在局部误差边界条件下的随机子梯度方法的加速

2018 年 4 月 26 日 计算机视觉战队 Edison

今天我们主要针对Stochastic Subgradient Methods来进行详细讲解,如果有兴趣的读者,进认真和我们一起阅读下去,记得拿好纸和笔~

首先,简单通过机器学习的例子来引入今天的话题。

上表是某地区的房屋售价数据。

线性模型如下:

y=f(w)=xw

其中,y表示价格,x表示大小。

可以拟合出一条上图的数据,但是到底哪个函数最好呢?

其实这是机器学习的入门知识,会的人应该在脑海中立马有了自己的函数构架了。

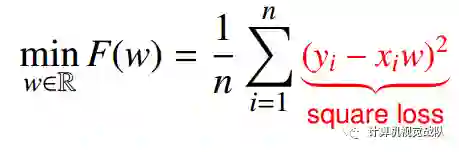
通过最小二乘回归:

square loss具有平滑性。

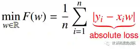
如果是最小绝对偏差:

absolute loss 不具有平滑性。

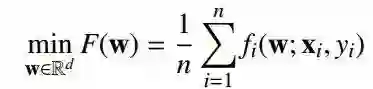
还有,用高维模型的话,如下:

最后一项是正则项。

  • 绝对损失对离群值问题更有鲁棒性;

  • L1-Norm正则项,大家应该都知道,可以用于特征选择。

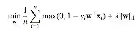
则机器学习的问题就如下所示:

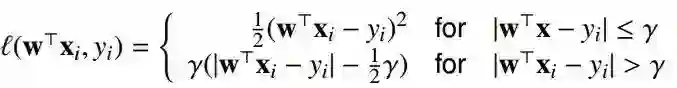
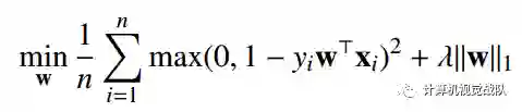
对于分类、回归和正则项来说,有如下方式:

  • 分类:铰链损失

  • 回归:平方损失和绝对损失

平方损失:

绝对损失:

  • 正则项:L1-Norm和L2-Norm

L1-Norm:


L2-Norm:

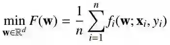
凸优化问题

其中,Rd→R是凸的,最优值为:

最优解为

最终目的就是找到最优解:



其中:

复杂性量度

  • 大多数优化算法都是通过迭代计算得到的:

  • 迭代复杂度:迭代次数T(ε)为:

其中0<ε≤1。

  • 时间复杂度:T(ε)*C(n,d),C(n,d)就是每次迭代的成本。


现在开始我们正式进入主题:

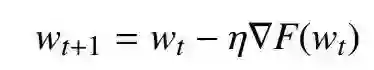
梯度下降(GD)

定理主要来自于:Yurii Nesterov. Introductory lectures on convex optimization : a basic course. Applied optimization. Kluwer Academic Publ., 2004. ISBN 1-4020-7553-7.


问题依然是:

(平滑)

迭代:

GD:

步长:η=1/L,且η>0。


加速梯度下降法

其中,为动量参数。

定理参考于:Arkadi Nemirovski, Anatoli Juditsky, Guanghui Lan, and Alexander Shapiro. Robust stochastic approximation approach to stochastic programming. SIAM Journal on Optimization, 19:1574–1609, 2009

次子度下降(SG)

其为非平滑的。


时间复杂度

其中,在计算梯度的时候很费时。

如果对于大数据的时候,d和n都特别大,要计算梯度,需要通过所有数据点,每个迭代步骤,都需要这样计算。

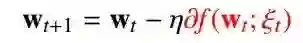
所以出现了随机梯度下降算法(SGD):


随机子梯度下降(SSG)

迭代:

时间复杂度:



怎么加速呢?

Y. Xu, Q. Lin, and T. Yang. Stochastic convex optimization: Faster local growth implies faster global convergence. In ICML, pages 3821-3830, 2017

局部误差边界约束条件下的快速全局收敛性,用于机器系学习。

局部误差边界条件(LEB)

定义:有一个常数c>0,还有一个局部增长率θ∈(0,1],则:

则F(W)满足局部误差边界条件。

从下图中可以清楚看出加速的效果:

主要的步骤如下:

其中:

然后再来看看时间复杂度:


实验

  • 鲁棒回归:


  • 稀疏分类:

  • 最小二乘+L1-Norm:

  • 平方铰链损失:

  • Hurbe损失:

实验结果:


欢迎加入我们“计算机视觉战队”!!!

登录查看更多
0

相关内容

深度神经网络模型压缩与加速综述
专知会员服务
130+阅读 · 2019年10月12日
一文读懂线性回归、岭回归和Lasso回归
CSDN
34+阅读 · 2019年10月13日
目标检测中边界框的回归策略
极市平台
17+阅读 · 2019年9月8日
自定义损失函数Gradient Boosting
AI研习社
14+阅读 · 2018年10月16日
数据分析师应该知道的16种回归方法:负二项回归
数萃大数据
74+阅读 · 2018年9月16日
详解常见的损失函数
七月在线实验室
20+阅读 · 2018年7月12日
机器学习者都应该知道的五种损失函数!
数盟
5+阅读 · 2018年6月21日
已删除
将门创投
10+阅读 · 2018年5月2日
论文笔记:PTAV
统计学习与视觉计算组
3+阅读 · 2017年9月23日
Optimization for deep learning: theory and algorithms
Arxiv
106+阅读 · 2019年12月19日
Arxiv
19+阅读 · 2018年6月27日
Arxiv
5+阅读 · 2018年5月28日
Arxiv
3+阅读 · 2018年5月21日
Arxiv
6+阅读 · 2018年4月24日
VIP会员
最新内容
人工智能在战场行动中的演进及伊朗案例
专知会员服务
3+阅读 · 4月18日
美AI公司Anthropic推出网络安全模型“Mythos”
专知会员服务
2+阅读 · 4月18日
【博士论文】面向城市环境的可解释计算机视觉
大语言模型的自改进机制:技术综述与未来展望
《第四代军事特种作战部队选拔与评估》
专知会员服务
1+阅读 · 4月18日
相关VIP内容
深度神经网络模型压缩与加速综述
专知会员服务
130+阅读 · 2019年10月12日
相关资讯
一文读懂线性回归、岭回归和Lasso回归
CSDN
34+阅读 · 2019年10月13日
目标检测中边界框的回归策略
极市平台
17+阅读 · 2019年9月8日
自定义损失函数Gradient Boosting
AI研习社
14+阅读 · 2018年10月16日
数据分析师应该知道的16种回归方法:负二项回归
数萃大数据
74+阅读 · 2018年9月16日
详解常见的损失函数
七月在线实验室
20+阅读 · 2018年7月12日
机器学习者都应该知道的五种损失函数!
数盟
5+阅读 · 2018年6月21日
已删除
将门创投
10+阅读 · 2018年5月2日
论文笔记:PTAV
统计学习与视觉计算组
3+阅读 · 2017年9月23日
Top
微信扫码咨询专知VIP会员