论文浅尝 | 基于知识图谱中图卷积神经网络的推荐系统

2019 年 8 月 27 日 开放知识图谱

笔记整理:王若旭,浙江大学在读硕士,研究方向为关系抽取,零样本学习。




本文发表于 www2019,参考链接:https://arxiv.org/pdf/1905.04413.pdf

 

为了解决推荐系统中协同过滤方法面对的数据稀疏和冷启动的问题,很多研究者将关注点放在 useritem 的属性上,通过设计一些算法来探索这些辅助信息。本篇文章基于属性之间并非独立的观点提出 Knowledge Graph Convolutional Networks (KGCN),通过挖掘 itemKG 属性上的关系有效地捕获item内部的联系。

 

具体的做法如下(参考下图理解):


1)首先,将 user-item 中的 item KG entity 对齐。

2)计算 user uKGrelation r 的得分,表示用户 u 对关系 r 的重视程度,如:一些用户更注重某部电影的导演而非演员。

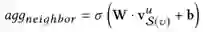
3)通过对周围 entity e 施加不同权重,计算 item v 拓扑机构表示。其中,N(v)v 的邻接节点。


4)文中提出三种聚合方法来聚合item v的表示和它邻接节点的表示 (S(v)是为了保持每批次的计算模式固定且更高效,从N(v)中采样得到的)


5)论文采用 hinge loss,考虑到算法的效率,为每个样本产生 Tu 个负样本,且样本满足均匀分布。


KGCN算法流程如下


数据集:包括 movieLens-20MBook-CrossingLast.FM,用 Microsoft Satori 进行对齐,丢掉了多个匹配的和没有匹配上的 item。数据集统计如下:   

K: 感知的宽度,即考虑的邻居节点数量

du,v表示的维度

H: 感知的深度,即递归的次数

 

实验结果:

1整体结果


2)邻居节点数量K,表示的维度d,感知的深度H对结果的影响

 


 



OpenKG


开放知识图谱(简称 OpenKG)旨在促进中文知识图谱数据的开放与互联,促进知识图谱和语义技术的普及和广泛应用。

点击阅读原文,进入 OpenKG 博客。

登录查看更多
67

相关内容

【SIGIR2020-微软】知识图谱上的增强推荐推理
专知会员服务
77+阅读 · 2020年5月30日
17篇知识图谱Knowledge Graphs论文 @AAAI2020
专知会员服务
173+阅读 · 2020年2月13日
专知会员服务
88+阅读 · 2020年1月20日
必读的7篇 IJCAI 2019【图神经网络(GNN)】相关论文
专知会员服务
92+阅读 · 2020年1月10日
论文浅尝 | GraphSAINT—基于图采样的归纳学习方法
开放知识图谱
7+阅读 · 2020年2月23日
论文浅尝 | GraphIE:基于图的信息抽取框架
开放知识图谱
17+阅读 · 2019年6月2日
论文浅尝 | 5 篇顶会论文带你了解知识图谱最新研究进展
论文浅尝 | TuckER:基于张量分解的知识图谱补全
开放知识图谱
35+阅读 · 2019年3月17日
5篇顶会论文带你了解知识图谱最新研究进展
PaperWeekly
15+阅读 · 2019年2月21日
论文浅尝 | 推荐系统的可解释性浅谈
开放知识图谱
15+阅读 · 2018年11月27日
论文浅尝 | 用可微的逻辑规则学习完成知识库推理
开放知识图谱
14+阅读 · 2018年7月5日
论文浅尝 | 基于神经网络的知识推理
开放知识图谱
15+阅读 · 2018年3月12日
Arxiv
92+阅读 · 2020年2月28日
Next Item Recommendation with Self-Attention
Arxiv
5+阅读 · 2018年8月25日
Arxiv
5+阅读 · 2017年11月13日
VIP会员
最新内容
ICML2026 | 重新思考顺序知识编辑中的正则化
专知会员服务
2+阅读 · 5月27日
《用于兵力发展选项优先排序的成本效益模型》
AutoResearch AI综述:迈向AI驱动的科学发现自动化
《Palantir边缘人工智能》手册
专知会员服务
22+阅读 · 5月26日
美军“国防自主作战群”(DAWG)概念解析
专知会员服务
4+阅读 · 5月26日
“史诗怒火”行动中的无人机与反无人机作战
专知会员服务
16+阅读 · 5月25日
相关资讯
论文浅尝 | GraphSAINT—基于图采样的归纳学习方法
开放知识图谱
7+阅读 · 2020年2月23日
论文浅尝 | GraphIE:基于图的信息抽取框架
开放知识图谱
17+阅读 · 2019年6月2日
论文浅尝 | 5 篇顶会论文带你了解知识图谱最新研究进展
论文浅尝 | TuckER:基于张量分解的知识图谱补全
开放知识图谱
35+阅读 · 2019年3月17日
5篇顶会论文带你了解知识图谱最新研究进展
PaperWeekly
15+阅读 · 2019年2月21日
论文浅尝 | 推荐系统的可解释性浅谈
开放知识图谱
15+阅读 · 2018年11月27日
论文浅尝 | 用可微的逻辑规则学习完成知识库推理
开放知识图谱
14+阅读 · 2018年7月5日
论文浅尝 | 基于神经网络的知识推理
开放知识图谱
15+阅读 · 2018年3月12日
Top
微信扫码咨询专知VIP会员