ACL 2022 | 跨语言命名实体识别:无监督多任务多教师蒸馏模型

2022 年 7 月 12 日 PaperWeekly


©作者 |  SinGaln



前言

这是一篇来自于 ACL 2022 的关于跨语言的 NER 蒸馏模型。主要的过程还是两大块:1)Teacher Model 的训练;2)从 Teacher Model 蒸馏到 Student Model。采用了类似传统的 Soft 蒸馏方式,其中利用了多任务的方式对 Teacher Model 进行训练,一个任务是 NER 训练的任务,另一个是计算句对的相似性任务。整体思路还是采用了序列标注的方法,也是一个不错的 IDEA。


论文标题:

An Unsupervised Multiple-Task and Multiple-Teacher Model for Cross-lingual Named Entity Recognition

论文链接:

https://aclanthology.org/2022.acl-long.14.pdf




模型架构


2.1 Teacher Model


图1. Teacher Model训练架构

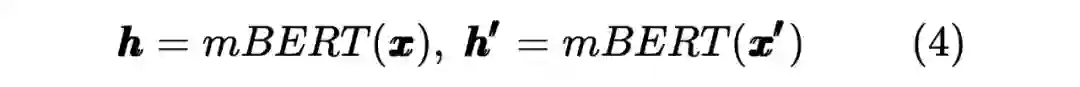
从上图可以明显的看出,Teacher Model 在进行训练时,采用了两种不同的 Labeled Data,一种是传统的单文本序列标注数据;另一种是句对类型的序列标注数据,然后通过三个独立的 Encoder 编码器进行特征抽取,一个任务就是我们常用的 NER 训练任务,也就是将 Encoder 编码器的输出经过一个线性层映射为标签数的特征矩阵,对映射的特征矩阵进行 softmax 归一化(这里笔者理解就是 NER 任务中的 BERT+Softmax 模型),利用归一化后的特征矩阵与输入的 labels 进行 loss 计算,这里采用的是 CrossEntropyLoss。需要明确具体的是作者采用了 Multilingual BERT(也就是 mBert)作为编码器,计算公式如下:



首先利用 mBERT 提取输入文本序列的特征 ,这里的 表示的是:



将计算得到的文本序列隐藏向量经过一个线性变换后进行 softmax 归一化,计算如下:



以上就是 Teacher Model 的第一个任务,直接对标注序列进行 NER,并且采用交叉熵损失函数作为 loss_function,计算如下:



另外一个任务输入的为序列标注的句对数据,分别采用两个独立的Encoder编码器进行编码,得到的对应的 last_hidden_state,然后计算这两个输出的 cosine_similar,并且将其使用 进行激活,得到两个序列的相似度向量,计算如下:




这里也就是一个类似于 senetnce_similar 的操作,不同点在于这里计算的是序列中每个 Token 的相似度。通过对比句对序列标签得到一个 ,这里 时表示 (预测正确),反正的话, 。到了计算相似度时,损失函数的设计就是基于 的,计算公式如下:



这里的 是 BinaryCrossEntropy。这里的 是句对序列所对应的标签通过比对得到的对比标签序列,也就是对于两个句子序列标签



来说,其生成的 ,通过这样的损失设计就可以很直观的理解 sim_loss 的计算了。

Tips: 对于式(6)这里采用二元交叉熵(BCE)来计算 loss,笔者的理解是对输入句对中的每个 Token 的相似度进行一个二分类,其最终目标是使得具有相同标签的句对更加的靠近,也就是相似度更高。BCE 是用来评判一个二分类模型预测结果 的好坏程度的,通俗的讲,即对于标签 y 为 1 的情况,如果预测值 p(y) 趋近于 1,那么损失函数的值应当趋近于 0。反之,如果此时预测值 p(y) 趋近于 0,那么损失函数的值应当非常大,这非常符合 log 函数的性质。

Teacher Model 的设计总体上就是这样的,通过两个任务来增加 Teacher Model 的准确性和泛化性,对于实体识别来说,使用句对相似度的思想来拉近具有相同标签的 Token,并且结合传统的 NER 模型(mBERT+softmax)可以使得模型的学习更加有指向性,不单单靠一个序列标签来指导模型学习,笔者任务这是一个不错的思路。


2.2 Student Model Distilled


图2. Teacher Model--Student Model Distilled

上面笔者分析了 Teacher Model 的训练,但这不是重点,笔者认为本篇文章在于作者在进行蒸馏时的想法是有亮点的。从蒸馏流程图可以看出来,作者使用的 Student Model 也是一个双塔 mBERT 模型作为编码器,输入的就是 Unlabeled Pairwise Data,其操作就是把 Teacher Model 的多任务直接进行统一,模型架构变化不大。蒸馏过程也是通用的蒸馏模式,Teacher Model 预测,Student Model 学习。

2.2.1 Teacher Model Inference

Teacher Model 预测这一部分没啥可说的,就是把无标签的数据输入到模型中,得到输出的  ner_logits 和  similar_logits。这也是蒸馏模型的常规操作了,这里需要注意的是在使用 Teacher Model 进行预测时,输入的数据是有讲究的, 笔者对于这里的理解有两个:一个是是模型输入的是句对数据,只不过从这个句对数据中抽取一条输入到 Recognizer_teacher 中进行识别;另一个是作者采用了 BERT 模型的句对输入方式,输入的就是一个句对,只不过使用了 [SEP] 标签进行分隔,具体是哪一种笔者也不知道,理解了的读者可以告诉笔者一下。而且在 Teacher Model 训练时,笔者也不知道采用哪种数据输入方式。

2.2.2 Student Model Learning

Student Model 这一部分输入的就是 target 文本序列对,Student Model 的编码器也是一个双塔的 mBert 模型,分别对输入的 target 序列进行进行编码,这里也是进行一个 BERT+Softmax 的基本操作,在此期间也使用了序列 Token 相似度计算的操作,具体的计算如下所示:




获得两个序列的 hidden_state 后进行一个线性计算,然后利用 softmax 进行归一化,得到每个 Token 预测的标签,计算如下:




这里也类似 Teacher Model 的计算方式,计算 target 序列间的  Token  相似度,计算如下所示:



当然,这里做的是蒸馏模型,所以对于输入到 Student Model 的序列对,也是 Teacher Model Inference 预测模型的输入,通过 Teacher Model 的预测计算得到一个 teacher_ner_logits 和 teacher_similar_logits,将 teacher_ner_logits 分别与 通过 CrossEntropyLoss 来计算 TS_ _Loss 和 TS_ _Loss,teacher_similar_logits 与 通过 计算 Similar_Loss,最终将几个 loss 进行相加作为 DistilldeLoss。


这里作者还对每个 TS_ _Loss,TS_ _Loss 分别赋予了权重 ,对 Similar_Loss 赋予了权重 ,对最终的 DistilldeLoss 赋予权重 ,这样的权重赋予能够使得 Student Model 从 Teacher Model 学习到的噪声减少。最终的 Loss 计算如下所示:






这里的权重 笔者认为是用来控制 Student Model 学习倾向的参数,首先对于 来说,由于 Student Model 输入的是 Unlabeled 数据,所以在进行蒸馏学习时,需要尽可能使得 Student Model 的输出的 student_ner_logits  来对齐 Teacher Model 预测输出的 teacher_ner_logits,由于不知道输入的无标签数据的数据分布,所以设置一个权重参数来对整个 Teacher Model 的预测标签进行加权,将各个无标签的输入序列看作一个数据量较少的类别。这里可以参考 在进行数据标签不平衡时使用权重系数对各个标签进行加权的操作。而且作者也分析了, 参数是一个随着 Teacher Model 输出而递增的一个参数。如下图所示:


图3. α参数与Weight和F1

作者在文章中也给出了参数 的计算方式,具体而言就是跟 Student Model 的序列编码有关,计算如下所示:



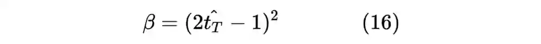
对于 参数而言,其加权的对象是 Similar_Loss,也就是对 Teacher Model 的相似度矩阵和Student Model 的相似度矩阵的交叉熵损失进行加权,参数的设置思路大致是当 Teacher Model 的 Similar_logits 接近 0 或 1 时, 参数就较大,接近 0.5 时就较小,其目的也是让 Student Model 学习更有用的信息,而不是一些似是而非的东西。其计算方式如下所示:



最后对于参数 来说,其作用是用来调整 NER 任务和 Similarity 任务一致性的参数,对于两个输入的 Token,希望 Student Model 从 Teacher Model 的两个任务中学习 Teacher Model 的 NER 任务的高预测准确率和 Similarity 任务远离 0.5 相似度的 Token 信息,反之亦然。其计算方式如下 所示:





实验结果


作者分别在 CoNLL 和 WiKiAnn 数据集上进行了实验,数据使用量如下图所示:

图4. CoNLL and WiKiAnn数据

作者还与现有的一些 SOTA 模型进行了对比,实验对比结果如下所示:

图5. 实验对比结果

从实验对比结果图可以看出,MTMT 模型在各方面都有不错的表现,对于中文上的表现稍微不如 BERT-f 模型,其他部分语言上有着大幅度的领先。




简单代码实现


#!/usr/bin/env python
# -*- coding:utf-8 -*-
# @Time    : 2022/5/30 13:59
# @Author  : SinGaln

"""
    An Unsupervised Multiple-Task and Multiple-Teacher Model for Cross-lingual Named Entity Recognition
"""


import torch
import torch.nn as nn
import torch.nn.functional as F
from transformers import BertModel, BertPreTrainedModel, logging

logging.set_verbosity_error()


class TeacherNER(BertPreTrainedModel):
    def __init__(self, config, num_labels):
        """
        teacher模型是在标签数据上训练得到的,
        主要分为三个encoder.
        :param config:
        :param num_labels:
        """

        super(TeacherNER, self).__init__(config)
        self.config = config
        self.num_labels = num_labels
        self.mbert = BertModel(config=config)
        self.fc = nn.Linear(config.hidden_size, num_labels)

    def forward(self, batch_token_input_ids, batch_attention_mask, batch_token_type_ids, batch_labels, training=True,
                batch_pair_input_ids=None, batch_pair_attention_mask=None, batch_pair_token_type_ids=None,
                batch_t=None)
:

        """
        :param batch_token_input_ids: 单句子token序列
        :param batch_attention_mask:  单句子attention_mask
        :param batch_token_type_ids:  单句子token_type_ids
        :param batch_pair_input_ids:  句对token序列
        :param batch_pair_attention_mask:  句对attention_mask
        :param batch_pair_token_type_ids:  句对token_type_ids
        :return:
        """

        # Recognizer Teacher
        single_output = self.mbert(input_ids=batch_token_input_ids, attention_mask=batch_attention_mask,
                                   token_type_ids=batch_token_type_ids).last_hidden_state
        single_output = F.softmax(self.fc(single_output), dim=-1)
        # Evaluator Teacher(类似双塔模型)
        pair_output1 = self.mbert(input_ids=batch_pair_input_ids[0], attention_mask=batch_pair_attention_mask[0],
                                  token_type_ids=batch_pair_token_type_ids[0]).last_hidden_state
        pair_output2 = self.mbert(input_ids=batch_pair_input_ids[1], attention_mask=batch_pair_attention_mask[1],
                                  token_type_ids=batch_pair_token_type_ids[1]).last_hidden_state
        pair_output = torch.sigmoid(torch.cosine_similarity(pair_output1, pair_output2, dim=-1))  # 计算两个输出的cosine相似度
        if training:
            # 计算loss, 训练时采用平均loss作为模型最终的loss
            loss1 = F.cross_entropy(single_output.view(-1, self.num_labels), batch_labels.view(-1))
            loss2 = F.binary_cross_entropy(pair_output, batch_t.type(torch.float))
            loss = loss1 + loss2
            return single_output, loss
        else:
            return single_output, pair_output


class StudentNER(BertPreTrainedModel):
    def __init__(self, config, num_labels):
        """
        student模型采用的也是一个双塔结构
        :param config: mBert的配置文件
        :param num_labels: 标签数量
        """

        super(StudentNER, self).__init__(config)
        self.config = config
        self.num_labels = num_labels
        self.mbert = BertModel(config=config)
        self.fc1 = nn.Linear(config.hidden_size, num_labels)
        self.fc2 = nn.Linear(config.hidden_size, num_labels)

    def forward(self, batch_pair_input_ids, batch_pair_attention_mask, batch_pair_token_type_ids, batch_pair_labels,
                teacher_logits, teacher_similar)
:

        """
        :param batch_pair_input_ids:  句对token序列
        :param batch_pair_attention_mask:  句对attention_mask
        :param batch_pair_token_type_ids:  句对token_type_ids
        :return:
        """

        output1 = self.mbert(input_ids=batch_pair_input_ids[0], attention_mask=batch_pair_attention_mask[0],
                             token_type_ids=batch_pair_token_type_ids[0]).last_hidden_state
        output2 = self.mbert(input_ids=batch_pair_input_ids[1], attention_mask=batch_pair_attention_mask[1],
                             token_type_ids=batch_pair_token_type_ids[1]).last_hidden_state
        soft_output1, soft_output2 = self.fc1(output1), self.fc2(output2)
        soft_logits1, soft_logits2 = F.softmax(soft_output1, dim=-1), F.softmax(soft_output2, dim=-1)
        alpha1, alpha2 = torch.square(torch.max(input=soft_logits1, dim=-1)[0]).mean(), torch.square(
            torch.max(soft_logits2, dim=-1)[0]).mean()
        output_similar = torch.sigmoid(torch.cosine_similarity(soft_output1, soft_output2, dim=-1))
        soft_similar = torch.sigmoid(torch.cosine_similarity(soft_logits1, soft_logits2, dim=-1))
        beta = torch.square(2 * output_similar - 1).mean()
        gamma = 1 - torch.abs(soft_similar - output_similar).mean()
        # 计算蒸馏的loss
        # teacher logits与student logits1 的loss
        loss1 = alpha1 * (F.cross_entropy(soft_logits1, teacher_logits))
        # teacher similar与student similar 的loss
        loss2 = beta * (F.binary_cross_entropy(soft_similar, teacher_similar))
        # teacher logits与student logits2 的loss
        loss3 = alpha2 * (F.cross_entropy(soft_logits2, teacher_logits))
        # final loss
        loss = gamma * (loss1 + loss2 + loss3).mean()
        return loss


if __name__ == "__main__":
    from transformers import BertConfig

    pretarin_path = "./pytorch_mbert_model"

    batch_pair1_input_ids = torch.randint(1100, (2128))
    batch_pair1_attention_mask = torch.ones_like(batch_pair1_input_ids)
    batch_pair1_token_type_ids = torch.zeros_like(batch_pair1_input_ids)
    batch_labels1 = torch.randint(110, (2128))
    batch_labels2 = torch.randint(110, (2128))
    # t(对比两个序列标签,相同为1,不同为0)
    batch_t = torch.as_tensor(batch_labels1.numpy() == batch_labels2.numpy()).float()

    batch_pair2_input_ids = torch.randint(1100, (2128))
    batch_pair2_attention_mask = torch.ones_like(batch_pair2_input_ids)
    batch_pair2_token_type_ids = torch.zeros_like(batch_pair2_input_ids)

    batch_all_input_ids, batch_all_attention_mask, batch_all_token_type_ids, batch_all_labels = [], [], [], []
    batch_all_labels.append(batch_labels1)
    batch_all_labels.append(batch_labels2)
    batch_all_input_ids.append(batch_pair1_input_ids)
    batch_all_input_ids.append(batch_pair2_input_ids)
    batch_all_attention_mask.append(batch_pair1_attention_mask)
    batch_all_attention_mask.append(batch_pair2_attention_mask)
    batch_all_token_type_ids.append(batch_pair1_token_type_ids)
    batch_all_token_type_ids.append(batch_pair2_token_type_ids)

    config = BertConfig.from_pretrained(pretarin_path)
    # teacher模型训练
    teacher_model = TeacherNER.from_pretrained(pretarin_path, config=config, num_labels=10)
    outputs, loss = teacher_model(batch_token_input_ids=batch_pair1_input_ids,
                                  batch_attention_mask=batch_pair1_attention_mask,
                                  batch_token_type_ids=batch_pair1_token_type_ids, batch_labels=batch_labels1,
                                  batch_pair_input_ids=batch_all_input_ids,
                                  batch_pair_attention_mask=batch_all_attention_mask,
                                  batch_pair_token_type_ids=batch_all_token_type_ids,
                                  training=True, batch_t=batch_t)
    # student 模型蒸馏
    teacher_logits, teacher_similar = teacher_model(batch_token_input_ids=batch_pair1_input_ids,
                                                    batch_attention_mask=batch_pair1_attention_mask,
                                                    batch_token_type_ids=batch_pair1_token_type_ids,
                                                    batch_labels=batch_labels1,
                                                    batch_pair_input_ids=batch_all_input_ids,
                                                    batch_pair_attention_mask=batch_all_attention_mask,
                                                    batch_pair_token_type_ids=batch_all_token_type_ids,
                                                    training=False)

    student_model = StudentNER.from_pretrained(pretarin_path, config=config, num_labels=10)
    loss_all = student_model(batch_pair_input_ids=batch_all_input_ids,
                             batch_pair_attention_mask=batch_all_attention_mask,
                             batch_pair_token_type_ids=batch_all_token_type_ids,
                             batch_pair_labels=batch_all_labels, teacher_logits=teacher_logits,
                             teacher_similar=teacher_similar)
    print(loss_all)



笔者自己实现的一部分代码,可能不是原论文作者想表达的意思,读者有疑问的话可以一起讨论一下^~^。



更多阅读



#投 稿 通 道#

 让你的文字被更多人看到 



如何才能让更多的优质内容以更短路径到达读者群体,缩短读者寻找优质内容的成本呢?答案就是:你不认识的人。


总有一些你不认识的人,知道你想知道的东西。PaperWeekly 或许可以成为一座桥梁,促使不同背景、不同方向的学者和学术灵感相互碰撞,迸发出更多的可能性。 


PaperWeekly 鼓励高校实验室或个人,在我们的平台上分享各类优质内容,可以是最新论文解读,也可以是学术热点剖析科研心得竞赛经验讲解等。我们的目的只有一个,让知识真正流动起来。


📝 稿件基本要求:

• 文章确系个人原创作品,未曾在公开渠道发表,如为其他平台已发表或待发表的文章,请明确标注 

• 稿件建议以 markdown 格式撰写,文中配图以附件形式发送,要求图片清晰,无版权问题

• PaperWeekly 尊重原作者署名权,并将为每篇被采纳的原创首发稿件,提供业内具有竞争力稿酬,具体依据文章阅读量和文章质量阶梯制结算


📬 投稿通道:

• 投稿邮箱:[email protected] 

• 来稿请备注即时联系方式(微信),以便我们在稿件选用的第一时间联系作者

• 您也可以直接添加小编微信(pwbot02)快速投稿,备注:姓名-投稿


△长按添加PaperWeekly小编




🔍


现在,在「知乎」也能找到我们了

进入知乎首页搜索「PaperWeekly」

点击「关注」订阅我们的专栏吧


·

登录查看更多
0

相关内容

两人亲密社交应用,官网: trypair.com/
专知会员服务
21+阅读 · 2021年8月17日
专知会员服务
25+阅读 · 2021年6月17日
专知会员服务
40+阅读 · 2021年5月18日
专知会员服务
32+阅读 · 2020年9月2日
注意力图神经网络的多标签文本分类
专知会员服务
112+阅读 · 2020年3月28日
NAACL 2022 | 机器翻译SOTA模型的蒸馏
PaperWeekly
1+阅读 · 2022年6月28日
中文NER任务实验小结:BERT-MRC的再优化
PaperWeekly
0+阅读 · 2021年12月29日
论文浅尝 | 面向开放域的无监督实体对齐
开放知识图谱
2+阅读 · 2021年8月24日
论文浅尝 | 使用孪生BERT网络生成句子的嵌入表示
开放知识图谱
25+阅读 · 2019年10月31日
几种句子表示方法的比较
AINLP
15+阅读 · 2019年9月21日
站在BERT肩膀上的NLP新秀们(PART II)
AINLP
35+阅读 · 2019年6月8日
站在BERT肩膀上的NLP新秀们:XLMs、MASS和UNILM
PaperWeekly
16+阅读 · 2019年6月6日
神经网络结构在命名实体识别(NER)中的应用
全球人工智能
11+阅读 · 2018年4月5日
国家自然科学基金
5+阅读 · 2015年12月31日
国家自然科学基金
3+阅读 · 2014年12月31日
国家自然科学基金
2+阅读 · 2013年12月31日
国家自然科学基金
0+阅读 · 2013年12月31日
国家自然科学基金
2+阅读 · 2013年12月31日
国家自然科学基金
1+阅读 · 2012年12月31日
国家自然科学基金
2+阅读 · 2011年12月31日
国家自然科学基金
2+阅读 · 2011年12月31日
国家自然科学基金
4+阅读 · 2009年12月31日
国家自然科学基金
0+阅读 · 2008年12月31日
Arxiv
20+阅读 · 2019年9月7日
Arxiv
14+阅读 · 2018年5月15日
VIP会员
最新内容
AutoScientists:自组织智能体团队驱动长期科学实验
战略前沿人工智能的再思考(中文)
专知会员服务
3+阅读 · 今天14:53
《量化地基防空系统间接效应的博弈论方法》
专知会员服务
3+阅读 · 今天14:51
“史诗怒火行动”中美军损失的作战飞机
专知会员服务
2+阅读 · 今天14:38
ICML 2026 | 理解上下文持续学习中的泛化与遗忘
专知会员服务
5+阅读 · 5月28日
Agent Harness综述:大模型智能体执行器工程全景
专知会员服务
13+阅读 · 5月28日
《基于理论的威慑效能评估》
专知会员服务
8+阅读 · 5月28日
相关VIP内容
专知会员服务
21+阅读 · 2021年8月17日
专知会员服务
25+阅读 · 2021年6月17日
专知会员服务
40+阅读 · 2021年5月18日
专知会员服务
32+阅读 · 2020年9月2日
注意力图神经网络的多标签文本分类
专知会员服务
112+阅读 · 2020年3月28日
相关资讯
NAACL 2022 | 机器翻译SOTA模型的蒸馏
PaperWeekly
1+阅读 · 2022年6月28日
中文NER任务实验小结:BERT-MRC的再优化
PaperWeekly
0+阅读 · 2021年12月29日
论文浅尝 | 面向开放域的无监督实体对齐
开放知识图谱
2+阅读 · 2021年8月24日
论文浅尝 | 使用孪生BERT网络生成句子的嵌入表示
开放知识图谱
25+阅读 · 2019年10月31日
几种句子表示方法的比较
AINLP
15+阅读 · 2019年9月21日
站在BERT肩膀上的NLP新秀们(PART II)
AINLP
35+阅读 · 2019年6月8日
站在BERT肩膀上的NLP新秀们:XLMs、MASS和UNILM
PaperWeekly
16+阅读 · 2019年6月6日
神经网络结构在命名实体识别(NER)中的应用
全球人工智能
11+阅读 · 2018年4月5日
相关基金
国家自然科学基金
5+阅读 · 2015年12月31日
国家自然科学基金
3+阅读 · 2014年12月31日
国家自然科学基金
2+阅读 · 2013年12月31日
国家自然科学基金
0+阅读 · 2013年12月31日
国家自然科学基金
2+阅读 · 2013年12月31日
国家自然科学基金
1+阅读 · 2012年12月31日
国家自然科学基金
2+阅读 · 2011年12月31日
国家自然科学基金
2+阅读 · 2011年12月31日
国家自然科学基金
4+阅读 · 2009年12月31日
国家自然科学基金
0+阅读 · 2008年12月31日
Top
微信扫码咨询专知VIP会员