微软AI要参加IMO竞赛!小目标:数学金牌

2020 年 10 月 3 日 量子位
贾浩楠 萧箫 发自 凹非寺
量子位 报道 | 公众号 QbitAI

今年,可能是最后一届“纯人类”参赛的IMO (国际奥数竞赛)

参加2020年IMO的中国代表队(李金珉的官方年龄信息有误)

因为在明年,AI可能也会加入这场金牌争夺战中,成为一名“种子选手”。

这名潜入IMO赛事的AI名为Lean,由微软的研究人员开发。

目前,他们正计划让Lean参与明年的国际奥数竞赛。

也就是说,它将与世界各国的奥赛选手一起争夺IMO金牌。

准备在IMO上一展身手的Lean

其实,微软研究人员让AI参加IMO的理由,原因是它是个很好的实验工具(工具人)

微软研究员Selsam是挑战赛IMO Grand Challenge的创始人之一,他表示,这项比赛的目的是训练一个人工智能系统,以便在世界顶级数学竞赛中赢得金牌。

因为这里不仅有数学上“最简单”的难题(连高等数学都用不上,但就是做不出来),而且还汇集了来自世界各地的顶尖高手。

如果AI能像人一样证明这些数学定理,某种程度上也能说明,让它“像人一样思考”不会太过困难。

基于这个想法,微软的研究人员从2013年开始研发Lean,希望让AI能拥有自主判断、根据假设进行演绎的能力。

也就是说,它是个旨在缩小交互式定理证明、与自动定理证明之间的差距的开源项目。

自动定理证明:对数学中提出的定理或猜想,寻找一种证明或反证的方法。系统不仅能根据假设进行演绎,还要有一定的判定技巧。

交互式定理证明:借助计算机辅助证明工具,理解检验数学定理正确性,完成数学定理的证明。

Lean已经推出了3个版本,现在的第四个版本Lean 4还在完善中,现在的逻辑系统基于依赖类型理论,已经强大到足以证明所有的常规数学定理。

也就是说,想要让它自己证明IMO中提出来的、此前“没见过的”数学问题,依旧非常困难。

目前,Lean 4还没有彻底做好准备,作者Leonardo de Moura表示,如果让它参加今年的IMO,“可能只能得0分”。

因为,Lean目前甚至无法理解某些数学问题需要涉及哪些概念,而这些概念本身又是“什么意思”。

证明的“第一步”,就难住了算法

对于不少人来说,数学十分抽象、难以学好。

事实上,AI和你的感觉一样。

一般的工程应用问题中,AI得心应手,因为在预训练阶段,算法模型已经对一类问题有所了解。

也就是说,AI现阶段能干的活仍然有限,通常要给定条件和数据,经过持续的“刷题”,才能做“更复杂的计算”。

这是一个从“1”到“2”、“3”,甚至是无穷的过程。

但数学问题的证明本质并不一样,证明一个公理,或是一个复杂的等式,需要完全“白手起家”。

证明的第一步:提出一个合理证明路径。这个从0到1的关键,目前只有人类的大脑能胜任。

绝大部分AI,很难给出证明思路的第一步。

拿一个最简单最古老的数学公理来说,公元前300年,欧几里得就证明了质数有无限多个

而要证明这一结论,关键是要认识到,总是可以通过乘所有已知的质数并加1来找到一个新的质数。有了这个思路,接下来的证明就很简单了。

但“想到这个思路”这一行为本身,对于AI来说,难度巨大。

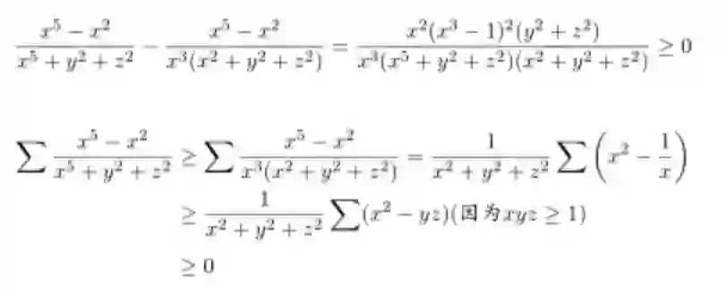
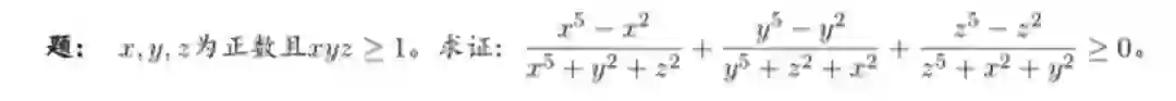
说回IMO,正式比赛中的3道题目,尽管不涉及微积分等高等数学,但无一不是要求选手利用中学的所有数学知识,进行巧妙的构思给出解题方法。

比如这道2005年IMO真题:

当时不同国家的参赛选手至少给出了3种不同的证明,其中被广泛认可讨论的解法,采用柯西不等式简化的思路,篇幅大概需要半页A4纸。

而另一位来自摩尔多瓦的选手,极富创造性的用两行式子完成了证明:

上面一行是“因为”,下面一行就是“所以”,其简洁、精准甚至可以说“粗暴有效”震惊全场。

精巧的思路也获得了当年的IMO特别奖。

要说明的是,IMO特别奖不看总成绩,只颁给解题方法独到的选手。

这种石破天惊的“第一步”,对于现在的AI来说,几乎是不可能做到的。

这也许就是为什么微软的研究人员设定的目标是“冲击金奖”吧。

巧的玩不转,Lean采取什么方法跟人类大脑竞争呢?

Lean如何学数学?

Lean和所有AI算法一样,需要“喂数据”进行训练。

目前的Lean,不但无法设计出完整的IMO题目证明过程,它甚至无法理解其中一些问题所涉及的概念。

所以,Lean的首要任务是学习更多的数学知识。

训练数据来自Mathlib的库。Mathlib是一个数学基础数据库,它几乎包含了大学二年级以下所有数学知识。

但Mathlib在中学数学上仍有一些差距,团队正在对Mathlib数据库进行补全。

掌握知识只是第一步,如何灵活运用才是关键。

团队采取的方法与象棋、围棋AI等相同——遵循决策树,直到算法找到最优解

许多IMO题目的关键是寻找某种证明的模式。深入数学证明的底层,是一系列非常具体的、有逻辑的步骤。

研究人员尝试通过IMO题目证明的全部细节来训练Lean。

但在这种方法也有局限,每个特定的题目证明对于算法来说太“专”,下一个不同类型题目仍然不会解。

为了解决这个问题,团队需要数学家写出之前IMO题目的详细形式化证明。然后,团队提炼证明中的采用的不同策略。

接下来,Lean的任务,就是在这些策略中寻找一个 “胜利 “的组合。

这项任务实际上比描述起来困难的多,团队这样比喻它:

在围棋中,目标是找到最好的一步棋。而在数学中,目标是找到最好的一盘棋,然后在这盘棋中找到最好的一步棋。

团队说,也许到了明年,获得金牌仍然是很困难的,但至少,Lean有机会参赛了。

对此,有网友感叹AI这些年神速的进展:先是国际象棋、又是围棋……现在,AI又要来攻占国际奥赛金牌了。

但也有网友持悲观态度,认为AI现阶段只能在某些方面趋近人类的水平。

目前AI的算法,都是建立在人类认知基础上的……所以像(证明数学定理)这样特殊的任务,我持消极态度,毕竟世界上只有少部分人能提供帮助。

“什么是数学思想?”

这个问题出乎意料的难以解释透彻。数学家在尝试解决新问题时,大脑的活动是难以描述的,更不要说落实在算法上。

尽管已经有AI团队朝数学思想的深层迈出了一步,但是从他们采取的策略来看,仍然是学习过往思路,选择成功率最高的“排列组合”。

这样的AI算法,要在创造力和突破性上超越人类,“火候”还差得远。

而隔壁的GPT,也在数学证明方向上取得了初步成果。

最近,OpenAI推出了用于数学问题的GPT-f,利用基于Transformer语言模型的生成能力进行自动定理证明。

由GPT-f发现的23个简短证明已被Metamath主库接收,这也是首次AI的数学证明获得业内认可。

GPT真的是要砸所有人的饭碗,连数学家都不放过。

那么,Lean和GPT-f,你更看好哪一个呢?

项目链接:
https://leanprover.github.io/

在线可玩:
https://leanprover.github.io/live/master/

参考链接:
https://leodemoura.github.io/
https://www.quantamagazine.org/how-close-are-computers-to-automating-mathematical-reasoning-20200827/
https://www.quantamagazine.org/at-the-international-mathematical-olympiad-artificial-intelligence-prepares-to-go-for-the-gold-20200921

本文系网易新闻•网易号特色内容激励计划签约账号【量子位】原创内容,未经账号授权,禁止随意转载。

榜单征集!7大奖项锁定AI TOP企业

「2020中国人工智能年度评选」正式启幕!将从公司、人物、产品、社区四大维度共7个奖项寻找优秀的AI企业,欢迎大家扫码报名参与。 
榜单将于12月揭晓,也期待与百万从业者们,共同见证这些优秀企业的荣誉!


量子位 QbitAI · 头条号签约作者


վ'ᴗ' ի 追踪AI技术和产品新动态


一键三连「分享」、「点赞」和「在看」

科技前沿进展日日相见~


登录查看更多
0

相关内容

数学是关于数量、结构、变化等主题的探索。
霍普金斯《操作系统原理》2020课程,不可错过!
专知会员服务
37+阅读 · 2020年10月27日
【康奈尔】最新《强化学习基础》CS 6789课程
专知会员服务
70+阅读 · 2020年9月27日
最新《生成式对抗网络数学导论》,30页pdf
专知会员服务
80+阅读 · 2020年9月3日
【干货书】Python 编程,480页pdf
专知会员服务
244+阅读 · 2020年8月14日
【强化学习】深度强化学习初学者指南
专知会员服务
184+阅读 · 2019年12月14日
超过Google,微信AI在NLP领域又获一项世界第一
量子位
6+阅读 · 2019年10月19日
窥探神秘的Deepfake“军备竞赛”
新智元
7+阅读 · 2019年10月12日
带学吴恩达机器学习课程和作业,带打Kaggle全球顶级大赛
机会 | 带学《机器学习》西瓜书+带打NLP算法大赛
机器学习算法与Python学习
6+阅读 · 2018年8月26日
入坑机器学习?送你一篇MIT在读博士的AI心得
THU数据派
4+阅读 · 2018年4月29日
第二章 机器学习中的数学基础
Datartisan数据工匠
12+阅读 · 2018年4月5日
Kaggle入门手册
Datartisan数据工匠
14+阅读 · 2017年11月9日
Arxiv
0+阅读 · 2020年11月30日
Generalization and Regularization in DQN
Arxiv
6+阅读 · 2019年1月30日
Learning to Importance Sample in Primary Sample Space
VIP会员
最新内容
战争机器学习:数据生态系统构建(155页)
专知会员服务
1+阅读 · 46分钟前
内省扩散语言模型
专知会员服务
5+阅读 · 4月14日
国外反无人机系统与技术动态
专知会员服务
3+阅读 · 4月14日
大规模作战行动中的战术作战评估(研究论文)
未来的海战无人自主系统
专知会员服务
3+阅读 · 4月14日
美军多域作战现状分析:战略、概念还是幻想?
无人机与反无人机系统(书籍)
专知会员服务
19+阅读 · 4月14日
美陆军2026条令:安全与机动支援
专知会员服务
9+阅读 · 4月14日
相关VIP内容
霍普金斯《操作系统原理》2020课程,不可错过!
专知会员服务
37+阅读 · 2020年10月27日
【康奈尔】最新《强化学习基础》CS 6789课程
专知会员服务
70+阅读 · 2020年9月27日
最新《生成式对抗网络数学导论》,30页pdf
专知会员服务
80+阅读 · 2020年9月3日
【干货书】Python 编程,480页pdf
专知会员服务
244+阅读 · 2020年8月14日
【强化学习】深度强化学习初学者指南
专知会员服务
184+阅读 · 2019年12月14日
相关资讯
超过Google,微信AI在NLP领域又获一项世界第一
量子位
6+阅读 · 2019年10月19日
窥探神秘的Deepfake“军备竞赛”
新智元
7+阅读 · 2019年10月12日
带学吴恩达机器学习课程和作业,带打Kaggle全球顶级大赛
机会 | 带学《机器学习》西瓜书+带打NLP算法大赛
机器学习算法与Python学习
6+阅读 · 2018年8月26日
入坑机器学习?送你一篇MIT在读博士的AI心得
THU数据派
4+阅读 · 2018年4月29日
第二章 机器学习中的数学基础
Datartisan数据工匠
12+阅读 · 2018年4月5日
Kaggle入门手册
Datartisan数据工匠
14+阅读 · 2017年11月9日
Top
微信扫码咨询专知VIP会员