磁性拓扑半金属材料研究取得进展

2018 年 9 月 10 日 中科院之声

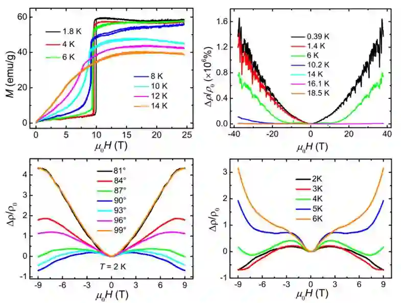
近期,中国科学院合肥物质科学研究院强磁场科学中心研究员张昌锦、皮雳课题组合作,在磁性拓扑半金属材料研究方面取得新进展。研究人员通过强磁场下的磁性、输运测量以及第一性原理计算,对NdSb、DySb等镧系金属锑化物磁性体系进行了深入研究,发现了磁性拓扑半金属态。


拓扑半金属是一类新型的拓扑材料,具有类似于基本粒子的低能激发态,在科学认知与实际应用方面具有重大意义。其中,狄拉克半金属的狄拉克点兼具晶体对称性与时间反演对称性,被称为“三维石墨烯”。如果晶体对称性或时间反演对称性破缺,狄拉克点变为一对外尔点,形成外尔半金属。晶体对称性破缺的外尔半金属已经在TaAs、WTe2等体系中发现,而时间反演对称性破缺的外尔半金属则长期未被发现。主要原因在于角分辨光电子能谱在研究磁性材料时有很大局限,不能提供磁有序态下的明确电子结构。理论上预测可能存在磁性拓扑半金属态的体系包括镧系金属锑化物、铋化物,以及GdPtBi、Mn3Sn等。


在该工作中,研究人员利用强磁场下的磁性与输运测量,研究了NdSb、DySb等材料的磁结构转变,分析了不同磁结构下电子输运的基本信息与载流子特性,结合第一性原理能带计算结果,发现NdSb的反铁磁态是狄拉克半金属态,DySb的铁磁态是外尔半金属态。尤其是,在NdSb上观测到的手性反常导致的负磁阻现象,为拓扑半金属态的存在提供了坚实证据。而NdSb、DySb也以其可调控的磁结构为研究磁性与拓扑的关联提供了理想的载体。


该系列工作的输运测量是在稳态强磁场实验装置的一号水冷磁体WM1与混合磁体上进行的,磁性测量是在二号水冷磁体WM2的磁性测量系统(VSM)上进行的。


该工作得到国家重点研发计划、国家自然科学基金等的支持,主要完成人为研究生王永建、梁丹丹,相关研究发表在Physical Review BAPL Materials上。


NdSb的高场磁化率、磁阻测量(上图)与负磁阻测量(下图)(上左图WM2提供最高场25T,上右图WM1提供最高场38T)


DySb的高场磁阻测量与能带计算结果(上左混合磁体提供最高场38.7T)


来源:中国科学院合肥物质科学研究院


登录查看更多
0

相关内容

对称性破缺是一个跨物理学、生物学、社会学与系统论等学科的概念,狭义简单理解为对称元素的丧失;也可理解为原来具有较高对称性的系统,出现不对称因素,其对称程度自发降低的现象。对称破缺是事物差异性的方式,任何的对称都一定存在对称破缺。对称性是普遍存在于各个尺度下的系统中,有对称性的存在,就必然存在对称性的破缺。对称性破缺也是量子场论的重要概念,指理论的对称性为真空所破坏,对探索宇宙的本原有重要意义。它包含“自发对称性破缺”和“动力学对称性破缺”两种情形。
深度学习可解释性研究进展
专知会员服务
103+阅读 · 2020年6月26日
大数据安全技术研究进展
专知会员服务
96+阅读 · 2020年5月2日
基于深度学习的多标签生成研究进展
专知会员服务
147+阅读 · 2020年4月25日
【自动化学报】零样本学习研究进展,中国石油大学
专知会员服务
88+阅读 · 2020年1月27日
基于深度学习的行人重识别研究进展,自动化学报
专知会员服务
39+阅读 · 2019年12月5日
【课程推荐】 深度学习中的几何(Geometry of Deep Learning)
专知会员服务
59+阅读 · 2019年11月10日
同质结中的“超注入”现象:半导体光源迎来新机遇!
【CPS】信息物理融合系统理论与应用专刊序言
产业智能官
7+阅读 · 2019年2月27日
无参考图像质量评价研究进展综述
人工智能前沿讲习班
47+阅读 · 2019年2月15日
机器视觉技术的农业应用研究进展
科技导报
7+阅读 · 2018年7月24日
红外弱小目标处理研究获进展
中科院之声
18+阅读 · 2017年11月19日
心理学与脑科学:进展、思考和展望
科技导报
9+阅读 · 2017年10月27日
基于深度学习的肿瘤图像分割研究取得进展
中科院之声
17+阅读 · 2017年9月17日
已删除
Arxiv
33+阅读 · 2020年3月23日
Universal Transformers
Arxiv
5+阅读 · 2019年3月5日
Arxiv
6+阅读 · 2018年3月29日
VIP会员
最新内容
人工智能在战场行动中的演进及伊朗案例
专知会员服务
6+阅读 · 4月18日
美AI公司Anthropic推出网络安全模型“Mythos”
专知会员服务
4+阅读 · 4月18日
【博士论文】面向城市环境的可解释计算机视觉
大语言模型的自改进机制:技术综述与未来展望
《第四代军事特种作战部队选拔与评估》
专知会员服务
2+阅读 · 4月18日
相关VIP内容
深度学习可解释性研究进展
专知会员服务
103+阅读 · 2020年6月26日
大数据安全技术研究进展
专知会员服务
96+阅读 · 2020年5月2日
基于深度学习的多标签生成研究进展
专知会员服务
147+阅读 · 2020年4月25日
【自动化学报】零样本学习研究进展,中国石油大学
专知会员服务
88+阅读 · 2020年1月27日
基于深度学习的行人重识别研究进展,自动化学报
专知会员服务
39+阅读 · 2019年12月5日
【课程推荐】 深度学习中的几何(Geometry of Deep Learning)
专知会员服务
59+阅读 · 2019年11月10日
相关资讯
同质结中的“超注入”现象:半导体光源迎来新机遇!
【CPS】信息物理融合系统理论与应用专刊序言
产业智能官
7+阅读 · 2019年2月27日
无参考图像质量评价研究进展综述
人工智能前沿讲习班
47+阅读 · 2019年2月15日
机器视觉技术的农业应用研究进展
科技导报
7+阅读 · 2018年7月24日
红外弱小目标处理研究获进展
中科院之声
18+阅读 · 2017年11月19日
心理学与脑科学:进展、思考和展望
科技导报
9+阅读 · 2017年10月27日
基于深度学习的肿瘤图像分割研究取得进展
中科院之声
17+阅读 · 2017年9月17日
Top
微信扫码咨询专知VIP会员