【ESIM】论文阅读笔记:文本蕴含之ESIM

2020 年 3 月 27 日 深度学习自然语言处理

点击上方,选择星标置顶,每天给你送干货

阅读大概需要5分钟

跟随小博主,每天进步一丢丢


机器学习算法与自然语言处理出品

@公众号原创专栏作者 刘聪NLP

学校 | 中国药科大学 药学信息学硕士

知乎专栏 | 自然语言处理相关论文


最近一直在做自然语言推理和文本蕴含的相关工作,为了加深自己对论文的理解,在这里写下论文笔记。上一篇分享的文本蕴含论文bilateral multi-perspective matching (BiMPM)模型,这次分享的论文是Enhanced Sequential Inference Model(ESIM)。如果有错误的地方,请大家及时指正。

刘聪NLP:论文阅读笔记:文本蕴含之BiMPM zhuanlan.zhihu.com

一、背景介绍

文本蕴含或者自然语言推理任务,就是判断后一句话(假设句)能否从前一句话(前提句)中推断出来。ESIM论文首先证明了基于链式LSTM的顺序推理模型可以优于之前使用非常复杂的网络结构的模型,在此基础上,进一步表明了通过增加局部推理和推理组合,可以很好地改进顺序推理模型。在这篇论文中,不仅介绍了ESIM模型,还介绍了包含语法分析信息的树型LSTM网络。我主要介绍ESIM模型部分。

二、模型介绍

模型主要包括四层:输入编码层(Input Encoding Layer)、局部推理层(Local Inference Layer)、推理组合层(Inference Composition Layer)和预测层(Prediction Layer),如图1所示,其中左边部分为ESIM模型,右边部分为树型LSTM网络。

图1 模型框架图

下面将对各层进行介绍:

1、输入编码层(Input Encoding Layer)

在这一层中,本模型首先对前提句和假设句中的每个词映射成一个向量,然后用一个双向LSTM分别编码前提句和假设句的词向量。在这里,BiLSTM使句子中的学每个单词具有其上下文含义。

其中,  和  分别表示前提句和假设句,  和  分别表示编码后的前提句和假设句,而这里的两个BiLSTM是权值共享的(权值共享的目的,见上一篇分享,这里不过多描述了)。

2、局部推理层(Local Inference Layer)

在这一层中,本模型首先使用点积的方式,求解前提句和假设句的相似度矩阵,即

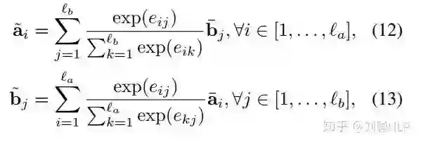
其中, 和  分别表示编码后的前提句和假设句;然后求解前提句和假设句的局部推理,利用相似度矩阵  ,结合 和 ,计算出两个句子之间的相互表示,即

其中, 和  分别表示编码后的前提句和假设句,  和  分别是前提句和假设句的句长, 是相似度矩阵,  是对进行加权求和的结果,也就是说表示中每个词与的相关程度;最后,对局部推理进行增强,即

其中,  和  分别表示前提句和假设句增强后的局部信息表示。

3、推理组合层(Inference Composition Layer)

在这一层中,本模型首先使用BiLSTM对局部信息  和 进行编码,以便得到其局部信息的上下文表示向量,得到  和 。模型作者认为如果对得到的上下文表示向量求和可能对序列长度敏感,鲁棒性较差,因此采用了计算上下文表示向量平均池化和最大池化的方法,并将所有池化后向量连接起来,形成最终的固定长度向量  ,即



4、预测层(Prediction Layer)

在这一层中,本模型将上述得到的固定长度向量 ,连接两层全连接层,第一层采用tanh激活函数,第二层采用softmax激活函数,最后得到文本蕴含的结果。

三、模型参数

该论文中,word embedding为300维,所有的双向LSTM的隐层节点数为300,dropout rate为0.5,学习率为0.0004,采用adam优化器,第一动量设为0.9,第二动量设为0.999,batch size大小为32。在模型训练过程中,训练词向量。

四、总结

以上就是我对该篇论文的理解,如果有不对的地方,请大家见谅并多多指教。以后会继续做文本蕴含方面的分享,下一篇应该是孪生网络、DIIN或CAFE中的一篇。

ESIM原文链接 arxiv.org


交流学习,进群备注: 昵称-学校(公司)-方向,进入DL&NLP交流群。
方向有很多: 机器学习、深度学习,python,情感分析、意见挖掘、句法分析、机器翻译、人机对话、知识图谱、语音识别等
登录查看更多
2

相关内容

刘聪,科大讯飞 AI 研究院常务副院长。长期从事语音识别和人工智能等相关领域的研究。2010 年起任科大讯飞研究院研究主管,在 2010 年 10 月科大讯飞推出“讯飞语音云”前后,全面负责讯飞语音云中语音识别核心效果的优化,并持续将深度神经网络等国际最新研究引入讯飞语音云系统中。2014 年底开始,全面负责科大讯飞图文识别、医学影像、视频分析等方向的研究,带领团队在多项计算机视觉国际评测中获得佳绩。相关研究成果在多个讯飞产品中成功应用,包括讯飞庭审语音转写系统,讯飞电子质证系统等。获得2014年北京市科学技术奖一等奖和2018年安徽省科技进步奖一等奖。获得 2018 年度 MIT TR35 China“先锋者”和中国计算机学会(CCF)杰出工程师称号。
【斯坦福大学-论文】实体上下文关系路径的知识图谱补全
Transformer文本分类代码
专知会员服务
118+阅读 · 2020年2月3日
【论文笔记】基于强化学习的人机对话
专知
20+阅读 · 2019年9月21日
【论文笔记】基于强化学习的句子摘要排序
【论文笔记】基于LSTM的问答对排序
专知
12+阅读 · 2019年9月7日
论文浅尝 | 基于RNN与相似矩阵CNN的知识库问答
开放知识图谱
8+阅读 · 2018年5月29日
CVPR 2018 笔记
计算机视觉战队
3+阅读 · 2018年5月25日
论文浅尝 | 基于多原型mention向量的文本-实体联合学习
基于attention的seq2seq机器翻译实践详解
黑龙江大学自然语言处理实验室
11+阅读 · 2018年3月14日
论文浅尝 | Improved Neural Relation Detection for KBQA
开放知识图谱
13+阅读 · 2018年1月21日
Arxiv
8+阅读 · 2018年5月1日
Arxiv
6+阅读 · 2018年4月3日
Arxiv
4+阅读 · 2017年7月25日
Arxiv
5+阅读 · 2017年7月23日
VIP会员
最新内容
人工智能在战场行动中的演进及伊朗案例
专知会员服务
3+阅读 · 4月18日
美AI公司Anthropic推出网络安全模型“Mythos”
专知会员服务
2+阅读 · 4月18日
【博士论文】面向城市环境的可解释计算机视觉
大语言模型的自改进机制:技术综述与未来展望
《第四代军事特种作战部队选拔与评估》
专知会员服务
1+阅读 · 4月18日
相关资讯
【论文笔记】基于强化学习的人机对话
专知
20+阅读 · 2019年9月21日
【论文笔记】基于强化学习的句子摘要排序
【论文笔记】基于LSTM的问答对排序
专知
12+阅读 · 2019年9月7日
论文浅尝 | 基于RNN与相似矩阵CNN的知识库问答
开放知识图谱
8+阅读 · 2018年5月29日
CVPR 2018 笔记
计算机视觉战队
3+阅读 · 2018年5月25日
论文浅尝 | 基于多原型mention向量的文本-实体联合学习
基于attention的seq2seq机器翻译实践详解
黑龙江大学自然语言处理实验室
11+阅读 · 2018年3月14日
论文浅尝 | Improved Neural Relation Detection for KBQA
开放知识图谱
13+阅读 · 2018年1月21日
Top
微信扫码咨询专知VIP会员