其   层到   层更新如下:

其中 表示 l-th层,符号序列 的 第 个隐层向量,也即第 个span的第 个隐层向量, 。片段 是在给定上文时,同时预测的。

在实现中,「Contexture Flow」「Word-by-word Flow」「Span-by-span Flow」的输入分别是 ,并通过不同的_attention mask_矩阵 来实现具体的逻辑:

「Contextual Flow」 是双向可见的, 是单向可见的 (seq2seq);而「Word-by-word Flow」中的符号序列 不能看见相同位置的目标字符;「Span-by-span Flow」中,符号序列 不能看见同一个span中的所有目标字符,如图中的

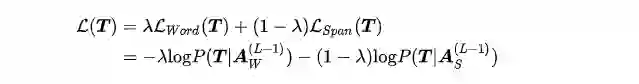
「Word-by-word Flow」「Span-by-span Flow」的loss加权更新,Pre-train阶段,ERNIE-GEN同时训练两个任务 ;Finetune阶段 ,ERNIE-GEN只学习word-by-word的生成任务:

「Infilling Decoding」填充解码

训练时,ERNIE-GEN通过[ATTN]符号序列 来生成序列,而在解码时,则需要一步一步地插入[ATTN]符号来汇聚上文表示,预测当前位置的字符。为了保证解码的效率,ERNIE-GEN在[ATTN]预测完毕后,会将[ATTN]的表示从序列中去除。具体的解码步骤如下图所示:

Experiments

Pre-training

ERNIE-GEN使用和BERT、UnilM相同的训练数据(16G),base和large模型分别用BERT-base和BERT-large热启,训练40W步左右。预训练阶段,在decoder输入序列中加入比例为 的噪声。ERNIE-GEN在最近补充了用160G预训练数据(同Roberta)下的模型性能,多个生成数据集上取得了SOTA。

Fine-tuning

ERNIE-GEN在摘要生成、问题生成、对话和生成式问答4中任务上进行了实验,都验证了策略的有效性。

  • Finetune参数配置

Ablation Studies

  • Infilling Generation 和 传统生成机制

ERNIE-GEN在3个小数据集上(Gigaword-10k, CNN/DM-10k和SQuAD)上对比了Infilling generation和传统生成机制。对比结果分别用Infilling generation机制和传统生成机制pre-train和finetune,实验结果如下:

当finetune不加噪声时,Infilling generation机制在CNN/DM-10k和SQuAD上较传统机制更好,但在Gigaword-10k上持平;当finetune加入噪声时,两种生成机制的效果都有明显的提升,且infilling机制在摘要生成任务上的涨幅为明显。

左图指出,infilling generation机制在不同的噪声 比例下,都较传统生成机制性能更好;为了进一步说明噪声对生成训练起的作用,论文中分析了不同噪声比例下,比较了encoder字符、未加噪的decoder字符和加噪的decoder字符在最后一层的平均attention权重。有意思的是,随着噪声比例增加,模型将更多的注意力分配到decoder端,用于检测decoder端的错误,并且给错误的字符分配更小的权重,给正确的字符分配更高的权重,从而增加了生成的鲁棒性。

  • Span-by-span 训练任务 和 Noise-aware 生成方法

表中上方的对比实验指出,span-by-span训练任务和Noise-aware生成方法都起到了显著的性能提升作用。

UniLM利用Mask LM的方式进行finetune,实质上是在输入序列中加入[MASK]噪声,随后预测噪声位置的真实字符。这种噪声finetune方式存在Mask(噪声)和预测耦合的问题,学习性能不高 (UniLM在finetune中的mask比例为 )。因此,为了验证ERNIE-GEN的Noise-aware生成方法相较于Mask LM方式更有效,论文也列出了ERNIE-GEN使用Mask LM(0.7)方式进行finetune训练的实验结果结果,并验证了Noise-aware生成方法的有效性。

总结

ERNIE-GEN针对生成任务的具体问题,如“曝光偏置”、局部强依赖性等,提出了一套在预训练中可行的解决方案,增强了自然语言生成学习的鲁棒性。通过设计一套pre-train和fine-tune的统一的学习框架,ERNIE-GEN缩小了pre-train和fine-tune间的差异;同时,通过infilling generation机制和noise-aware generation方法,也缩小了training和decoding之间的差异。最终,ERNIE-GEN在多项生成任务上取得了最好的效果,验证了所提出策略的有效性。

- END -


推荐阅读

文本自动摘要任务的“不完全”心得总结番外篇——submodular函数优化

Node2Vec 论文+代码笔记

模型压缩实践收尾篇——模型蒸馏以及其他一些技巧实践小结

中文命名实体识别工具(NER)哪家强?

学自然语言处理,其实更应该学好英语

斯坦福大学NLP组Python深度学习自然语言处理工具Stanza试用

太赞了!Springer面向公众开放电子书籍,附65本数学、编程、机器学习、深度学习、数据挖掘、数据科学等书籍链接及打包下载

数学之美中盛赞的 Michael Collins 教授,他的NLP课程要不要收藏?

自动作诗机&藏头诗生成器:五言、七言、绝句、律诗全了

模型压缩实践系列之——bert-of-theseus,一个非常亲民的bert压缩方法

这门斯坦福大学自然语言处理经典入门课,我放到B站了

关于AINLP

AINLP 是一个有趣有AI的自然语言处理社区,专注于 AI、NLP、机器学习、深度学习、推荐算法等相关技术的分享,主题包括文本摘要、智能问答、聊天机器人、机器翻译、自动生成、知识图谱、预训练模型、推荐系统、计算广告、招聘信息、求职经验分享等,欢迎关注!加技术交流群请添加AINLPer(id:ainlper),备注工作/研究方向+加群目的。


阅读至此了,点个在看吧👇

登录查看更多
0

相关内容

【ICML2020】统一预训练伪掩码语言模型
专知会员服务
27+阅读 · 2020年7月23日
【Amazon】使用预先训练的Transformer模型进行数据增强
专知会员服务
58+阅读 · 2020年3月6日
BERT进展2019四篇必读论文
专知会员服务
70+阅读 · 2020年1月2日
六篇 EMNLP 2019【图神经网络(GNN)+NLP】相关论文
专知会员服务
72+阅读 · 2019年11月3日
论文浅尝 | 利用问题生成提升知识图谱问答
开放知识图谱
20+阅读 · 2019年11月5日
一文读懂最强中文NLP预训练模型ERNIE
AINLP
25+阅读 · 2019年10月22日
最新论文解读 | 基于预训练自然语言生成的文本摘要方法
微软研究院AI头条
57+阅读 · 2019年3月19日
通过预训练提升语言理解
开放知识图谱
4+阅读 · 2018年11月21日
详细解读谷歌新模型 BERT 为什么嗨翻 AI 圈
人工智能头条
10+阅读 · 2018年10月25日
How to Fine-Tune BERT for Text Classification?
Arxiv
13+阅读 · 2019年5月14日
Arxiv
8+阅读 · 2019年3月21日
VIP会员
相关VIP内容
【ICML2020】统一预训练伪掩码语言模型
专知会员服务
27+阅读 · 2020年7月23日
【Amazon】使用预先训练的Transformer模型进行数据增强
专知会员服务
58+阅读 · 2020年3月6日
BERT进展2019四篇必读论文
专知会员服务
70+阅读 · 2020年1月2日
六篇 EMNLP 2019【图神经网络(GNN)+NLP】相关论文
专知会员服务
72+阅读 · 2019年11月3日
相关资讯
论文浅尝 | 利用问题生成提升知识图谱问答
开放知识图谱
20+阅读 · 2019年11月5日
一文读懂最强中文NLP预训练模型ERNIE
AINLP
25+阅读 · 2019年10月22日
最新论文解读 | 基于预训练自然语言生成的文本摘要方法
微软研究院AI头条
57+阅读 · 2019年3月19日
通过预训练提升语言理解
开放知识图谱
4+阅读 · 2018年11月21日
详细解读谷歌新模型 BERT 为什么嗨翻 AI 圈
人工智能头条
10+阅读 · 2018年10月25日
相关论文
Top
微信扫码咨询专知VIP会员