大牛讲堂 | 算法工程师入门第二期-穆黎森讲增强学习

2017 年 7 月 13 日 HorizonRobotics

🤖小广告:去CVPR 2017的小伙伴,点我有惊喜!

编者按:地平线大牛讲堂算法工程师入门第二讲如期而至,本期地平线资深算法工程师、增强学习专家穆黎森将为大家带来增强学习简介,全文约12000字,建议阅读时间30分钟,欢迎点击文章右上角转发或收藏。

今天我很荣幸有机会在这里,跟大家分享增强学习(ReinforcementLearning,RL)这个话题。

这次分享,我希望能达到三方面的目的:

  • 第一,希望没有相关背景的同学能够对RL有一定的了解,所以我会介绍一些基础的概念。

  • 第二,希望对有机器学习算法背景的同学,如果对增强学习感兴趣的话,能了解到RL近期的一些进展。

  • 第三,对我而言也是对于相关知识的整理。

这次分享就主要是以下三个环节:

  • 关于增强学习的一些基本概念;

  • Deep Q Learning。DQN这个工作成功地把深度学习应用在了RL领域,所以会单独介绍一下;

  • 在DeepQ Learning之后,近期的一些进展。

基础概念

首先,什么是增强学习,它和监督学习有什么不同?他们都有学习这个词,那什么是机器学习呢?

机器学习

根据TomM. Mitchell的表述:一个为了完成某个任务(Task)的计算机程序,如果随着某种形式的经验(Experience)的增加,它在某个表现度量(Performance Measure)的衡量下,表现越来越好,我们就可以说,这是一个机器学习的程序。所以这里,机器学习的三个特征元素:T:Task, E: Experience, P: Performance measure。

先举一个反例:假设现在需要完成的任务是,根据下班的时刻,预测回家花在路上的时间。我们知道,高峰期会堵车,回家时间会长一些;如果加班到晚上,路上会更通畅一些。这时候,我写了一个程序来完成这个任务:f(t)=1.0 – 0.5 * (t-18) / 6

t 为时刻,取值[18,24];返回值表示小时数。很明显,只要输入确定,这个程序(算法)的输出就确定了;所以,是不具有学习的能力的。究其原因,是算法中没有任何可以改变的部分。所以,我可以写另外一个程序:f(t)=a – b * (t-18) / 6

其中,a,b是两个变量,如果我们的算法能让f(t)在执行了多次预测后,不断调整a,b的值,使之结果结果越来越接近真实的值,那么,这个算法是具有学习的能力的。所以,通常机器学习的算法程序,其中需要有一部分是可以随着Experience而自动调整的。这些可以改变的部分,通常属于算法模型(Model)的一部分。

这里引入模型(Model)的概念。对于比较复杂的任务,完美完成这个任务的真实的函数我们通常不知道,既不知道他的参数,甚至也不知道他的结构。那我们就对这个函数的结构做一个假设,叫做模型(Model),比如说我们假设它是一个用神经网络(neural network)可以去解决的问题,然后用这个模型来逼近我们想要的真实函数。这个Model里通常会有很多的参数,也就是可以改变的自由度。这些自由度就组成了一个空间,我们需要做的就是在这个空间里面去寻找,到底哪一个参数组合能让这个Model最接近我们想要的真实函数。在很多机器学习的算法中,学习的过程,就是寻找模型的最优参数的过程。

监督学习

我们来看第一个任务的例子,图像分类(ImageClassification)。

我们知道,如果有标注好的数据集,就可以用监督学习的方法来完成这个任务。那么在这里,机器学习的三个元素:

  • T: Task 是把每张图片标注一个合适的label;

  • E: Experience是很多已经标注好的图像的数据集;

  • P: Performance Measure 就是标注的准确度,比如Precision、Recall这些CV领域的衡量标准。

监督学习怎么解决这个问题呢?首先,建立一个模型(Model),model的输入是图像,输出是图像的分类标签。然后,对于标注好的图像,用另外一个函数去衡量model的输出与正确的输出之前的差距,这个函数通常被叫做损失函数(loss function)。于是,改进model的表现的问题,就转化成了一个优化问题:通过改变model的参数,让loss function值越来越接近极小值。优化问题(optimization)又是一个比较大的话题,就可以用各种各样的数值方法去求解。从优化问题的角度来讲,监督学习的特点就是loss function由model输出和正确输出之间的差别直接构造而来。

增强

来看第二个任的例子,玩游

这个任务的目标是得到尽量高的分数。在这个任务里,通常不再有“标注好的数据”以供使用:在第一个局面下,应该往左;在第四个局面下,应该往右,等等。这种情况下,我们可以用增强学习的方法来完成这个任务。机器学习的三个元素:

·     T: Task是游戏结束时,得到尽量高的分数;

·     E: Experience 是不断的尝试玩这个游戏;

·     P: Performance measure 就是最后获取的分数。

可以看到上述两个例子之的区别。相似的问题还有很多:

例如下围棋,或者很多棋牌类游戏到最后一刻决定输赢的时候,我才知道我是赢(得分+1),还是输(-1),但是中间也许并不是每时每刻都有一个直接的信号告诉我应该下在哪里;

例如驾驶,成功到达了目标,中间有没有发生事故或者违反交通规则,就算成功完成了这个任务(+1),中间也许并不是每时每刻都有一个专家来指导当前应该怎么前进;

例如机器人控制,机械臂成功抓取到物体就算完成(+1),但是事先并不知道每个时间点,每种情况下,机械臂的每一个电机应该输入的电压是多少。

根据刚才的例子,我们提炼出增强学习的一般过程中,所涉及到的模块:

Agent,包括了我们需要学习的model,他是通过输入的状态(State)输出一个行为(Action),通过这个action和环境(Environment)去交互,收集到奖励(Reward);学习的目标是需要去最大化累积的回馈。可以看到,在一般性的定义下:

  • T: Task就是为了执行某个任务,在某个特定环境下得到一个最优或者说比较优的策略。

  • E: Experience就是我不断地去和环境交互,所得到的交互结果,单次的交互我们把它叫做Transition,连续的交互序列也叫做Trajectory。一条完整的trajectory是从初始状态出发,到结束状态(如果有的话)为止。无结束状态的任务,trajectory可以无限延续;有结束状态的任务也被称为Episodic task。

  • P: Performance Measure:在RL里,通常使用的Performance Measure叫做Discounted Future Reward。

Discounted Future Reward

Discounted Future Reward 定义如下:

也就是最后一行。我们希望Agent能给出一个策略(Policy):在某个state下,输出action,使得收到的Discounted Future Reward 最大化。

通常γ会选取一个小于1大于0的值。如果取0的话,相当于策略只用考虑当前一步能收集到的奖励而不顾及长期回报;如果取1的话,则不好处理持续(无限长)的决策序列问题。

Policy, Value, Transition Model

增强学习中,比较重要的几个概念:

  • Policy 就是我们的算法追求的目标,可以看做一个函数,在输入state的时候,能够返回此时应该执行的action或者action的概率分布。

  • Value,价值函数,表示在输入state,action的时候,能够返回在 state下,执行这个action能得到的Discounted future reward的(期望)值。

  • Transition model是说环境本身的结构与特性:当在state执行action的时候,系统会进入的下一个state,也包括可能收到的reward。

所以很显然,以上三者互相关联。如果能得到一个好的Policy function的话,那算法的目的已经达到了。如果能得到一个好的Value function的话,那么就可以在这个state下,选取value值高的那个action,自然也是一个较好的策略。如果能得到一个好的transition model的话,一方面,有可能可以通过这个transition model直接推演出最佳的策略;另一方面,也可以用来指导policy function或者valuefunction 的学习过程。

所以,增强学习的方法,大体可以分为三类:

  • Value-based RL,值方法。显式地构造一个model 来表示值函数Q,找到最优策略对应的Q 函数,自然就找到了最优策略。

  • Policy-based RL,策略方法。显式地构造一个model来表示策略函数,然后去寻找能最大化discounted future reward

  • Model-based RL,基于环境模型的方法。先得到关于environment transition的model,然后再根据这个model去寻求最佳的策略。

以上三种方法并不是一个严格的划分,很多RL算法同时具有一种以上的特性。

Bellman Equation

根据以上R(Discounted Future Reward),Q的定义,我们可以得到Bellman Equation:Bellman Equation 是RL中非常基础的一个公式。因为对于Value Based method 来说,Bellman Equation 给出了一个迭代改进Q函数的方法:而对于Policy Based Method 来说, 通常需要通过采样的方式对Q值进行估计;在各种各样的估计方法中,Bellman Equation也扮演了重要的角色。

Value Based Method

出一个方法的算法的例子:Q learning

Policy Based Method

这里给出策略方法的一个例子:Policy gradient

所谓策略梯度,是指当策略函数可微的时候,通过找到一个合适的loss function來使得策略函数的模型可以用基于梯度的优化方法来迭代改进。关于loss function的构造有很多种形式,上面的例子是比较基础的形式,这里就不展开了,不过其基本的效果是,让策略函数倾向于输出“更好的”action:对于随机策略来说,即意味着增大能获得更大的期望Q值的action 的概率。

Deep Q Learning

回顾一下之前举的Q learning的例子。最早的Q-learning使用一个表格来表示Q函数:对于每一个state, action对,保存一个对应的Q值。Q learning的过程就是迭代修改这个表格的过程。可以发现,当state数量非常多,或者不再可枚举、维度非常高的情况下,表格就不适用了;需要用更经济的model来模拟这个表格。

深度神经网络(Deep Neural Network),在计算机视觉领域已经被证明是一个非常强大的函数拟合工具,可以用来表达非常复杂的视觉处理函数,来处理高维的图像输入。基于DNN的方法已经成为计算机视觉中很多问题的最好的解决方法。所以,是否能将更强的工具DNN,引入RL领域,来解决更困难的问题呢?

Deep Q learning 这个工作就是将DNN/CNN引入RL来作为Q函数的model。DNN的loss function 定义如下:这个loss function也是由Bellman equation得出,其中也被称为Temporal Difference,TD。可以看出,这也是一个迭代的过程:通过当前的Q函数的输出和环境中收集到的奖励r,来得到新的修正后的Q值。

新的挑战


但是,神经网络的引入,也引发了新的问题。

  • 第一个问题是神经网络的计算代价较大,所以对函数的形式从上图左边所示调整为右边,一次计算就能得出这个state下所有action的Q值。

  • 第二个问题是,在RL中,agent和environment交互所得到的transition序列的数据不是独立同分布的;而对于神经网络的训练来说,训练数据采样的独立同分布是非常有必要的。所以,这里引入了一个replay memory的机制,将transition保存到一定大小的replay memory中,然后从中重新采样。这样,样本之间的相关性就小很多了。

  • 第三个问题是,由于新的Q值是由原来的Q值计算而来,更新后的神经网络又用来计算新一轮的Q值,对于神经网络来说,相当于不断拟合一个移动的目标值,可能会产生一种正反馈效应,让训练的过程变得发散。解决这个问题的手段是,增加一个目标网络target用来计算新的Q值,让这个目标网络隔一段时间更新成当前的网络参数,所以,target网络在两次更新之间保持不变,网络拟合目标的移动问题也得到了缓解。

在DQN这个工作中,使用了卷积神经网络(CNN)来处理图像的输入,最后输出游戏的动作指令;成功地实现了仅根据观察游戏的屏幕输出和奖励来学会玩游戏的过程。

这里,相邻的4帧被合并到一起,作为一个state,这样,神经网络有机会从多帧抽取信息,比如屏幕上物体的运动速度。

可以看到,在不少游戏上,DQN都达到了人类的操作水平。

Beyond Deep Q Learning

DQN将一个强大的工具Deep neural network 引入RL,解决了这中间遇到的很多新问题,收到了很好的效果。自从这篇工作以后,一方面,大家希望更强的工具能解决更难的问题,比如上面DQN还玩的不是很好的游戏,或者游戏之外的问题;另一方面,大家也希望已经能够解决的问题能做得更好,更快。近两年,学术界和工业界做了很多工作,不断将RL的效果和性能推到新的高度。不论是学术界还是企业界,都认为RL的潜力是很大的。但是在什么时候,能够以一个合理的代价解决一个现实的应用场景,这个问题目前还处在探索之中。

在这个探索的过程中,最重要的一步,是如何发现现有算法方案的缺陷和短板;其次是以什么样的思路去解决它;然后是算法的实现与工程细节。这一节中,重点是前两个方面,特别是第一个:DQN之后,大家都是从什么样的视角,去不断改进RL算法的效果的?

连续动作问题


下面是DQN的一个示意图。

可以看出,这种形式的网络结构以及loss function的定义,只能处理离散action,即策略需要从N个action中挑选一个的情况。

在实际的应用场景中,很多时候,action是多维连续的值,比如机器人控制中各个电机的控制量。在连续action维度非常低的时候,我们可以把连续的值离散化成为几个区间,然后按照离散action处理;但在action维度较高的情形,这种方法就不适用了。这个时候,显式的值函数就只能将state,action作为输入,而无法同时输出所有action对应的Q值。

所以,我们需要显式的策略函数:α=π(s)  or π(α|s)

接下来要介绍的两个方法中,既使用了显式的值函数,又使用了显式的策略函数,它们可以被归类为actor critic 方法:

随着训练的进行,value function 和 policy 都会得到更新:value function 一般会根据temporal difference迭代更准确的Q值(或者V值,称为状态价值state value;相对的,Q为动作价值action value);policy function会根据value function 以及从环境中收集到的trajectory,迭代更新更好的策略。

DeterministicPolicy

第一种思路,策略函数形式为:α=π(s)

也就是确定性的策略。这个方法称为Deterministic Policy Gradient(DPG) 其策略函数输出一个确定的action,这个action可以是高维连续的。其网络结构示意为:

Q网络,即值函数部分,训练的更新依然通过通过TD loss 来更新; 网络,即策略函数部分,其更新的梯度方向为使得输出的action对应的Q值变大,也就是说,loss function为 -Q。具体证明过程在此不展开了。

StochasticPolicy

第二种思路,策略函数形式为: π(α|s)

也就是随机性策略。对于随机性策略,Policy function应该输出action的概率分布。对于连续的action来说,Policy function可以输出action的概率密度函数。所以,假设action的分布符合多维正态分布:

那么,策略网络可以输出正态分布的均值和方差来代表这个分布。于是,关于策略梯度的更新方法就都可以应用在这个策略函数上:只要能构造一个loss function,使得“更好”的action对应的概率密度变高,“更差”的action对应的概率密度变低就可以了。

Action的概率分布符合正态分布这个假设,可以说是一个很强的假设。但是在实际使用当中,这个假设下,在不少问题中是可以得到还不错的策略的。

这个方法在Asynchronous Advantage ActorCritic(A3C)这个工作中有提及,关于A3C,后面还会有介绍。

更好的模型结构


既然使用了model来近似表示希望获得的策略/价值函数,那么我们总是可以问的一个问题是:有没有更好的模型来解决我的问题?在这之前,得首先回答一个问题:什么叫更好的模型?

关于模型(model),有三个互相关联的特性:

  • Non-Linearity,非线性。通常我们希望拟合的真实函数,其输入到输出的对应关系是非常复杂的,或者说,具有非常大的非线性。所以模型的非线性是否足够,决定了最终拟合的结果误差可以有多小。

  • Capacity,容量。即模型的自由度。自由度越高的模型,能拟合的函数的集合就越大,但同时因为搜索空间的变大,训练的代价就越大;自由度越低的模型,能拟合的函数的集合就越小,相应的,训练的代价也会变小。

  • Computation Cost,计算代价。计算越复杂的模型,其使用以及训练所消耗的计算资源也越多。

通常情况下,以上三个特性是成正比的。例如,如果对某个神经网络增加其层数,那么其非线性会增加,可以表示更复杂形状的函数;其次参数量会增加;最后,其计算代价也会上升。

但是,如果有可能,我们总是希望模型能够更准确的表示真实函数的同时,尽量不要增大搜索的空间,以及计算复杂度。翻译一下,就是在增加non-linearity的同时,可以相对减小capacity和computation cost。如果能面向要处理的问题的特点,有针对性的设计模型结构,是有可能做到这一点的。这就是所谓“更好的模型”。

那么,在RL中,要解决的问题有什么特点呢?以下,举几个这方面的例子。

LSTM的应用

我们知道,RNN或者说LSTM,是具有一定的记忆能力的,适合于处理序列的输入情况。例如语音识别、机器翻译等领域,LSTM被用来处理语音、句子等序列输入;或者在计算机视觉(CV)中,用来实现attention 机制,即网络需要的输出只和输入图像的一部分关系密切的情形。而以上两点,在RL中,都存在相似的情形:

  • 例如,在游戏任务中,通常对策略决策比较重要的信息都来自于屏幕上很集中的部分区域。

  • 例如,RL agent和环境交互的过程本身就是个序列过程,而很多时候,agent只能接收到环境的部分信息;agent的当前决策需要依赖于若干步之前收到的信息。这种情况被称为Partially Observable problem,形式化的描述是可以用LSTM将partially observable markov decision process 转化为fully observable markov decision process,在此不做展开。

其中,上面第二点可以说是很多RL问题的共性,因此应用也更加广泛。

Dueling Network

LSTM可以说是其他领域成功应用的模型结构,应用在RL中应对类似问题的例子。那么,在RL中特别是value based method中,神经网络是用来拟合值函数Q的。值函数Q有没有什么特有的结构可以被用来设计模型呢?

设想一下:在学习骑自行车这个任务中,假设agent所处的状态是轮胎与地面成30°角。可以想象,无论这个时候agent采取什么action,多半都会收到一个很糟糕的reward:摔倒在地面上。这里,一个直觉的推断是:在很多问题下,Q值的一大部分由输入的state决定;在此基础上,不同的action会造成小部分的差别;另外一方面,对于策略来说,Q之中仅由state决定的这部分没有什么作用,更重要的是不同action之间的差别。

这就是Dueling Network的思路:把Q网络的结构显式地约束成两部分之和。

这样,V的部分只依赖于state,训练起来更容易;不同action之间的差别只体现在A部分,这部分通常被叫做action advantage。这部分的收敛也可以与V独立开来,使得action之间的相对差别可以独立学习。关于Q值函数形状的约束假设,还有更激进的工作如NAF(Normalized Advantage Functions),在此不做展开了。

Value Iteration Network

Dueling Network可以说是利用Q值函数的形状特性。那么Q值迭代的计算过程,是否有特性可以利用呢?

Value Iteration Network这个工作的思路正是如此,其利用了Q值迭代过程和convolution/max pooling 过程形式上的一致性:二维平面状态空间下,假设每个状态只能转移到和其相邻的状态中,那么根据bellman equation对平面内所有状态做一次值迭代的过程,就可以表示成在这个二维图上的一次卷积操作。这样,通过若干轮卷积,网络可以提取出若干步后的所有状态的Q值,这种look ahead 的行为正是规划(planning)所需要的。

所以,VIN可以用来实现带规划功能的策略函数。算法的其余细节不再展开。

更快的收敛速度


我们先比较一下增强学习(DQN)和监督学习的loss function:

可以看出,两者的loss function 形式上有一定的相似性,都是让模型的输出趋近于一个目标值(图片中红色的部分)。对比可以看出,DQN的训练过程有如下几个特点。

第一,基础事实(ground truth)非常稀疏。原因来自于两方面:

  • 首先,对于不同的任务来说,环境给出的r的密度不一样,有些任务的r可能会很稀疏,甚至于只有在任务最后成功/失败的时候才会有非零的r,其余时候r都是0。

  • 其次,监督学习的loss function中,目标值完全来自于外界输入的正确信息,也就是ground truth。而DQN的loss function中,目标值只有r的部分来自ground truth,另外一部分来自于前一版本的网络的输出Q值,这只是一个真实值的近似。

第二,对目标Q值的估计存在偏差。这个偏差正是来自于上面所说的前一版本网络输出的Q值上:网络训练的过程中,其输出和真实值可能差距较大;其次,在不准确的Q值基础上应用操作,会导致估计的Q值系统性地偏大。

第三,DQN这个loss也被称为1 step TD loss,也就是说,在s'处估计的目标值沿着trajectory倒推一步至s处,用来更新s处的Q值。这样,transition<s,a,r,s'>中所蕴含的ground truth需要很多轮迭代才能传播到离s和s'更远的地方去,得到比较精确的Q值。

以下几个工作,就是针对上面说到的DQN的收敛性问题所做的改进。

Prioritized Experience Replay

在某些任务中,既然对训练有价值的reward比较的稀疏,那是否可以着重利用这些采集到的reward呢?Prioritized Experience Replay就是基于这个思路,从replay中采样的时候,提高训练的时候loss高的transition被采样到的概率,从而更有效率的学习

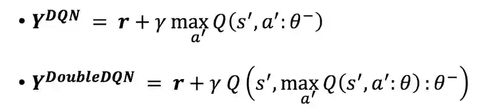
Double DQN

这个工作对目标Q值的计算做了如下的修正:

使得对目标Q值的估计偏高的问题得到了改善:

Optimality Tightening

前面提到DQN的一个问题是1 step td loss在state空间中传播ground truth太慢的问题。事实上,DQN属于值方法,而很多策略方法是可以利用N step TD的。

为什么DQN不能用呢?因为N step TD是从序列:[r[t], r[t+1], ..., r[t+i]] 计算而来,而从replaybuffer中提取出来的trajectory序列,可能是根据比较早版本的Q网络生成的,这就无法真实的反映出最新的target Q网络的表现情况。

单步td只关心r,而不用关心r的序列:[r[t], r[t+1], ..., r[t+i]] ,所以不用担心生成这个序列的策略和当前策略不一样的问题。更详细的分析可以去了解一下on-policy和off-policy的相关概念。

Optimality Tightening 这个工作的思路是,虽然不能直接用N step TD来计算当前的目标Q值,但是用来给当前Q目标值加一个上下界的约束:

这样,相当于在DQN里面,应用上了N step TD的信息,让ground truth 沿着trajectory的轨迹传播得更快。

更好的搜索策略


探索是RL的重要话题。想象人类学习玩游戏的过程,在游戏的开始,玩家会尝试一些操作;并逐渐掌握一些基本的策略,完成简单的挑战;然后根据这些策略,达到离初始状态较远的状态,然后不断探索尝试面临的新的挑战。在RL中也是如此,一方面,策略需要保持一定的探索以发现新的策略;另一方面,策略需要利用之前学到的知识,才能保证探索的时候更有效率。

在DQN中,ε-greedy方法是一种比较基础的探索策略,是在greedy策略(选取Q值最大的action)基础上,以一定比例加入随机选择的action而来。通过调整𝜀的大小,可以控制随机探索与应用现有策略之间的比例。

但是,在稍复杂一些的问题下,ε-greedy是一种比较低效的探索方法。因为很显然,在𝜀值也就是随机的比例一定的情况下,Agent到达某个状态s的几率,随着s离初始状态距离的增加是成指数级降低的。我们需要除了简单的随机策略以外,更加有效的探索方式。

Intrinsic Rewards

既然RL的训练过程会让agent的策略倾向于尽可能多地收集累积回报,那我们是不是可以自己构造回报函数,来指导agent的探索呢?这是一种比较通用的办法。即在agent收到的环境reward之上,加入自己设计的intrinsic reward,指导agent趋向于这个reward所指引的方向。至于如何构造这个intrinsic reward,不同的工作有不同的思路,这里仅举一个例子:

即构造一个专门的网络来预测环境的transition model;这个transition model跟着策略/值网络一起训练,只是以更慢的学习速度进行。那么这个transition model预测环境变化的准确度高的state,就认为agent已经很熟悉这个state了;反之,就认为这个agent对当前所处的环境不是很熟悉。所以,就是用transition model的training loss 来当做intrinsic reward。这个training loss的方法被形象地称为Curiosity Driven Exploration。

Deeper Exploration

前面提到,简单的随机策略会让agent很难到达离初始状态较远的状态,就像布朗运动很难远离原点一样。这样的探索是一种很“浅”的探索,那如何让探索更深呢?直观的想法是减少随机性,以避免在初始状态原地打转的情况;但随机性太小的话,又会导致agent采集到的transition趋同,不利于训练。如何来平衡这两点呢?

假设有一个团队来执行探索迷宫的任务。其中A喜欢贴着右边墙走;B喜欢贴着左边墙走。那每次探索,团队都派不同的人出去执行任务,是不是就可以实现每个人都深入到迷宫的不同部分了呢?

BootstrappedDQN这个工作所采取的思路是这样的:

每个head都是一组Q值;每个Episode仅根据一个head的Q值做greedy的探索,直到下一个Episode,再随机选取一个head执行探索。这样,每个episode都会依据某一个head的策略执行到底,保证了探索的一致性和深入;同时,只要能保持不同head之间的多样性,从统计上来看,探索得到的transition也比较多样化。

Hierarchical RL

我们知道,人是有比较强的信息抽象能力的。对于数据的抽象,深度的神经网络也具备相似的能力,可以从高维度的、低层次的输入数据(比如图像),提取出低维度的,高层次的信息(比如图片里有一只喵的概率)。但是对于行为来说,人同样是具有很强的抽象能力的:可以从高维度、低层次的行为的基础上,逐渐建立出低维度、高层次的行为。

举一个例子,需要完成的任务是通过键盘猜测两位数的密码。正常的人类在完成这个任务的时候,其实际需要探索的状态空间只有10²个状态,也就是两位数密码的所有组合;而按照普通的RL方法,agent输出机械臂的所有控制信号来敲键盘的话,其探索的状态空间是一个大得多的高维空间。

这就是层次式RL:Heirarchical RL的出发点:把策略(或者动作)本身划分为不同的层次,底层的策略负责完成一些底层的任务;上层的策略负责把底层策略结合起来,完成更复杂的任务。这样,无论上层策略还是底层策略,其探索空间都大大减小。

通常,Heirarchical RL会把策略分为至少两层,上层的策略负责输出底层策略的阶段性目标,称为goal或者option;然后底层策略在一定的时间周期内,负责实现这个目标。上层策略可以在此期间,负责输出reward给底层策略,用来评价底层策略的执行情况。属于这类的工作有很多,在此就不一一举例了。

向专家学习


在RL的框架下,agent可以从零开始,探索环境,逐渐学习得到越来越好的策略。由于前面提到的各种原因,对比监督学习来说,RL是个相对较慢的过程。

反观人类学习某项任务的过程:人类具有很强的模仿能力,如果在学习的过程中,有老师示范的话,人类的学习速度将会大大提升。那是否可以让RL中的agent,也能像人类一样,从专家的行为中学习呢?

一个传统的思路是Inverse RL:给出专家在完成任务的一些例子,先对环境的reward做出假设:R(s, a);然后设法求出使得专家的例子收到的奖励最大化的R(s, a),再反过来用R(s, a)指导agent的训练。通常这样的R(s, a)返回的奖励是比环境本身的奖励要更稠密的,所以在R的指导下,agent学习会更快。

这种方法比较间接。还有更直接的做法:imitation ,learning,即设法让agent的策略输出和专家的输出更接近。Imitation learning也有很多做法,这里就举一个例子:

熟悉深度学习近期进展的同学能看出来,这是一个对抗学习(Generative Adversarial Network,GAN)的结构。在Generative Adversarial Imitation Learning这个工作里面,通过对抗学习,使得generator也就是policy输出的trajectory的分布,尽量靠近专家的trajectory 的分布。然后可以再放进RL的框架下,进一步学习得到更好的策略。

分布式算法


RL的训练过程是很慢的。一个很花时间的程序,设法改成分布式以加速,是个很自然的想法。那么,RL训练过程中,哪些部分可以并行化呢?

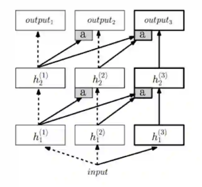
GORILA

上图来自于Google Reinforcement Learning Architecture(Gorila)这个工作。我们会发现,只要有需要,RL过程中的各个部分皆可并行化:

  • Environment:不同的环境实例之间相互独立;

  • Agent:Agent与environment一一对应,只与自己的environment交互,所以也可以并行;

  • Replay Memory:当需要存储超过单机容量的replay的时候,可以用多机存储; learner, parameter, agent。

  • Learners:不同的learner可以独立地从experience replay中采样数据并计算梯度,类似于监督学习中的数据并行;

  • Parameters:如果网络规模比较大,那么可以用多机来保存和更新网络参数,类似于监督学习中的模型并行。

A3C

如果系统的部署规模还没有到google这么大,那么Asynchronous Methods for Deep Reinforcement Learning这个工作比较值得关注:

从架构上来说,比Gorila要简单。细节先不展开了,这里有一个比较有意思的结论:

我们看到,当把单机的算法改成分布式之后,有些算法获得了超过1的加速比。这个在分布式计算中并不常见,因为单机的算法很可能有一部分是没法并行化的,同时并行化还带来了通讯和调度的开销。

原因在于,多个agent同时探索,往往会探索到environment的不同状态。这样,在训练的时候,采样得到的训练数据之间相互的独立性会更强。所以分布式训练除了利用了更多计算资源以外,对RL而言对于训练时候的样本独立同分布还有额外的好处。文中提到的asynchronous advantage actor-critic, A3C算法是一个效果比较好的算法,值得感兴趣的同学关注一下。

多任务和迁移


迁移学习不是一个新的话题。模型的训练是一件花时间的事情;人们希望训练好一个模型以后,能让这个模型能完成不同的任务,或者至少对训练其他任务的模型有所帮助。在RL的领域,多任务和迁移的话题变得越来越重要,原因包括:

  • 在现实的场景中,agent需要面临的情况是很复杂的,可能不时会有新的情况发生;如果能让agent学会处理新的情况速度大大加快,无疑是很有价值的。

  • 我们知道,虚拟的Environment的执行和探索的成本很低,而在真实的物理世界里探索成本非常高。但是通常,虚拟环境和真实环境总会有一些差异。如果能有办法帮助在虚拟环境里训练好的agent更快地适应真实环境的话,就可以让在虚拟环境中训练、在实际场景下使用变得更加容易。

  • 即使是完成单个任务,任务本身可能也有一些结构值得探索,就像在Hierachical RL一节所思考的一样。那么,将多任务的一些方法应用在单个任务的训练中,也可以起到加快训练的作用。

Target Driven Navigation

有一个完成单一任务的程序,现在想让它能完成更多任务?

从软件工程的角度,最直接的办法是把要完成的任务,也当成程序输入的一部分。这也是Target driven visual navigation in Indoor Scenes using deep RL这个工作的思路。

Progressive Neural Networks

上述方法要求任务之间具有比较强的一致性。如果还是希望分别训练多个网络对应多个任务呢?

这篇工作的思路是,让已经训练好的网络也参与到新的任务网络的训练过程中:因为已经训练好的网络所具有的信息抽取的能力,可能对新的任务有一定的参考价值。

Elastic Weight Consolidation

那么,是否真的就不能让同一个agent或者说网络,具有完成多个任务的能力呢?

从训练的角度来讲,一个神经网络在两个task下表现好,就意味着这个网络的参数对于两个task对应的loss 都比较低。也就意味着,在训练好task A以后,在训练task B的时候,希望能保留对task A重要的参数,只改变对task A不重要的参数,来寻找能完成task B的策略。参数对task的重要程度,正好有个直接的衡量标准:即训练这个task的时候,loss对参数的梯度。这样,只要调低对task A重要的参数的学习率,就能让网络不会“忘记”task A。

RL with unsupervised auxiliary tasks

如果是人类来学习完成某项任务的话,人类不会仅仅习得在某种state下应该执行某个action,而是会逐渐掌握这个任务的环境的一些一般规律,并利用这些知识,更快地习得更鲁棒的策略。

在这个工作中,除了主要的训练流程之外, 还加入了几个辅助的任务,来预测收集到的reward、迭代值函数、控制像素的变化情况,等等。这些辅助的任务和主任务之间,共享一部分网络机构。一个很合理的直觉是:一个能很好从环境中预测收到的reward的网络,它从state中提取出来的信息也对完成这个任务非常有用。

Curriculum Learning

人类在学习某项技能的时候,如果先从简单的情形开始学起,循序渐进提高难度,那么学习很容易很多,这就是所谓的学习曲线。相同的思路应用在RL上,就是课程表学习:

以上是个玩射击游戏的例子,不同的class 实际上是不同难度的同一个任务。Class 0是最容易的,意味着更容易收集到有意义的reward,所以训练起来比较容易;能顺利完成class 0的agent,相比未经训练的agent来说,在class 1里面收集到reward的难度要低,所以训练起来也比较容易,以此类推,就能逐渐完成我们最终设定的任务。

后  记

可以看出,上述的各种进展,是用新的手段,解决更复杂的任务,同时不断定位问题并解决改善的过程。由于篇幅和角度所限,不少近期的进展并没有覆盖到;同时,上述所有的工作所声称要解决的问题,还远未达到解决得很好的程度,他们各自起作用也有一些假设和作用范围,所以这些问题都还是开放性的话题。相信不久的将来,RL的进展会体现在更多的实际应用场景中,甚至催生出很多新的产品形态,这也是学界和业界共同努力的方向,让我们拭目以待。

-End-

大牛讲堂往期精彩内容回顾

大牛讲堂 | 算法工程师入门第一期-罗恒讲深度学习

AI芯片怎么降功耗?从ISSCC2017说起

Alex Smola:TensorFlow、Caffe等已经存在,为何还需要MXNet?

深度学习Sequence Learning技术分享

语音专题第一讲,麦克风阵列的语音信号处理技术

语音专题第二讲,语言模型技术

语音专题第三讲,声学模型

语音专题第四讲,语音识别之解码器技术简介

微软研究院张正友为你科普人脸表情识别技术

贾扬清,教你如何打造优秀的深度学习架构

山世光:基于深度学习的目标检测技术进展与展望

邬书哲:物体检测算法的革新与传承

黄畅:基于DenesBox的目标检测在自动驾驶中的应用

Batch Normalization的分析与展望

密歇根州立大学刘小明教授为你讲解人脸识别


登录查看更多
1

相关内容

【圣经书】《强化学习导论(2nd)》电子书与代码,548页pdf
专知会员服务
208+阅读 · 2020年5月22日
一份简短《图神经网络GNN》笔记,入门小册
专知会员服务
226+阅读 · 2020年4月11日
Python数据分析:过去、现在和未来,52页ppt
专知会员服务
103+阅读 · 2020年3月9日
深度学习入门笔记
论智
7+阅读 · 2018年3月31日
K近邻算法入门
论智
5+阅读 · 2018年3月18日
【推荐系统】详解基于内容的推荐算法
产业智能官
23+阅读 · 2018年1月11日
BAT机器学习面试1000题系列(第36~40题)
七月在线实验室
8+阅读 · 2017年10月3日
技术 | 强化学习入门以及代码实现
AI100
51+阅读 · 2017年8月26日
Efficiently Embedding Dynamic Knowledge Graphs
Arxiv
14+阅读 · 2019年10月15日
Arxiv
7+阅读 · 2019年5月31日
Arxiv
12+阅读 · 2019年2月26日
Arxiv
4+阅读 · 2018年12月20日
dynnode2vec: Scalable Dynamic Network Embedding
Arxiv
15+阅读 · 2018年12月6日
Arxiv
7+阅读 · 2018年1月18日
VIP会员
最新内容
人工智能在战场行动中的演进及伊朗案例
专知会员服务
2+阅读 · 今天13:08
美AI公司Anthropic推出网络安全模型“Mythos”
专知会员服务
2+阅读 · 今天12:58
【博士论文】面向城市环境的可解释计算机视觉
专知会员服务
0+阅读 · 今天12:57
大语言模型的自改进机制:技术综述与未来展望
专知会员服务
0+阅读 · 今天12:50
《第四代军事特种作战部队选拔与评估》
专知会员服务
1+阅读 · 今天6:23
相关资讯
深度学习入门笔记
论智
7+阅读 · 2018年3月31日
K近邻算法入门
论智
5+阅读 · 2018年3月18日
【推荐系统】详解基于内容的推荐算法
产业智能官
23+阅读 · 2018年1月11日
BAT机器学习面试1000题系列(第36~40题)
七月在线实验室
8+阅读 · 2017年10月3日
技术 | 强化学习入门以及代码实现
AI100
51+阅读 · 2017年8月26日
相关论文
Efficiently Embedding Dynamic Knowledge Graphs
Arxiv
14+阅读 · 2019年10月15日
Arxiv
7+阅读 · 2019年5月31日
Arxiv
12+阅读 · 2019年2月26日
Arxiv
4+阅读 · 2018年12月20日
dynnode2vec: Scalable Dynamic Network Embedding
Arxiv
15+阅读 · 2018年12月6日
Arxiv
7+阅读 · 2018年1月18日
Top
微信扫码咨询专知VIP会员