基于区域的目标检测——细粒度

2018 年 2 月 1 日 计算机视觉战队 WG.Edison

今天是二月的第一天,是一个月的新的开始,估计现在有很多学生都已经进入了漫长的寒假,希望你们在寒假空闲之余可以慢慢来阅读我们的精彩推送。今天我们将的就是目标检测,说到目标检测,很多人都会想到许多经典的框架,说明你们都很厉害,对该领域都有深入的了解,今天主要聊聊细粒度的事!

首先我们来看两幅简单的图片组:

图1 黑脚信天翁

图2 黑背信天翁

通过这两组图像,粗略观察会发现差别不是很大,所以我们仔细的去看,就能发现一些细节性的差别。由此,引出了细粒度类别检测。平时,我们在做目标检测的过程中,也可以通过引入该思想,让我们对目标只提取高判别性的特征,提高目标特征的表达,提升检测结果的精度。

对了,今天主要说的内容都是基础简单,如果你是该领域的大佬,请跳过直接去做你自己的科研,或者当做休闲一刻快速浏览,谢谢!

先来说一个案例:

两类不同的鸟,但是差别很小,主要应该就在眼部,怎么通过一只小鸟去寻找到对应的类别呢?

结果其实就是通过寻找出具有判别区域部分:

1、Pose-normalized correspondence 

其中,黄色就是我们平时所说的边界框,红色就是语义区域部分。

首先就是找到这些部分,然后就可以通过特征表示出来。

下面是之前该领域的一些工作总结:

深度学习的进展:

2、深度表达用于细粒度

  • [Donahue et.al. ICML 2014] DPM detec7ons + DeCAF feature

  • [Zhang et.al. CVPR 2014] poselet detec7ons + deep network training from scratch

RNN


3、新框架

Object and Part detectors

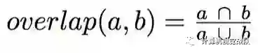
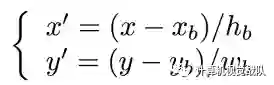
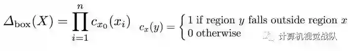
边界框约束:

高斯混合:

首先得到边界框和部分的注解:

然后归一化:

为每个部分先生成高斯混合

最后得到:

细粒度类别犹如下面的过程:

4、对比

DPM模型:

  • Multiple components

  • Deforma7on cost is a percomponent Gaussian prior.

  • R-CNN is a single-component model, mo7va7ng our MG and NP constraint. (New)

  • Nonparametric prior on keypoint configuration space.

  • Our non-parametric prior uses nearest neighbors on appearance space. (New)

5、结果

数据集:CUB-200-2011 (12k张图像,200类,15个点)


[1] Berg et.al. POOF: Part-based one-vs-one features for fine-grained
categoriza7on, face verifica7on, and ahribute es7ma7on. In CVPR 2013.
[2] Chai et.al. Symbio7c segmenta7on and part localiza7on for fine-grained
categoriza7on. In ICCV 2013.
[3] Gavves et.al. Fine-grained categoriza7on by alignments. In ICCV 2013.
[4] Donahue et.al. DeCAF: A deep convolu7onal ac7va7on feature for
generic visual recogni7on. In ICML 2014. 

微调过程其实对实验结果有很大的帮助,也做了一组对比试验来证明其有效性。

接下来就是部分区域定位的结果:


如果大于0.5就设定其为正确的。

[1] Azizipour et.al. Object detec7on using strongly-supervised deformable part models. In ECCV 2012.  

后期其实还可以基于多区域部分来进行特征表达,这样检测的效果会更好一些。

登录查看更多
14

相关内容

目标检测,也叫目标提取,是一种与计算机视觉和图像处理有关的计算机技术,用于检测数字图像和视频中特定类别的语义对象(例如人,建筑物或汽车)的实例。深入研究的对象检测领域包括面部检测和行人检测。 对象检测在计算机视觉的许多领域都有应用,包括图像检索和视频监视。

知识荟萃

精品入门和进阶教程、论文和代码整理等

更多

查看相关VIP内容、论文、资讯等
【ICML 2020 】小样本学习即领域迁移
专知会员服务
78+阅读 · 2020年6月26日
3D目标检测进展综述
专知会员服务
193+阅读 · 2020年4月24日
专知会员服务
164+阅读 · 2020年4月21日
CVPR2020 | 商汤-港中文等提出PV-RCNN:3D目标检测新网络
专知会员服务
45+阅读 · 2020年4月17日
专知会员服务
55+阅读 · 2020年3月16日
最全综述 | 图像目标检测
计算机视觉life
31+阅读 · 2019年6月24日
【学界】AAAI 2019 论文解读 | 基于区域分解集成的目标检测
GAN生成式对抗网络
8+阅读 · 2019年3月4日
这样可以更精确的目标检测——超网络
计算机视觉战队
6+阅读 · 2018年9月3日
目标检测算法盘点(最全)
七月在线实验室
17+阅读 · 2018年4月27日
基于深度学习的图像目标检测(下)
机器学习研究会
12+阅读 · 2018年1月1日
从R-CNN到Mask R-CNN!
全球人工智能
17+阅读 · 2017年11月13日
【回顾】用于目标检测的DSOD模型(ICCV 2017)
AI研习社
3+阅读 · 2017年10月16日
结合人类视觉注意力进行图像分类
计算机视觉战队
4+阅读 · 2017年7月31日
Deformable Style Transfer
Arxiv
14+阅读 · 2020年3月24日
Arxiv
5+阅读 · 2019年4月8日
DPOD: Dense 6D Pose Object Detector in RGB images
Arxiv
5+阅读 · 2019年2月28日
Arxiv
4+阅读 · 2018年12月20日
Arxiv
5+阅读 · 2018年4月17日
Arxiv
5+阅读 · 2016年12月29日
VIP会员
最新内容
《人工智能赋能电磁战》(报告)
专知会员服务
2+阅读 · 今天14:47
【CMU博士论文】迈向可扩展的开放世界三维感知
专知会员服务
1+阅读 · 今天14:06
前馈式三维场景建模
专知会员服务
1+阅读 · 今天14:03
(译文)认知战:以士兵为目标,塑造战略
专知会员服务
3+阅读 · 今天3:12
相关资讯
最全综述 | 图像目标检测
计算机视觉life
31+阅读 · 2019年6月24日
【学界】AAAI 2019 论文解读 | 基于区域分解集成的目标检测
GAN生成式对抗网络
8+阅读 · 2019年3月4日
这样可以更精确的目标检测——超网络
计算机视觉战队
6+阅读 · 2018年9月3日
目标检测算法盘点(最全)
七月在线实验室
17+阅读 · 2018年4月27日
基于深度学习的图像目标检测(下)
机器学习研究会
12+阅读 · 2018年1月1日
从R-CNN到Mask R-CNN!
全球人工智能
17+阅读 · 2017年11月13日
【回顾】用于目标检测的DSOD模型(ICCV 2017)
AI研习社
3+阅读 · 2017年10月16日
结合人类视觉注意力进行图像分类
计算机视觉战队
4+阅读 · 2017年7月31日
Top
微信扫码咨询专知VIP会员