NeurIPS 2022 | 最优脑压缩,训练后剪枝又一力作!

2023 年 4 月 4 日 PaperWeekly


@Paperweekly 原创 · 作者 | An.
单位 | 中科院自动化所
研究方向 | 计算机视觉、模型压缩



论文标题:
Optimal Brain Compression: A Framework for Accurate Post-Training Quantization and Pruning

论文链接:

https://arxiv.org/pdf/2208.11580.pdf

代码链接:

https://github.com/IST-DASLab/OBC

本文提出了一种 新的训练后压缩框架 Optimal Brain Compression(OBC),该框架在统一范式下涵盖了权重剪枝和量化 OBC 在无需任何再训练的情况下,只需少量的校准输入数据,即可获得空间和时间效率大大提升且模型性能良好的压缩模型。该方法基于最优脑手术(OBS) [1] 框架进行扩展,将其推广到了包括 CNN、Transformer 在内的现代 DNN 模型中。

实验证明,OBC 在 GPU 支持的复合压缩中,实现了精度仅下降 2% 的情况下,理论计算量减少 12 倍,以及在 CPU 稀疏感知运行时,精度仅下降 1% 的情况下,实际运行加速 4 倍。这些结果首次表明,训练后压缩可以获得与完全再训练压缩相近的性能表现。




问题定义
分层压缩问题 分层压缩是训练后压缩的标准方法,它将压缩任务分解为分层子问题,根据校准数据给出层输入和输出的子样本,为每一层确定压缩权重的近似重建。数学上,我们可以定义层 的函数为 ,该层的输入为 ,权重为 分层压缩的目标是在约束条件 下找到权重的近似重建 以最小化损失 具体公式如下:

层输入 的期望通常是通过统计 个输入样本的 mini-batch 的平均值来近似估计的。这种低数据设置也是分层压缩的一大优势。与过往的分层压缩工作 [2,3] 一致, 本文也只对线性层和卷积层进行压缩 ,这些层均使用平方误差来衡量重建误差。详细的推导可以参阅 [3] 。式(1)更具体的表示如下:
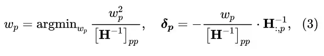
最佳脑手术(OBS)框架 OBS 框架 [1] 针对密集神经网络的精确修剪问题,从给定点处的泰勒近似出发,给出了最优去除权重选择的显式公式,以及补偿剩余权重的最优更新。具体来说,设 为给定模型的海森矩阵,引起最小损失增加的修剪 和剩余权重的更新量 如下:
OBS 分层剪枝 有了上述基础,我们现在可以利用分层修剪问题实例化本文的框架。首先,式(2)的损失是二次的,完全满足 OBS 框架的假设,这意味着式(3)对于分层压缩问题是精确的,不引入额外的误差。
因此, 迭代 OBS 框架能以一次去除一个权重并对其他权重进行补偿的方式,为分层压缩问题提供一套精确的贪心解决方案 虽然这种贪心方法并不能保证收敛到全局最优值,但实验证明,这种方法对于处理太大而无法通过精确方法处理的问题实例非常有效。



稀疏性的最优贪心求解器
迭代 OBS 的贪心解决方案存在一个巨大的挑战,即使用式(3)修剪单个权重的计算量很高。海森矩阵 是一个 的矩阵,其中 ,该矩阵需要在 步中的每一处更新和求逆,计算复杂度为 。显然, 的总体运行时间对于修剪如今规模的神经网络来说效率太低。
因此, 本文的核心创新是在不引入额外误差的情况下,将此过程的整体成本降低至 时间和 内存。

2.1 ExactOBS 算法

我们首先将式(2)改写成行表示形式 ,从中可以看出,删除权重 只影响对应行输出 。因此,不同行之间没有海森矩阵的交互,因此仅需使用对应每行的单个 的海森矩阵就足够了。这一观察降低了大量的计算复杂度。为了进一步降低时间和空间复杂度,作者还做了下面两个改进。
第1步 - 处理单行 这一改进的关键思想在于避免在每一步中对 的统计和  的求逆。前者很容易,因为权重的变化不会对 带来改变,我们只需在修剪前对各层的海森矩阵进行统计,在后续修剪时根据每行的掩码 进行选择即可。
然而,这一技巧并不适用于求逆操作, 因为 本文提出了一种基于高斯消元法的等价求解方法,来根据当前海森矩阵的逆快速计算下一步迭代时新的海森矩阵逆。当我们去除某一个权重时,海森矩阵对应行列的元素也将删除,基于这一事实,在更新逆时我们可以直接使用高斯消元法将对于行列的元素去除,具体公式如下:
由此可以得到单行修剪的算法伪代码(见图 1),其中海森矩阵逆的更新的时间复杂度为 

▲ 图1. 单行 OBS 修剪的伪代码

第2步 - 联合考虑所有行 为了在每一步中选择具有最小整体修剪损失的权重(即每行最小损失的最小值),需要将 OBS 框架应用于完整的权重矩阵 ,而不仅仅是独立应用于每行。
图 1 的算法已经解决了计算复杂度的问题,但这种多行联合求解带来了过于昂贵的内存占用(每行都需要存储   )。作者巧妙地发现了一个性质,即 每行内的修剪顺序是固定的,最终剪去多少仅取决于修剪的参数总数 这为降低存储复杂度提供了可能。
这一性质让我们可以独立处理每一行,按照顺序修剪所有权重,并记录损失变化量 。通过这种预处理,我们只需要 的额外内存,即可按照预先记录的 在完整矩阵中选择全局掩码。
如果有足够的 CPU 内存可用的话,我们还可以保留每行的修剪轨迹,即每个单独修剪步骤之后的完整权重矩阵,这是一种用空间换时间的权衡,在额 的 CPU 内存占用下,可以节省第二次调用图 1 的算法。图 2 可视化了刚刚讨论的两个选项(Less compute 和 Less memory)。

▲ 图2. 利用逐行结果的高效全局 OBS 算法
至此,我们已经介绍完了本文的核心创新——在不引入额外误差的情况下,将此过程的整体成本降低至  的时间和  的内存。为了让读者更清楚地理解整个修剪过程,我再阐述一次整体的算法流程:

(a)将整个模型的剪枝问题分解为各层(线性层或卷积层)的修剪和权重重建子问题;

(b)统计每层的海森矩阵,并初始化海森矩阵的逆;

(c)对于每层的权重 ,分行利用式(3)计算每个权重剪去带来的误差, 依次记录最小的索引 和对应的误差 ,剪去对应权重,利用式(3)对剩余权重进行更新,并利用式(4)更新海森矩阵的逆   和行掩码 【这一步并不会真正更新模型权重,只是为了记录各行修剪的顺序和每次修剪的误差】;
(d)根据上一步各行的 记录结果, 选择全局的最小索引 ,进行完整权重矩阵的修剪和更新。

2.2 扩展:N:M 和块稀疏

N:M 稀疏性 该方法可以很容易地扩展到各种形式的半结构化稀疏性。例如 N:M 稀疏模式 [4] ,它在 M 个连续权重中恰好选保留 N 个非零值。只需简单的调整即可实现:不在选择损失变化最小的权重,而是选择在具有 < N 个修剪权重的块中损失变化最小的权重。当某行达到 的稀疏比时就终止修剪。因此也不再需要前面介绍的全局掩码选择步骤。
块稀疏性 块修剪是另一种实践中常用的修剪模式,特别是在 CPU 加速的情况下。它要求仅在大小为 的连续块中出现零,本文的方法可以扩展到修剪小的权重连续组,具体公式如下:




最佳大脑量化器(OBQ)

上一节的算法可以通过一种有效且准确的方式扩展到量化,作者将其称为最优脑量化器(OBQ)。

将 OBS 映射到量化投影, 是量化的权重舍入,更新后 。我们可以根据式(3)推导出类似的量化更新公式:

从 OBS 的视角看量化时,我们可以想象,我们先找到“最简单”量化的权重,调整所有剩余未量化权重来补偿精度损失,以此类推 我们只需要在式(6)的基础上使用图 1 提到的算法,即可迭代式的量化给定层的权重。




实验

1. 非结构化稀疏性 表 1 展示了不同 FLOP 的非结构化剪枝结果。在 ResNet、YOLOv5 和 BERT 上,本文提出的 ExactOBS 算法的表现通常是最好的,尤其是在大稀疏率的情况下。

▲ 表1. 不同 FLOP 目标下的非结构化剪枝方法对比

2. N:M 稀疏性 如表 2 所示,本文提出的方法在多个 ResNet 变体中均取得了最优的效果。

▲ 表2. 半结构化剪枝的性能对比

3. 量化 表 3 对比了 OBQ 与其他最先进的训练后量化方法的性能结果。从中可以看出,尽管 OBQ 独立优化了每个层,但在性能表现上与其他联合优化的方法相比非常相近。

▲ 表3. 训练后量化方法的性能对比

4. BOP 约束混合 GPU 压缩 图 3 展示了OBC 将剪枝和量化结合起来的性能效果。在相对性能下降约 2.5% 的代价下,ResNets 的 BOP(比特数乘以 FLOPs)降低了 12~14 倍。

▲ 图3. 混合量化+2:4剪枝的 BOP 与准确率变化关系(BOP 指比特数乘以 FLOPs)

参考文献

[1] Babak Hassibi, David G Stork, and Gregory J Wolff. Optimal brain surgeon and general network pruning. In IEEE International Conference on Neural Networks, 1993.

[2] Peisong Wang, Qiang Chen, Xiangyu He, and Jian Cheng. Towards accurate post-training network quantization via bit-split and stitching. In International Conference on Machine Learning (ICML), 2020.

[3] Markus Nagel, Rana Ali Amjad, Mart Van Baalen, Christos Louizos, and Tijmen Blankevoort. Up or down? Adaptive rounding for post-training quantization. In International Conference on Machine Learning (ICML), 2020.

[4] Aojun Zhou, Yukun Ma, Junnan Zhu, Jianbo Liu, Zhijie Zhang, Kun Yuan, Wenxiu Sun, and Hongsheng Li. Learning N:M fine-grained structured sparse neural networks from scratch. InInternational Conference on Learning Representations (ICLR), 2021.


更多阅读



#投 稿 通 道#

 让你的文字被更多人看到 



如何才能让更多的优质内容以更短路径到达读者群体,缩短读者寻找优质内容的成本呢?答案就是:你不认识的人。


总有一些你不认识的人,知道你想知道的东西。PaperWeekly 或许可以成为一座桥梁,促使不同背景、不同方向的学者和学术灵感相互碰撞,迸发出更多的可能性。 


PaperWeekly 鼓励高校实验室或个人,在我们的平台上分享各类优质内容,可以是最新论文解读,也可以是学术热点剖析科研心得竞赛经验讲解等。我们的目的只有一个,让知识真正流动起来。


📝 稿件基本要求:

• 文章确系个人原创作品,未曾在公开渠道发表,如为其他平台已发表或待发表的文章,请明确标注 

• 稿件建议以 markdown 格式撰写,文中配图以附件形式发送,要求图片清晰,无版权问题

• PaperWeekly 尊重原作者署名权,并将为每篇被采纳的原创首发稿件,提供业内具有竞争力稿酬,具体依据文章阅读量和文章质量阶梯制结算


📬 投稿通道:

• 投稿邮箱:[email protected] 

• 来稿请备注即时联系方式(微信),以便我们在稿件选用的第一时间联系作者

• 您也可以直接添加小编微信(pwbot02)快速投稿,备注:姓名-投稿


△长按添加PaperWeekly小编



🔍


现在,在「知乎」也能找到我们了

进入知乎首页搜索「PaperWeekly」

点击「关注」订阅我们的专栏吧


·
·

登录查看更多
0

相关内容

NeurIPS 2022杰出论文奖项公布!AlexNet获时间检验奖
专知会员服务
15+阅读 · 2022年11月22日
【ICLR2022】Transformers亦能贝叶斯推断
专知会员服务
25+阅读 · 2021年12月23日
专知会员服务
15+阅读 · 2021年5月12日
专知会员服务
52+阅读 · 2020年12月14日
【NeurIPS 2020 】神经网络结构生成优化
专知会员服务
21+阅读 · 2020年10月24日
模型压缩究竟在做什么?我们真的需要模型压缩么?
专知会员服务
28+阅读 · 2020年1月16日
NeurIPS 2022 | 稀疏且鲁棒的预训练语言模型
PaperWeekly
0+阅读 · 2022年11月11日
【速览】ECCV 2022 | 针对二值神经网络的循环双线性优化
中国图象图形学学会CSIG
0+阅读 · 2022年9月23日
一文看懂AutoEncoder模型演进图谱
AINLP
12+阅读 · 2019年6月17日
吴恩达团队:神经网络如何正确初始化?
AI100
11+阅读 · 2019年5月15日
论文浅尝 | 面向知识图谱补全的共享嵌入神经网络模型
开放知识图谱
31+阅读 · 2019年4月7日
你有哪些深度学习(rnn、cnn)调参的经验?
七月在线实验室
10+阅读 · 2019年3月27日
变分自编码器VAE:一步到位的聚类方案
PaperWeekly
25+阅读 · 2018年9月18日
如何找到最优学习率?
AI研习社
11+阅读 · 2017年11月29日
在TensorFlow中对比两大生成模型:VAE与GAN
机器之心
12+阅读 · 2017年10月23日
国家自然科学基金
0+阅读 · 2015年12月31日
国家自然科学基金
0+阅读 · 2014年12月31日
国家自然科学基金
0+阅读 · 2013年12月31日
国家自然科学基金
0+阅读 · 2013年12月31日
国家自然科学基金
0+阅读 · 2013年12月31日
国家自然科学基金
0+阅读 · 2012年12月31日
国家自然科学基金
0+阅读 · 2012年12月31日
国家自然科学基金
0+阅读 · 2012年12月31日
国家自然科学基金
3+阅读 · 2011年12月31日
国家自然科学基金
0+阅读 · 2009年12月31日
Arxiv
0+阅读 · 2023年5月31日
Arxiv
0+阅读 · 2023年5月30日
Arxiv
0+阅读 · 2023年5月26日
Arxiv
0+阅读 · 2023年5月26日
Arxiv
14+阅读 · 2022年10月15日
Arxiv
27+阅读 · 2021年11月11日
Arxiv
12+阅读 · 2018年1月12日
VIP会员
最新内容
BES:让语言模型通过双向进化搜索自我改进
专知会员服务
0+阅读 · 5月30日
以色列-美国-伊朗战争中的无人机:关键要点
专知会员服务
3+阅读 · 5月30日
《Palantir任务保障性软件安全标准(MA-S2)》
专知会员服务
7+阅读 · 5月30日
基于声学的无人机检测技术综述
专知会员服务
5+阅读 · 5月30日
《当代混合战争分析框架:俄乌战争经验教训》
战略前沿人工智能的再思考(中文)
专知会员服务
7+阅读 · 5月29日
《量化地基防空系统间接效应的博弈论方法》
专知会员服务
5+阅读 · 5月29日
相关VIP内容
相关资讯
NeurIPS 2022 | 稀疏且鲁棒的预训练语言模型
PaperWeekly
0+阅读 · 2022年11月11日
【速览】ECCV 2022 | 针对二值神经网络的循环双线性优化
中国图象图形学学会CSIG
0+阅读 · 2022年9月23日
一文看懂AutoEncoder模型演进图谱
AINLP
12+阅读 · 2019年6月17日
吴恩达团队:神经网络如何正确初始化?
AI100
11+阅读 · 2019年5月15日
论文浅尝 | 面向知识图谱补全的共享嵌入神经网络模型
开放知识图谱
31+阅读 · 2019年4月7日
你有哪些深度学习(rnn、cnn)调参的经验?
七月在线实验室
10+阅读 · 2019年3月27日
变分自编码器VAE:一步到位的聚类方案
PaperWeekly
25+阅读 · 2018年9月18日
如何找到最优学习率?
AI研习社
11+阅读 · 2017年11月29日
在TensorFlow中对比两大生成模型:VAE与GAN
机器之心
12+阅读 · 2017年10月23日
相关基金
国家自然科学基金
0+阅读 · 2015年12月31日
国家自然科学基金
0+阅读 · 2014年12月31日
国家自然科学基金
0+阅读 · 2013年12月31日
国家自然科学基金
0+阅读 · 2013年12月31日
国家自然科学基金
0+阅读 · 2013年12月31日
国家自然科学基金
0+阅读 · 2012年12月31日
国家自然科学基金
0+阅读 · 2012年12月31日
国家自然科学基金
0+阅读 · 2012年12月31日
国家自然科学基金
3+阅读 · 2011年12月31日
国家自然科学基金
0+阅读 · 2009年12月31日
相关论文
Arxiv
0+阅读 · 2023年5月31日
Arxiv
0+阅读 · 2023年5月30日
Arxiv
0+阅读 · 2023年5月26日
Arxiv
0+阅读 · 2023年5月26日
Arxiv
14+阅读 · 2022年10月15日
Arxiv
27+阅读 · 2021年11月11日
Arxiv
12+阅读 · 2018年1月12日
Top
微信扫码咨询专知VIP会员