深度度量学习-论文简评

2020 年 6 月 21 日 极市平台

加入极市专业CV交流群,与 10000+来自港科大、北大、清华、中科院、CMU、腾讯、百度 等名校名企视觉开发者互动交流!

同时提供每月大咖直播分享、真实项目需求对接、干货资讯汇总,行业技术交流。关注 极市平台 公众号 ,回复 加群,立刻申请入群~

作者|王珣,https://zhuanlan.zhihu.com/p/141409820
本文已获作者授权,不得二次转载

缘起:

有人说起深度度量学习,就会觉得这里面水文多,或者觉得鱼龙混杂,参见曾经上了知乎热榜的一个问题:

如何看待研究人员声称近13年来在 deep metric learning 领域的进展实际并不存在?

作为在这个坑里摸爬了一段时间,也发了两三篇顶会的从业人员.我的看法是,有的文章确实是纯粹的水文,有些文章还是挤挤的话,还是有些营养的.与其去嘲笑别人,不如从别人的亮点中获得启发.这里我以随笔的形式,不定时的分享我对这个领域的一些文章的思考,破开文章的层层包装,直达本质,让读者不被它们的层层套路所误导,迷失方向,甚至有了一些偏见,从而更加快速地对DML领域有个我认为的清晰正确的见解.

如果大家遇到一些有意思的文章,也可以在评论里告诉我,我可以去看看,并写下我的感想.

总览

我认为,metric learning的方法有两大分支:pair-based 和 proxy-based. pair-based是基于真实的样本对,比如contrastive loss, triplet loss, N-pair loss和MS loss等,而proxy-based是利用proxy去表示类别的特征,或者样本特征,比如说softmax, Proxy-NCA等.proxy是一个非常宽泛的概念,在softmax中,它是fc层的列;在memory的方法中,它是存储在memory中的特征.

pair-based的方法的好处在于简单准确,准确的意思是你的feature是从当前模型前向出来的,可以精确的表示当前的模型;缺点在于计算量大,信息局限,pair-based只可以利用当前mini-batch的信息,不能看到模型在整体的数据的表现,一直在做局部的优化.

那么,proxy的好处在于可以有global的信息,但是,缺点是什么?proxy是基于历史信息,或者是网络一步步学过来的,未必能够准确的表达当前模型.

论文点评

1.MS Loss(CVPR-2019)

https://arxiv.org/pdf/1904.06627.pdf

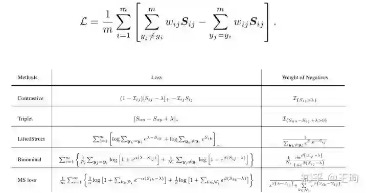
首先要说的是自己的文章,MS Loss, 虽然文章的名字是一个loss,但是我认为我的这个文章最值得的看点,可以成为一种思考所有pair based loss方法的方法是GPW:

这个GPW (general pair weighting)的意思就是,无论你的loss的形式有多么花哨,无论你故事讲得有多么的骚,一切不过是一个对于pairwise similarity的加权求和罢了,而这个权重恰恰是一阶导数,详细的请看论文.在论文中,我们用GPW之刀解剖了目前市面上常见的几种loss functions:

表格1.几种loss对于负样本对的权重

建议读文章,仔细体会这个想法,最好能够用两种形式写出写出binomial loss,并验证结果的一致性,从而更加深刻的理解这个思路,以后遇到pair-based loss的论文就可以一眼看穿本质,不会被天花乱坠的故事迷了方向.

另外,MS里面讲的SNP multi-similarity的故事,理论和实验其实都不算扎实全面,并不能完全验证,只是一个实验结果还不错的一个反向思考结果,或者说是一个可以近乎自圆其说的story.

2.lifted structure loss (CVPR-2016)

SOP数据从这里来,这个文章是比较早的deep metric learning论文.

文章的想法就一句话总结:过去 contrastive loss的训练是这样的:先配好样本对在送进去网络,这种太浪费了,一个mini-batch大小为n,结果只有n/2对样本.他的做法是:任意两两配对,样本的个数直接平方( n*(n-1)/2 ).当然,这个现在大家都这么做啦.

这个文章的实验效果是很低的:

原因有二:

1.当时的调参技术还比较拙劣.

2.后来我也复现了这个loss,按照论文里的设置,效果是真的不行.故事讲的不错,loss设计的是真的有点菜(没有对特征normalize并且没有调temperature).

3.Sampling Matters in embedding learning (ICCV-2017)

https://arxiv.org/abs/1706.07567

这个文章的作者也算是个小有名气的大佬了,现在应该是跟着kaiming的.但是我认为这篇论文,其实题文是不太符合的.这个文章我至少读了五六遍,并且看了作者公布的代码,并与同行进行了一些讨论,自己复现也做了一些实验.我的感想这个文章应该改个名字:Margin Matters.

文章前面讲了一波很好的高维空间中向量分布的故事,统计,数学显得专业,但是,distance weighted sampling这个点,真的是理论上有点扯,效果上也很崩盘.那文章最后咋效果很好呢,原因在于两点:

1.当时大家的baseline都比较低,看了作者代码,真的是调参比较努力的,带了一些tricks,另外别人用googlenet,他用了resnet. 不是说resnet一定好,但是确实网络不同,还是有很大不同的.

2.文章提出了margin(就是对相似度卡阈值),且这里的margin 是动态的学习的.其实这个是提点的关键.所以,我说吗,可以改名字叫做Margin Matters哈.

说回来,为什么觉得文章方法的动机不对,distance weighted sampling说pair 的距离分布是不均匀的,所以要变成均匀的,所以要丢弃比较多的那部分.因为多所以就要丢弃样本对,这个逻辑不是很成立,实验也说明了这个点.我认为更合理的说法还是easy, hard那一套,有些样本对简单,对当前模型训练意义小;有些样本对难,可以对模型的训练有很大的促进作用.这种完全没必要一定 非用欠采样的方法变成balance的分布,扔掉那么多的多样本对,会丢失很多信息的. 通过加权的方式完全可以解决得轻松舒服.

4. BIER (ICCV-2017 Oral)

http://openaccess.thecvf.com/content_ICCV_2017/papers/Opitz_BIER_-_Boosting_ICCV_2017_paper.pdf

思路很直接,为了解决高维空间特征的冗余,所以,把高维空间拆开,通过gradient boosting 还有对抗训练使得每个子空间的学习出来的特征尽量不同,那么从集成学习的思路去想,这样子把他们拼到一起后的空间,自然效果提升大.

metric learning 当时在顶会中的oral论文还是挺少的.这个文章真的做得很好,很扎实.想法也是很好的.我个人很喜欢.建议精读,与其把时间浪费在没有营养的水文,不如从这个文章多多体会.后来作者扩充了这个文章,被PAMI接收.

另外,这里对loss梯度的分析,还有使用的binomial deviance loss是对我MS Loss论文有很大的启发.我的MS loss 可以认为就是把binomial 和lifted structure loss拼起来了.

5. Proxy-NCA (ICCV-2017)

狗大户的文章,在当时可以认为效果爆表,不过爆表有一大部分的原因在于从他开始把googlenet换到了inceptionBN, 而且也不怎么调baseline. 就用了过去的很低的,另外,狗大户真的有钱爱调参,最后选出来的参数还有优化器怎么看都是暴力调的.

方法的话,其实是softmax或者NCA的一个换装.不过,文章还是很有亮点的:这里提出的proxy的概念真的是棒,我当时理解了很久.

6.Divide and Conquer (CVPR-2019)

https://arxiv.org/abs/1906.05990

同BIER,去拆分了空间,不同的是这儿为了使得每个子空间学的不相似,采用的方法是:类似于集成学习中的数据扰动策略(参见西瓜书 P188)的方法,对每个子空间采用不同的数据去学习,从而使得每个分支学得尽量不同.

7.softtriple(ICCV-2019)

https://arxiv.org/abs/1909.05235

出自达摩院.讲的故事是多中心/类别,其实大家如果看过CUB数据,就会发现类内区别确实大,所以文章把softmax拓展为多中心的形式,方法上未必是多么创新:这个和proxy-nca的多中心时其实是很近似的,或者说proxy就是把softmax 拓展到了单中心,多中心,甚至多个类别共享中心的广义形式.

文章的文笔我认为很不错,introduction写的很好,对传统的metric learnning做了简略的回顾,并且对deep metric learning这几年的发展做了个很好的总结.尤其是关于batch size那一小部分,写得我感觉很恰当.是很好的入门导入.


推荐阅读



添加极市小助手微信(ID : cv-mart),备注:研究方向-姓名-学校/公司-城市(如:目标检测-小极-北大-深圳),即可申请加入极市技术交流群,更有每月大咖直播分享、真实项目需求对接、求职内推、算法竞赛、干货资讯汇总、行业技术交流一起来让思想之光照的更远吧~


△长按添加极市小助手


△长按关注极市平台,获取最新CV干货


觉得有用麻烦给个在看啦~  

登录查看更多
11

相关内容

度量学习的目的为了衡量样本之间的相近程度,而这也正是模式识别的核心问题之一。大量的机器学习方法,比如K近邻、支持向量机、径向基函数网络等分类方法以及K-means聚类方法,还有一些基于图的方法,其性能好坏都主要有样本之间的相似度量方法的选择决定。 度量学习通常的目标是使同类样本之间的距离尽可能缩小,不同类样本之间的距离尽可能放大。
【Contextual Embedding】什么时候上下文嵌入值得使用?
专知会员服务
16+阅读 · 2020年8月2日
[ICML-Google]先宽后窄:对深度薄网络的有效训练
专知会员服务
36+阅读 · 2020年7月5日
BERT进展2019四篇必读论文
专知会员服务
70+阅读 · 2020年1月2日
度量学习中的pair-based loss
极市平台
65+阅读 · 2019年7月17日
CVPR 19系列2 | 强判别能力的深度人脸识别(文末附有源码)
CVPR 2019 论文大盘点—目标检测篇
极市平台
33+阅读 · 2019年7月1日
读论文Discriminative Deep Metric Learning for Face and KV
统计学习与视觉计算组
12+阅读 · 2018年4月6日
专栏 | CVPR 2017论文解读:特征金字塔网络FPN
机器之心
8+阅读 · 2017年7月25日
Hierarchical Deep Multiagent Reinforcement Learning
Arxiv
8+阅读 · 2018年9月25日
Arxiv
4+阅读 · 2015年8月25日
VIP会员
最新内容
以色列-美国-伊朗战争中的无人机:关键要点
专知会员服务
1+阅读 · 今天14:04
《Palantir任务保障性软件安全标准(MA-S2)》
专知会员服务
5+阅读 · 今天13:49
基于声学的无人机检测技术综述
专知会员服务
4+阅读 · 今天13:37
《当代混合战争分析框架:俄乌战争经验教训》
专知会员服务
4+阅读 · 今天13:11
战略前沿人工智能的再思考(中文)
专知会员服务
7+阅读 · 5月29日
《量化地基防空系统间接效应的博弈论方法》
专知会员服务
5+阅读 · 5月29日
“史诗怒火行动”中美军损失的作战飞机
专知会员服务
6+阅读 · 5月29日
ICML 2026 | 理解上下文持续学习中的泛化与遗忘
专知会员服务
5+阅读 · 5月28日
Top
微信扫码咨询专知VIP会员