机器学习(12)之决策树总结与python实践(~附源码链接~)

2017 年 8 月 20 日 机器学习算法与Python学习 昱良

微信公众号

关键字全网搜索最新排名

【机器学习算法】:排名第一

【机器学习】:排名第二

【Python】:排名第三

【算法】:排名第四

前言

在(机器学习(9)之ID3算法详解及python实现)中讲到了ID3算法,在(机器学习(11)之C4.5详解与Python实现(从解决ID3不足的视角))中论述了ID3算法的改进版C4.5算法。对于C4.5算法,也提到了它的不足,比如模型是用较为复杂的熵来度量,使用了相对较为复杂的多叉树,只能处理分类不能处理回归等。对于这些问题, CART算法大部分做了改进。由于CART算法可以做回归,也可以做分类,本文以CART作为分类树来论述。

最优特征选择方法

在ID3算法中使用了信息增益来选择特征,信息增益大的优先选择在C4.5算法中采用了信息增益比来选择特征,以减少信息增益容易选择特征值多的特征的问题。但是无论ID3还是C4.5,都是基于信息论的熵模型的,这里面会涉及大量的对数运算。能不能简化模型同时也不至于完全丢失熵模型的优点呢?有!CART分类树算法使用基尼系数来代替信息增益比,基尼系数代表了模型的不纯度,基尼系数越小,则不纯度越低,特征越好。这和信息增益(比)是相反的。


在分类问题中,假设有K个类别,第k个类别的概率为pk, 则基尼系数的表达式为:

若是二类分类问题,计算就更简单了,如果属于第一个样本输出的概率是p,则基尼系数的表达式为:

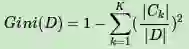
对于给定样本D,假设有K个类别, 第k个类别的数量为Ck,则样本D的基尼系数表达式为:

特别的,对于样本D,如果根据特征A的某个值a,把D分成D1和D2两部分,则在特征A的条件下,D的基尼系数表达式为:

为了进一步简化,CART分类树算法每次仅仅对某个特征的值进行二分,而不是多分,这样CART分类树算法建立起来的是二叉树,而不是多叉树。这样一可以进一步简化基尼系数的计算,二可以建立一个更加优雅的二叉树模型。

连续特征的处理

对于CART分类树连续值的处理问题,其思想和C4.5是相同的,都是将连续的特征离散化。唯一的区别在于在选择划分点时的度量方式不同,C4.5使用的是信息增益,则CART分类树使用的是基尼系数。


具体的思路如下(与C4.5一致),比如m个样本的连续特征A有m个,从小到大排列为a1,a2,...,am,则CART算法取相邻两样本值的中位数,一共取得m-1个划分点,其中第i个划分点表示Ti表示为:Ti=ai+ai+12。对于这m-1个点,分别计算以该点作为二元分类点时的基尼系数。选择基尼系数最小的点作为该连续特征的二元离散分类点。

 

对于CART分类树离散值的处理问题,采用的思路是不停的二分离散特征。回忆下ID3或者C4.5,如果某个特征A被选取建立决策树节点,如果它有A1,A2,A3三种类别,我们会在决策树上一下建立一个三叉的节点。这样导致决策树是多叉树。但是CART分类树使用的方法不同,他采用的是不停的二分,还是这个例子,CART分类树会考虑把A分成和{A1}和{A2,A3}, 和{A2}和{A1,A3}, 和{A3}和{A1,A2}三种情况,找到基尼系数最小的组合,比如和{A2}和{A1,A3},然后建立二叉树节点,一个节点是A2对应的样本,另一个节点是{A1,A3}对应的节点。同时,由于这次没有把特征A的取值完全分开,后面我们还有机会在子节点继续选择到特征A来划分A1和A3。这和ID3或者C4.5不同,在ID3或者C4.5的一棵子树中,离散特征只会参与一次节点的建立。

CART建树流程

算法输入训练集D基尼系数的阈值样本个数阈值

算法输出决策树T

 1) 对于当前节点的数据集为D,如果样本个数小于阈值或者没有特征,则返回决策子树,当前节点停止递归。

 2) 计算样本集D的基尼系数,如果基尼系数小于阈值,则返回决策树子树,当前节点停止递归。

 3) 计算当前节点现有的各个特征的各个特征值对数据集D的基尼系数,对于离散值和连续值的处理方法和基尼系数的计算见上一节。

 4) 在计算出来的各个特征的各个特征值对数据集D的基尼系数中,选择基尼系数最小的特征A和对应的特征值a。根据这个最优特征和最优特征值,把数据集划分成两部分D1和D2,同时建立当前节点的左右节点,做节点的数据集D为D1,右节点的数据集D为D2.

 5) 对左右的子节点递归的调用1-4步,生成决策树。

剪枝

由于决策时算法很容易对训练集过拟合,而导致泛化能力差,为了解决这个问题,我们需要对CART树进行剪枝,即类似于线性回归的正则化,来增加决策树的返回能力。但是,有很多的剪枝方法,我们应该这么选择呢?CART采用的办法是后剪枝法即先生成决策树,然后产生所有可能的剪枝后的CART树,然后使用交叉验证来检验各种剪枝的效果,选择泛化能力最好的剪枝策略。

第一步是从原始决策树生成各种剪枝效果的决策树;


第二步是用交叉验证来检验剪枝后的预测能力,选择泛化预测能力最好的剪枝后的数作为最终的CART树。

在剪枝的过程中,对于任意的一刻子树T,其损失函数为:

其中,α为正则化参数,C(Tt)为训练数据的预测误差,分类树是用基尼系数度量,回归树是均方差度量。|Tt|是子树T的叶子节点的数量。


当α=0时,即没有正则化,原始的生成的CART树即为最优子树。当α=∞时,即正则化强度达到最大,此时由原始的生成的CART树的根节点组成的单节点树为最优子树。一般来说,α越大,则剪枝剪的越厉害,生成的最优子树相比原生决策树就越偏小。对于固定的α,一定存在使损失函数Cα(T)最小的唯一子树。


对于位于节点t的任意一颗子树Tt,如果没有剪枝,它的损失是上面的那个公式。如果将其剪掉,仅仅保留根节点,则损失是

如果满足下式:

Tt和T有相同的损失函数,但是T节点更少,因此可以对子树Tt进行剪枝,也就是将它的子节点全部剪掉,变为一个叶子节点T。

剪枝流程

输入是CART树建立算法得到的原始决策树T

输出最优决策子树Tα


算法过程如下:

 1)初始化αmin=∞, 最优子树集合ω={T}。

 2)从叶子节点开始自下而上计算各内部节点t的训练误差损失函数Cα(Tt)(回归树为均方差,分类树为基尼系数), 叶子节点数|Tt|,以及正则化阈值α=min{C(T)−C(Tt)|Tt|−1,αmin}, 更新αmin=α

 3) 得到所有节点的α值的集合M。

 4)从M中选择最大的值αk,自上而下的访问子树t的内部节点,如果(C(T)−C(Tt))/(|Tt|−1)≤αk时,进行剪枝。并决定叶节点t的值。如果是分类树,则是概率最高的类别,如果是回归树,则是所有样本输出的均值。这样得到αk对应的最优子树Tk

 5)最优子树集合ω=ω∪Tk, M=M−{αk}。

 6) 如果M不为空,则回到步骤4。否则就已经得到了所有的可选最优子树集合ω.

 7) 采用交叉验证在ω选择最优子树

三类算法对比

优点

1)简单直观,生成的决策树很直观。

2)基本不需要预处理,不需要提前归一化,处理缺失值。

3)使用决策树预测的代价是O(log2m)。 m为样本数。

4)既可以处理离散值也可以处理连续值。很多算法只是专注于离散值或者连续值。

5)可以处理多维度输出的分类问题。

6)相比于神经网络之类的黑盒分类模型,决策树在逻辑上可以得到很好的解释

7)可以交叉验证的剪枝来选择模型,从而提高泛化能力。

8) 对于异常点的容错能力好,健壮性高。

缺点

1)决策树算法非常容易过拟合,导致泛化能力不强。可以通过设置节点最少样本数量和限制决策树深度来改进。

2)决策树会因为样本发生一点点的改动,就会导致树结构的剧烈改变。这个可以通过集成学习之类的方法解决。

3)寻找最优的决策树是一个NP难的问题,我们一般是通过启发式方法,容易陷入局部最优。可以通过集成学习之类的方法来改善。

4)有些比较复杂的关系,决策树很难学习,比如异或。这个就没有办法了,一般这种关系可以换神经网络分类方法来解决。

5)如果某些特征的样本比例过大,生成决策树容易偏向于这些特征。这个可以通过调节样本权重来改善。

CART实战

数据参照 《机器学习-周志华》 一书中的决策树一章。

代码则参照《机器学习实战》一书的内容,并做了一些修改。

源码下载方式

  1. 添加微信交流群

    (加我微信:guodongwe1991,备注姓名-单位-研究方向

  2. 后台回复关键词:170821

其中,前11个数据用作训练集(1, 2, 3, 6, 7, 10, 14, 15, 16, 17, 4),后6个数据用作测试集(5,8,9,11,12,13)


CART.py(代码233行)

# -*- coding: utf-8 -*-


from numpy import *

import numpy as np

import pandas as pd

from math import log

import operator

#计算数据集的基尼指数

def calcGini(dataSet):

    numEntries=len(dataSet)

    labelCounts={}

    #给所有可能分类创建字典

    for featVec in dataSet:

        currentLabel=featVec[-1]

        if currentLabel not in labelCounts.keys():

            labelCounts[currentLabel]=0

        labelCounts[currentLabel]+=1

    Gini=1.0

    #以2为底数计算香农熵

    for key in labelCounts:

        prob = float(labelCounts[key])/numEntries

        Gini-=prob*prob

    return Gini


#对离散变量划分数据集,取出该特征取值为value的所有样本

def splitDataSet(dataSet,axis,value):

    retDataSet=[]

    for featVec in dataSet:

        if featVec[axis]==value:

            reducedFeatVec=featVec[:axis]

            reducedFeatVec.extend(featVec[axis+1:])

            retDataSet.append(reducedFeatVec)

    return retDataSet


#对连续变量划分数据集,direction规定划分的方向,

#决定是划分出小于value的数据样本还是大于value的数据样本集

def splitContinuousDataSet(dataSet,axis,value,direction):

    retDataSet=[]

    for featVec in dataSet:

        if direction==0:

            if featVec[axis]>value:

                reducedFeatVec=featVec[:axis]

                reducedFeatVec.extend(featVec[axis+1:])

                retDataSet.append(reducedFeatVec)

        else:

            if featVec[axis]<=value:

                reducedFeatVec=featVec[:axis]

                reducedFeatVec.extend(featVec[axis+1:])

                retDataSet.append(reducedFeatVec)

    return retDataSet


#选择最好的数据集划分方式

def chooseBestFeatureToSplit(dataSet,labels):

    numFeatures=len(dataSet[0])-1

    bestGiniIndex=100000.0

    bestFeature=-1

    bestSplitDict={}

    for i in range(numFeatures):

        featList=[example[i] for example in dataSet]

        #对连续型特征进行处理

        if type(featList[0]).__name__=='float' or type(featList[0]).__name__=='int':

            #产生n-1个候选划分点

            sortfeatList=sorted(featList)

            splitList=[]

            for j in range(len(sortfeatList)-1):

                splitList.append((sortfeatList[j]+sortfeatList[j+1])/2.0)

            

            bestSplitGini=10000

            slen=len(splitList)

            #求用第j个候选划分点划分时,得到的信息熵,并记录最佳划分点

            for j in range(slen):

                value=splitList[j]

                newGiniIndex=0.0

                subDataSet0=splitContinuousDataSet(dataSet,i,value,0)

                subDataSet1=splitContinuousDataSet(dataSet,i,value,1)

                prob0=len(subDataSet0)/float(len(dataSet))

                newGiniIndex+=prob0*calcGini(subDataSet0)

                prob1=len(subDataSet1)/float(len(dataSet))

                newGiniIndex+=prob1*calcGini(subDataSet1)

                if newGiniIndex<bestSplitGini:

                    bestSplitGini=newGiniIndex

                    bestSplit=j

            #用字典记录当前特征的最佳划分点

            bestSplitDict[labels[i]]=splitList[bestSplit]

            

            GiniIndex=bestSplitGini

        #对离散型特征进行处理

        else:

            uniqueVals=set(featList)

            newGiniIndex=0.0

            #计算该特征下每种划分的信息熵

            for value in uniqueVals:

                subDataSet=splitDataSet(dataSet,i,value)

                prob=len(subDataSet)/float(len(dataSet))

                newGiniIndex+=prob*calcGini(subDataSet)

            GiniIndex=newGiniIndex

        if GiniIndex<bestGiniIndex:

            bestGiniIndex=GiniIndex

            bestFeature=i

    #若当前节点的最佳划分特征为连续特征,则将其以之前记录的划分点为界进行二值化处理

    #即是否小于等于bestSplitValue

    if type(dataSet[0][bestFeature]).__name__=='float' or type(dataSet[0][bestFeature]).__name__=='int':      

        bestSplitValue=bestSplitDict[labels[bestFeature]]        

        labels[bestFeature]=labels[bestFeature]+'<='+str(bestSplitValue)

        for i in range(shape(dataSet)[0]):

            if dataSet[i][bestFeature]<=bestSplitValue:

                dataSet[i][bestFeature]=1

            else:

                dataSet[i][bestFeature]=0

    return bestFeature


#特征若已经划分完,节点下的样本还没有统一取值,则需要进行投票

def majorityCnt(classList):

    classCount={}

    for vote in classList:

        if vote not in classCount.keys():

            classCount[vote]=0

        classCount[vote]+=1

    return max(classCount)


#主程序,递归产生决策树

def createTree(dataSet,labels,data_full,labels_full):

    classList=[example[-1] for example in dataSet]

    if classList.count(classList[0])==len(classList):

        return classList[0]

    if len(dataSet[0])==1:

        return majorityCnt(classList)

    bestFeat=chooseBestFeatureToSplit(dataSet,labels)

    bestFeatLabel=labels[bestFeat]

    myTree={bestFeatLabel:{}}

    featValues=[example[bestFeat] for example in dataSet]

    uniqueVals=set(featValues)

    if type(dataSet[0][bestFeat]).__name__=='str':

        currentlabel=labels_full.index(labels[bestFeat])

        featValuesFull=[example[currentlabel] for example in data_full]

        uniqueValsFull=set(featValuesFull)

    del(labels[bestFeat])

    #针对bestFeat的每个取值,划分出一个子树。

    for value in uniqueVals:

        subLabels=labels[:]

        if type(dataSet[0][bestFeat]).__name__=='str':

            uniqueValsFull.remove(value)

        myTree[bestFeatLabel][value]=createTree(splitDataSet\

         (dataSet,bestFeat,value),subLabels,data_full,labels_full)

    if type(dataSet[0][bestFeat]).__name__=='str':

        for value in uniqueValsFull:

            myTree[bestFeatLabel][value]=majorityCnt(classList)

    return myTree


#由于在Tree中,连续值特征的名称以及改为了  feature<=value的形式

#因此对于这类特征,需要利用正则表达式进行分割,获得特征名以及分割阈值

def classify(inputTree,featLabels,testVec):

    firstStr=inputTree.keys()[0]

    if '<=' in firstStr:

        featvalue=float(re.compile("(<=.+)").search(firstStr).group()[2:])

        featkey=re.compile("(.+<=)").search(firstStr).group()[:-2]

        secondDict=inputTree[firstStr]

        featIndex=featLabels.index(featkey)

        if testVec[featIndex]<=featvalue:

            judge=1

        else:

            judge=0

        for key in secondDict.keys():

            if judge==int(key):

                if type(secondDict[key]).__name__=='dict':

                    classLabel=classify(secondDict[key],featLabels,testVec)

                else:

                    classLabel=secondDict[key]

    else:

        secondDict=inputTree[firstStr]

        featIndex=featLabels.index(firstStr)

        for key in secondDict.keys():

            if testVec[featIndex]==key:

                if type(secondDict[key]).__name__=='dict':

                    classLabel=classify(secondDict[key],featLabels,testVec)

                else:

                    classLabel=secondDict[key]

    return classLabel

#测试决策树正确率

def testing(myTree,data_test,labels):

    error=0.0

    for i in range(len(data_test)):

        if classify(myTree,labels,data_test[i])!=data_test[i][-1]:

            error+=1

    #print 'myTree %d' %error

    return float(error)

#测试投票节点正确率

def testingMajor(major,data_test):

    error=0.0

    for i in range(len(data_test)):

        if major!=data_test[i][-1]:

            error+=1

    #print 'major %d' %error

    return float(error)

#后剪枝

def postPruningTree(inputTree,dataSet,data_test,labels):

    firstStr=inputTree.keys()[0]

    secondDict=inputTree[firstStr]

    classList=[example[-1] for example in dataSet]

    featkey=copy.deepcopy(firstStr)

    if '<=' in firstStr:

        featkey=re.compile("(.+<=)").search(firstStr).group()[:-2]

        featvalue=float(re.compile("(<=.+)").search(firstStr).group()[2:])

    labelIndex=labels.index(featkey)

    temp_labels=copy.deepcopy(labels)

    del(labels[labelIndex])

    for key in secondDict.keys():

        if type(secondDict[key]).__name__=='dict':

            if type(dataSet[0][labelIndex]).__name__=='str':

                inputTree[firstStr][key]=postPruningTree(secondDict[key],\

                 splitDataSet(dataSet,labelIndex,key),splitDataSet(data_test,labelIndex,key),copy.deepcopy(labels))

            else:

                inputTree[firstStr][key]=postPruningTree(secondDict[key],\

                splitContinuousDataSet(dataSet,labelIndex,featvalue,key),\

                splitContinuousDataSet(data_test,labelIndex,featvalue,key),\

                copy.deepcopy(labels))

    if testing(inputTree,data_test,temp_labels)<=testingMajor(majorityCnt(classList),data_test):

        return inputTree

    return majorityCnt(classList)


df=pd.read_csv('data.csv')

data=df.values[:11,1:].tolist()

data_full=data[:]

labels=df.columns.values[1:-1].tolist()

labels_full=labels[:]

myTree=createTree(data,labels,data_full,labels_full)

data=df.values[:11,1:].tolist()

data_test=df.values[11:,1:].tolist()

labels=df.columns.values[1:-1].tolist()

myTree=postPruningTree(myTree,data,data_test,labels)



import plotTree

plotTree.createPlot(myTree)



plotTree.py(代码72行)

import matplotlib.pyplot as plt  

decisionNode=dict(boxstyle="sawtooth",fc="0.8")  

leafNode=dict(boxstyle="round4",fc="0.8")  

arrow_args=dict(arrowstyle="<-")  

  

#计算树的叶子节点数量  

def getNumLeafs(myTree):  

    numLeafs=0  

    firstStr=myTree.keys()[0]  

    secondDict=myTree[firstStr]  

    for key in secondDict.keys():  

        if type(secondDict[key]).__name__=='dict':  

            numLeafs+=getNumLeafs(secondDict[key])  

        else: numLeafs+=1  

    return numLeafs  

  

#计算树的最大深度  

def getTreeDepth(myTree):  

    maxDepth=0  

    firstStr=myTree.keys()[0]  

    secondDict=myTree[firstStr]  

    for key in secondDict.keys():  

        if type(secondDict[key]).__name__=='dict':  

            thisDepth=1+getTreeDepth(secondDict[key])  

        else: thisDepth=1  

        if thisDepth>maxDepth:  

            maxDepth=thisDepth  

    return maxDepth  

  

#画节点  

def plotNode(nodeTxt,centerPt,parentPt,nodeType):  

    createPlot.ax1.annotate(nodeTxt,xy=parentPt,xycoords='axes fraction',\  

    xytext=centerPt,textcoords='axes fraction',va="center", ha="center",\  

    bbox=nodeType,arrowprops=arrow_args)  

  

#画箭头上的文字  

def plotMidText(cntrPt,parentPt,txtString):  

    lens=len(txtString)  

    xMid=(parentPt[0]+cntrPt[0])/2.0-lens*0.002  

    yMid=(parentPt[1]+cntrPt[1])/2.0  

    createPlot.ax1.text(xMid,yMid,txtString)  

      

def plotTree(myTree,parentPt,nodeTxt):  

    numLeafs=getNumLeafs(myTree)  

    depth=getTreeDepth(myTree)  

    firstStr=myTree.keys()[0]  

    cntrPt=(plotTree.x0ff+(1.0+float(numLeafs))/2.0/plotTree.totalW,plotTree.y0ff)  

    plotMidText(cntrPt,parentPt,nodeTxt)  

    plotNode(firstStr,cntrPt,parentPt,decisionNode)  

    secondDict=myTree[firstStr]  

    plotTree.y0ff=plotTree.y0ff-1.0/plotTree.totalD  

    for key in secondDict.keys():  

        if type(secondDict[key]).__name__=='dict':  

            plotTree(secondDict[key],cntrPt,str(key))  

        else:  

            plotTree.x0ff=plotTree.x0ff+1.0/plotTree.totalW  

            plotNode(secondDict[key],(plotTree.x0ff,plotTree.y0ff),cntrPt,leafNode)  

            plotMidText((plotTree.x0ff,plotTree.y0ff),cntrPt,str(key))  

    plotTree.y0ff=plotTree.y0ff+1.0/plotTree.totalD  

  

def createPlot(inTree):  

    fig=plt.figure(1,facecolor='white')  

    fig.clf()  

    axprops=dict(xticks=[],yticks=[])  

    createPlot.ax1=plt.subplot(111,frameon=False,**axprops)  

    plotTree.totalW=float(getNumLeafs(inTree))  

    plotTree.totalD=float(getTreeDepth(inTree))  

    plotTree.x0ff=-0.5/plotTree.totalW  

    plotTree.y0ff=1.0  

    plotTree(inTree,(0.5,1.0),'')  

    plt.show()  



参考:

1. 周志华《机器学习》

2. 博客园:作者(刘建平)http://www.cnblogs.com/pinard/p/6053344.html

3. 李航 《统计学习方法》

4. http://www.codexiu.cn/python/blog/7899/

5. http://blog.csdn.net/wzmsltw/article/details/51039928

加我微信:guodongwe1991,备注姓名-单位-研究方向(加入微信机器学习交流1群)

招募 志愿者

广告、商业合作

请加QQ:[email protected]

喜欢,别忘关注~

帮助你在AI领域更好的发展,期待与你相遇!


登录查看更多
1

相关内容

决策树(Decision Tree)是在已知各种情况发生概率的基础上,通过构成决策树来求取净现值的期望值大于等于零的概率,评价项目风险,判断其可行性的决策分析方法,是直观运用概率分析的一种图解法。由于这种决策分支画成图形很像一棵树的枝干,故称决策树。在机器学习中,决策树是一个预测模型,他代表的是对象属性与对象值之间的一种映射关系。Entropy = 系统的凌乱程度,使用算法ID3, C4.5和C5.0生成树算法使用熵。这一度量是基于信息学理论中熵的概念。 决策树是一种树形结构,其中每个内部节点表示一个属性上的测试,每个分支代表一个测试输出,每个叶节点代表一种类别。 分类树(决策树)是一种十分常用的分类方法。他是一种监管学习,所谓监管学习就是给定一堆样本,每个样本都有一组属性和一个类别,这些类别是事先确定的,那么通过学习得到一个分类器,这个分类器能够对新出现的对象给出正确的分类。这样的机器学习就被称之为监督学习。

知识荟萃

精品入门和进阶教程、论文和代码整理等

更多

查看相关VIP内容、论文、资讯等
专知会员服务
142+阅读 · 2020年5月19日
【经典书】机器学习高斯过程,266页pdf
专知会员服务
200+阅读 · 2020年5月2日
Sklearn 与 TensorFlow 机器学习实用指南,385页pdf
专知会员服务
131+阅读 · 2020年3月15日
机器学习速查手册,135页pdf
专知会员服务
345+阅读 · 2020年3月15日
【经典书】精通机器学习特征工程,中文版,178页pdf
专知会员服务
360+阅读 · 2020年2月15日
决策树
Datartisan数据工匠
4+阅读 · 2018年4月19日
机器学习面试题精讲(一)
七月在线实验室
4+阅读 · 2018年1月11日
Python & 机器学习之项目实践 | 赠书
人工智能头条
15+阅读 · 2017年12月26日
机器学习(27)【降维】之主成分分析(PCA)详解
机器学习算法与Python学习
9+阅读 · 2017年11月22日
机器学习(17)之集成学习原理总结
机器学习算法与Python学习
19+阅读 · 2017年9月16日
机器学习(13)之最大熵模型详解
机器学习算法与Python学习
7+阅读 · 2017年8月24日
机器学习(7)之感知机python实现
机器学习算法与Python学习
4+阅读 · 2017年7月23日
机器学习算法实践:决策树 (Decision Tree)
Python开发者
9+阅读 · 2017年7月17日
Arxiv
7+阅读 · 2019年5月31日
Arxiv
8+阅读 · 2019年3月28日
Adaptive Neural Trees
Arxiv
4+阅读 · 2018年12月10日
VIP会员
最新内容
《美陆军条例:陆军指挥政策(2026版)》
专知会员服务
6+阅读 · 今天8:10
《军用自主人工智能系统的治理与安全》
专知会员服务
5+阅读 · 今天8:02
《系统簇式多域作战规划范畴论框架》
专知会员服务
8+阅读 · 4月20日
高效视频扩散模型:进展与挑战
专知会员服务
4+阅读 · 4月20日
乌克兰前线的五项创新
专知会员服务
8+阅读 · 4月20日
 军事通信系统与设备的技术演进综述
专知会员服务
7+阅读 · 4月20日
《北约标准:医疗评估手册》174页
专知会员服务
6+阅读 · 4月20日
相关VIP内容
专知会员服务
142+阅读 · 2020年5月19日
【经典书】机器学习高斯过程,266页pdf
专知会员服务
200+阅读 · 2020年5月2日
Sklearn 与 TensorFlow 机器学习实用指南,385页pdf
专知会员服务
131+阅读 · 2020年3月15日
机器学习速查手册,135页pdf
专知会员服务
345+阅读 · 2020年3月15日
【经典书】精通机器学习特征工程,中文版,178页pdf
专知会员服务
360+阅读 · 2020年2月15日
相关资讯
决策树
Datartisan数据工匠
4+阅读 · 2018年4月19日
机器学习面试题精讲(一)
七月在线实验室
4+阅读 · 2018年1月11日
Python & 机器学习之项目实践 | 赠书
人工智能头条
15+阅读 · 2017年12月26日
机器学习(27)【降维】之主成分分析(PCA)详解
机器学习算法与Python学习
9+阅读 · 2017年11月22日
机器学习(17)之集成学习原理总结
机器学习算法与Python学习
19+阅读 · 2017年9月16日
机器学习(13)之最大熵模型详解
机器学习算法与Python学习
7+阅读 · 2017年8月24日
机器学习(7)之感知机python实现
机器学习算法与Python学习
4+阅读 · 2017年7月23日
机器学习算法实践:决策树 (Decision Tree)
Python开发者
9+阅读 · 2017年7月17日
Top
微信扫码咨询专知VIP会员