x²-dy²=-1有多少整数解?近30年无人解开的数学难题有答案了

2022 年 8 月 20 日 量子位
Alex 羿阁 发自 凹非寺
量子位 | 公众号 QbitAI

数学界几十年来的一个谜题,终于被解开了。

这个猜想和初等数论中经典的佩尔(Pell)方程:x2-d*y2=1有关。

(这里d是整数,求x、y也都是整数的解。)

在此之前,经典佩尔方程的整数解情况已得到证明:

当d≤0或d为某大于0的完全平方数时,该方程有唯一解:x=±1,y=0;当d>0且不是完全平方数时,该方程有无数组正整数解。

不过数学家们的探究精神一般不会止步于此。

有人提出将等号右边的1变成-1,并将这个新的方程称为负佩尔方程 ( II型佩尔方程),结果整数解的情况立刻变得复杂了许多。

时间拨到1993年,当时数学家彼得·史蒂文哈根(Peter Stevenhargen)提出了一个公式,对负佩尔方程的整数解情况给出一个精确的答案。

而这个猜想提出后的30年,数学界一直无法证明它的正确性。

但现如今,来自康考迪亚大学的卡罗·帕加诺(Carlo Pagano)和密歇根大学的皮特·科伊曼斯(Peter Koymans),终于给出了猜想的“正解”。

帕加诺的导师Hendrik Lenstra教授甚至对此评价说:

这个成果为数论的一个分支开辟了新篇章。

数论中的经典:佩尔方程

在介绍负佩尔方程之前,让我们先来了解一下经典的佩尔方程从何而来。

佩尔方程,其实与佩尔完全无关。

这一理论最早由费马(Pierre de Fermat)进行深入研究,由拉格朗日(Joseph-Louis Lagrange)给出解决方案,但后来因为被欧拉(Leonhard Euler)误记为佩尔提出,就阴差阳错的流传下来。

它的具体形式为:x2-d*y2=1

当d是正整数且不是完全平方数,则存在无穷多个解。

举个例子,数学史上有个经典的“阿基米德群牛问题”:

太阳神养了一群牛,这些牛有公有母,分白色、黑色、黄色和花色四种颜色,给定一系列条件,求解牛的总数有多少?各种颜色的牛分别是多少?

这个问题起一直以来吸引了很多数学家的兴趣,最后经过一系列计算,被演化为求解一个佩尔方程:

x2-4729494*y2=1

2000年,伦斯查(Lenstra)完全解决了这个问题,他得出了阿基米德群牛问题的所有解:

不仅解的数量多,牛的最小数量也让人惊呼:或许只有真·太阳神才能管理了。

不同于佩尔方程,负佩尔方程的整数解情况要复杂得多。

负佩尔方程

前文提到,负佩尔方程可表示为:x2-d*y2=-1;d为整数。

显然,当d≤0,以及d为大于1的完全平方数时,方程无整数解。

此外,负佩尔方程的整数解复杂性还体现在:

负佩尔方程中的很多d值都无整数解。据已知规则得出,d不能是3、7、11、15的倍数等。

但除了这些值外,并不是其他的d值就一定有整数解。
例如当d=3时,x2–3*y2=-1,无论沿着数轴看多远,都永远找不到解。

但事实上,排除3、7、11、15的倍数后,并不是取其他的d值,负佩尔方程就一定有整数解。

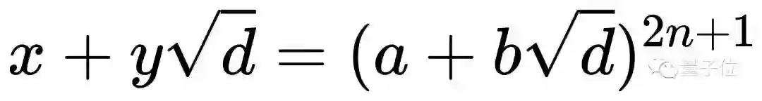
给定d值后,首先需要求出负佩尔方程的基本解。

对负佩尔方程的求通解可使用这个公式:

其中,这里的n为任意正整数;a和b则是负佩尔方程的基本解,并有如下等式:

x0和y0就是经典佩尔方程的基本解。

更多与之相关的细节研究可参考论文:

研究者简介

最后,来看看这两位证明这个30年前猜想的数学家们吧——

卡罗·帕加诺(Carlo Pagano),是加拿大康考迪亚大学的助理教授,主要研究方向是数论。

此前分别获得了格拉斯哥大学和马克斯·普朗克研究所的数学博士后学位,博士毕业于莱顿大学数学专业,导师是Hendrik Lenstra。

皮特·科伊曼斯(Peter Koymans),目前正在密歇根大学攻读博士后,主要研究方向是数论及其周边领域。

此前在马克斯·普朗克数学研究所从事博士后研究,博士毕业于莱顿大学数学专业,导师是Jan-Hendrik Evertse和Peter Stevenhagen。

可以看出,两人的学习轨迹有很多重合的部分,不仅如此,他们在研究生时期也是同学。

为了这项研究,两人整整一年天天见面,每天在黑板上进行各种演算,互相完善对方提出来的想法,就连午餐时间都不放过,如果有人在独处时有了新想法,就会随时发短信通知另一个人。

尽管非常有挑战性,科伊曼斯却在回忆起这段时间时说:“我们一起做这件事很有趣。”

参考链接:
[1]https://www.quantamagazine.org/ancient-equations-offer-new-look-at-number-groups-20220810/
[2]http://www.math.toronto.edu/~eknight/Pell.pdf
[3]https://zhuanlan.zhihu.com/p/365860557
[4]https://www.sites.google.com/view/carlopagano
[5]http://www-personal.umich.edu/~koymans/
[6]https://arxiv.org/abs/2201.13424

「人工智能」、「智能汽车」微信社群邀你加入!

欢迎关注人工智能、智能汽车的小伙伴们加入我们,与AI从业者交流、切磋,不错过最新行业发展&技术进展。

ps.加好友请务必备注您的姓名-公司-职位哦~


点这里👇关注我,记得标星哦~

一键三连「分享」、「点赞」和「在看」

科技前沿进展日日相见~


登录查看更多
0

相关内容

数学是关于数量、结构、变化等主题的探索。
谷歌教你学 AI -机器学习的7步骤
专知会员服务
28+阅读 · 2022年3月13日
Nature论文: DeepMind用AI引导直觉解决数学猜想难题
专知会员服务
31+阅读 · 2021年12月2日
专知会员服务
129+阅读 · 2021年6月23日
【经典书】线性代数,286页pdf
专知会员服务
132+阅读 · 2021年2月28日
最新《非凸优化理论》进展书册,79页pdf
专知会员服务
112+阅读 · 2020年12月18日
专知会员服务
52+阅读 · 2020年12月10日
专知会员服务
25+阅读 · 2020年9月14日
国家自然科学基金
0+阅读 · 2015年12月31日
国家自然科学基金
0+阅读 · 2015年12月31日
国家自然科学基金
0+阅读 · 2014年12月31日
国家自然科学基金
0+阅读 · 2013年12月31日
国家自然科学基金
2+阅读 · 2012年12月31日
国家自然科学基金
0+阅读 · 2012年12月31日
国家自然科学基金
0+阅读 · 2011年12月31日
国家自然科学基金
0+阅读 · 2011年12月31日
国家自然科学基金
0+阅读 · 2011年12月31日
国家自然科学基金
1+阅读 · 2009年12月31日
Arxiv
0+阅读 · 2022年11月25日
Arxiv
0+阅读 · 2022年11月25日
Arxiv
0+阅读 · 2022年11月24日
VIP会员
最新内容
超越网格:作战环境对炮兵的影响
专知会员服务
1+阅读 · 今天15:35
KDD 2026 | MixRAGRec:面向LLM推荐的混合专家KG-RAG框架
BES:让语言模型通过双向进化搜索自我改进
专知会员服务
4+阅读 · 5月30日
以色列-美国-伊朗战争中的无人机:关键要点
专知会员服务
4+阅读 · 5月30日
《Palantir任务保障性软件安全标准(MA-S2)》
专知会员服务
14+阅读 · 5月30日
基于声学的无人机检测技术综述
专知会员服务
8+阅读 · 5月30日
《当代混合战争分析框架:俄乌战争经验教训》
相关VIP内容
谷歌教你学 AI -机器学习的7步骤
专知会员服务
28+阅读 · 2022年3月13日
Nature论文: DeepMind用AI引导直觉解决数学猜想难题
专知会员服务
31+阅读 · 2021年12月2日
专知会员服务
129+阅读 · 2021年6月23日
【经典书】线性代数,286页pdf
专知会员服务
132+阅读 · 2021年2月28日
最新《非凸优化理论》进展书册,79页pdf
专知会员服务
112+阅读 · 2020年12月18日
专知会员服务
52+阅读 · 2020年12月10日
专知会员服务
25+阅读 · 2020年9月14日
相关基金
国家自然科学基金
0+阅读 · 2015年12月31日
国家自然科学基金
0+阅读 · 2015年12月31日
国家自然科学基金
0+阅读 · 2014年12月31日
国家自然科学基金
0+阅读 · 2013年12月31日
国家自然科学基金
2+阅读 · 2012年12月31日
国家自然科学基金
0+阅读 · 2012年12月31日
国家自然科学基金
0+阅读 · 2011年12月31日
国家自然科学基金
0+阅读 · 2011年12月31日
国家自然科学基金
0+阅读 · 2011年12月31日
国家自然科学基金
1+阅读 · 2009年12月31日
Top
微信扫码咨询专知VIP会员