CVPR2019 | CMU提出Single-Shot目标检测最强算法:FSAF

2019 年 3 月 7 日 CVer

点击上方“CVer”,选择加"星标"或“置顶”

重磅干货,第一时间送达

作者:ywsun

https://zhuanlan.zhihu.com/p/58508985

本文已由原作者授权,不得擅自二次转载

论文名称:Feature Selective Anchor-Free Module for Single-Shot Object Detection

论文链接:https://arxiv.org/abs/1903.00621

CVPR2019的一篇single-stage detection的文章,来自CMU。

【Motivation】

目标检测中物体尺度问题一直是个难解决的问题,目前为止主要是从网络结构设计、损失函数、训练方式等方面去缓解尺度带来的烦恼,特别是小物体检测,至今没有一个好的解决方案。在这些方法中,最常见的非Feature Pyramid Network(FPN)莫属了,它利用多级的feature map去预测不同尺度大小的物体,其中高层特征带有高级语义信息和较大的感受野,适合检测大物体,浅层特征带有低级的细节语义信息和较小的感受野,适合检测小物体。FPN逐步融合深层特和浅层特征,使得逐步增加浅层的特征的高级语义信息来提高特征表达能力,提升检测效果。得益于其强大的特征表达能力带来的性能提升,现在FPN结构已经成为检测框架的一个标配组件。

在经典的带有FPN的框架中,有这样一个隐藏操作在里面:选择一层合适的feature map负责检测物体。比如在two-stage里面,会有RoI pooling,将物体对应的feature抠出来送入不同分支完成分类和位置回归。Faster R-CNN用的是RoI pooling,Mask R-CNN用的是RoIAlign,这个地方改进是为了解决pooling操作带来的misalignment问题,但不是本文关注的重点。本文关注的是如何“合理”地选择feature来检测物体,并且针对的是single-stage这一类模型。但single-stage没有roi pooling这一操作,何来选择feature这一说呢?

在single-stage模型中,我们会定义一系列稠密的均匀分布的anchor,这些anchor会根据其不同的尺寸大小和不同的feature map联系起来。在带有FPN的backbone中,高层的feature map分辨率高,得到的anchor数量多尺寸小,浅层的feature map分辨率低,得到的anchor数量少尺寸大,anchor的生成是根据feature map不同而定义的。在anchor match gt阶段,gt与anchor匹配,确定gt归属于哪些anchor,这个过程隐式的决定了gt会由哪层feature map负责预测。不管是生成anchor还是gt match 过程,都是由size这个变量决定,虽然我们会设定先验的规则来选择最好的feature map,但存在的问题是,仅仅利用size来决定哪些feature map来检测物体是一种暴力的做法。如下图所示,60x60大小的car和50x50大小的car被分在了不同feature map,50x50和40x40的被分在了同一级feature map,谁也不能证明这种做法不好,但谁也不能证明这种做法就是最好,那么何不让模型自动学习选择合适的feature 去做预测呢?

【Method】

Feature Selective Anchor-Free Module (FSAF)

文章提出FSAF模块让每个instance自动的选择最合适的feature,在这个模块中,anchor box的大小不再决定选择哪些feature进行预测,也就是说anchor (instance) size成为了一个无关的变量,这也就是anchor-free的由来。因此,feature 选择的依据有原来的instance size变成了instance content,实现了模型自动化学习选择feature。

先来看看FSAF的结构。文章提出的FSAF以RetinaNet为主要结构,添加一个FSAF分支和原来的classification subnet、regression subnet并行,可以不改变原有结构的基础上实现完全的end-to-end training,特别是,FSAF还可以集成到其他single-stage模型中,比如SSD、DSSD等。

FSAF同样包含classificationbox regression两个分支,分别得到predict box所属的类别和坐标值。

Ground-truth和loss的设计

对于一个instance,其类别为k,bounding box坐标为b=[x,y,w,h],它映射到第 层feature level上的坐标为 ,定义一个有效区域 ,其的 ,文章设定=0.2。同时定义一个忽略区,其,文章设=0.5。如下图所示,白色是有效区域,灰色是忽略区域。

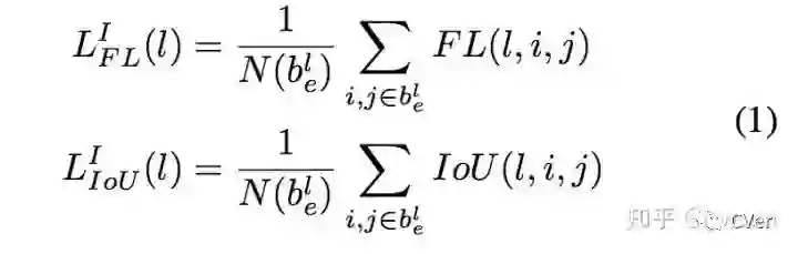
classification output是一个WxHxK大小的feature map,K表示物体类别数,那么在坐标为(i,j)的点上是一个长度为K的向量,表示属于每个类别的概率。分支对应的gt是图中白色区域内值为1,表示正样本,黑色区域内值为0,表示负样本,灰色区域是忽略区域不回传梯度。分支采用Focal Loss,整个classification loss是非忽略区域的focal loss之和,然后除以有效区域内像素个数之和来正则化一下。

box regression output是一个WxHx4大小的feature map,那么在坐标为(i,j)的点上是一个长度为4的向量,分别表示4个偏移量。假设一个instance,其在feature level为 对应的有效区域,这个instance会影响内的每个值。假设坐标为(i,j),长度为4的向量 表示这个instance的上、左、下、右4边界和(i,j)的距离,然作为最后输出结果。分支采用IoU Loss,整个regression loss是一张图片中每个有效区域的IoI Loss的均值。

在inference阶段,对classification output和regression output的输出进行decode,过程也很简单。假设像素坐标为(i,j),对应的偏移量为 ,decode过程为:最后乘以stride  就得到了在image上的位置坐标。confidence score由(i,j)位置K向量最大值决定。

值得注意的是,FSAF模块没有了anchor scale、aspect ratio等概念,是一个anchor-free的检测方法(和CornerNet不同)。

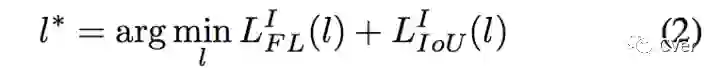
Online Feature Selection

FSAF的设计就是为了达到自动选择最佳Feature的目的,最佳Feature是由各个feature level共同决定。

选择过程如下:

  • 每个feature level计算classification loss和box regression loss

  • 在所有feature level中选择loss最小的作为梯度反传。

为了验证自动特征选择的有效性,文章同时对比了heuristic feature selection,该方法就是经典FPN中所采用人工定义方法:

关于training和inference,

在inference中,FSAF可以单独作为一个分支输出预测结果,也可以和原来的anchor-based分支同时输出预测结果。两者都存在时,两个分支的输出结果merge然后NMS得到最后预测结果。

在training中,采用multi-task loss,即 。

【Experiments】

作者在ablation study部分分析了anchor-free的必要性,online feature selection的重要性,以及选择的feature level是不是最优的。同时还指出FSAF非常robust和efficient,在多种backbone条件下,都有稳定的涨点。在ResNext-101中,FSAF超过anchor-based1.2个点,同时快了68ms,在AB+FSAF情况下,超过RetinaNet1.8个点,只慢了6ms,效果也是非常显著的。

作者还多了SOTA模型,在ResNext-101+multi-scale下AP达到了44.6,也取得了SOAT效果。

【总结】

文章从feature selection角度设计了新的FSAF module来提升性能,个人认为其实从loss角度来看,提升了梯度反传的效率,有点类似于SNIP,只更新特定scale内物体对应的梯度,但又和SNIP不一样,效率比SNIP高。

但想补充一点,关于有效区域和忽略区域的比例是不是应该再分析一下,感觉对实验结果是有影响的。

---End--

推荐阅读:值得学习的那些大佬


目标检测交流群


扫码添加CVer助手,可申请加入CVer-目标检测交流群,备注:目标检测+地点+学校/公司

▲长按加群


这么硬的论文速递,麻烦给我一个好看


▲长按关注我们

麻烦给我一个好看

登录查看更多
0

相关内容

【CMU】基于图神经网络的联合检测与多目标跟踪
专知会员服务
59+阅读 · 2020年6月24日
3D目标检测进展综述
专知会员服务
193+阅读 · 2020年4月24日
专知会员服务
164+阅读 · 2020年4月21日
CVPR2020 | 商汤-港中文等提出PV-RCNN:3D目标检测新网络
专知会员服务
45+阅读 · 2020年4月17日
CVPR2019通用目标检测
极市平台
8+阅读 · 2019年8月6日
综述 | CVPR2019目标检测方法进展
计算机视觉life
15+阅读 · 2019年4月3日
CVPR2019 | FSAF:来自CMU的Single-Shot目标检测算法
极市平台
41+阅读 · 2019年3月8日
目标检测论文阅读:DetNet
极市平台
9+阅读 · 2019年1月28日
CVPR2018 目标检测算法总览(最新的目标检测论文)
极市平台
21+阅读 · 2018年12月21日
ECCV 2018 | CornerNet:目标检测算法新思路
极市平台
13+阅读 · 2018年8月11日
深度学习时代的目标检测算法
炼数成金订阅号
40+阅读 · 2018年3月19日
Object detection on aerial imagery using CenterNet
Arxiv
6+阅读 · 2019年8月22日
Arxiv
5+阅读 · 2019年4月8日
Arxiv
6+阅读 · 2018年7月9日
Arxiv
8+阅读 · 2018年5月17日
Arxiv
5+阅读 · 2018年4月17日
Arxiv
3+阅读 · 2018年3月5日
Arxiv
5+阅读 · 2016年12月29日
VIP会员
最新内容
最新“指挥控制”领域出版物合集(16份)
专知会员服务
7+阅读 · 4月12日
面向军事作战需求开发的人工智能(RAIMOND)
专知会员服务
15+阅读 · 4月12日
远程空中优势:新一代超视距导弹的兴起
专知会员服务
2+阅读 · 4月12日
大语言模型溯因推理的统一分类学与综述
专知会员服务
3+阅读 · 4月12日
相关资讯
CVPR2019通用目标检测
极市平台
8+阅读 · 2019年8月6日
综述 | CVPR2019目标检测方法进展
计算机视觉life
15+阅读 · 2019年4月3日
CVPR2019 | FSAF:来自CMU的Single-Shot目标检测算法
极市平台
41+阅读 · 2019年3月8日
目标检测论文阅读:DetNet
极市平台
9+阅读 · 2019年1月28日
CVPR2018 目标检测算法总览(最新的目标检测论文)
极市平台
21+阅读 · 2018年12月21日
ECCV 2018 | CornerNet:目标检测算法新思路
极市平台
13+阅读 · 2018年8月11日
深度学习时代的目标检测算法
炼数成金订阅号
40+阅读 · 2018年3月19日
相关论文
Object detection on aerial imagery using CenterNet
Arxiv
6+阅读 · 2019年8月22日
Arxiv
5+阅读 · 2019年4月8日
Arxiv
6+阅读 · 2018年7月9日
Arxiv
8+阅读 · 2018年5月17日
Arxiv
5+阅读 · 2018年4月17日
Arxiv
3+阅读 · 2018年3月5日
Arxiv
5+阅读 · 2016年12月29日
Top
微信扫码咨询专知VIP会员