解读NeurIPS-AutoDL 总决赛冠军解决方案,代码已开源

2020 年 4 月 19 日 机器之心

机器之心发布

作者:深度赋智

由 NeurIPS 举办历时四个月的 AutoDL 2019-2020(自动深度学习) 系列竞赛总决赛在 4 月 18 日落下帷幕,来自深度赋智的 DeepWisdom 团队荣获冠军。本文介绍了来自冠军团队的解决方案。

  • 开源代码链接:https://github.com/DeepWisdom/AutoDL

  • 注:开源代码基于 Full-AutoML 系统自动设计出的共性解并加以改造


图 1:AutoDL2019-2020 挑战赛官方通告

背景

NeurIPS,全称神经信息处理系统大会 (Conference and Workshop on Neural Information Processing Systems),是全球最受瞩目的 AI、机器学习顶级学术会议之一。历来,NeurIPS 竞赛单元都被誉为 AI 界的华山论剑,汇聚了全球 AI 顶尖力量决战技术之巅。

深度学习 DeepLearning 近年来飞速发展,在多个领域中获得了显著效果提升,但是深度学习技术实现仍然需要大量的专家经验和人工成本,因此自动深度学习系统 AutoDL 受到了学术及工业界的广泛关注,AutoDL 对快速推动落地应用和理论发展都具有重大意义。

此次 AutoDL Challenge 竞赛堪称史上最难,旨在让参赛选手设计开发出能解决包括图像、视频、语音、文本和结构化表格数据等多模态、多领域的全自动多标签分类系统。
竞赛吸引了美国、德国、瑞士、日本、韩国等全球多地队伍,来自包括清华大学、北京大学、南京大学、卡内基梅隆大学、首尔大学、弗莱堡大学、汉诺威大学等国内外著名前沿科研院校,以及 Google、微软、阿里、腾讯、浪潮等国际一流公司,参赛队伍总计进行了超过 2600 余次提交。

竞赛及任务
数据

挑战赛分为两个阶段,包括 Feedback 反馈阶段、Final 最终阶段。在反馈阶段,参赛选手基于 24 个训练数据集,离线开发自己的 AutoDL 程序,实现训练数据处理、模型结构设计、参数调校等过程。然后将自己的 AutoDL 程序代码上传到比赛平台上,通过另外 5 个线上私有数据集测试,得到程序性能的即时反馈。在最终阶段,参赛选手的 AutoDL 程序在无任何人工干预的前提下,通过 10 个私有数据集进行评估。最终阶段多轮评估的平均排名将决定获胜者。

评估

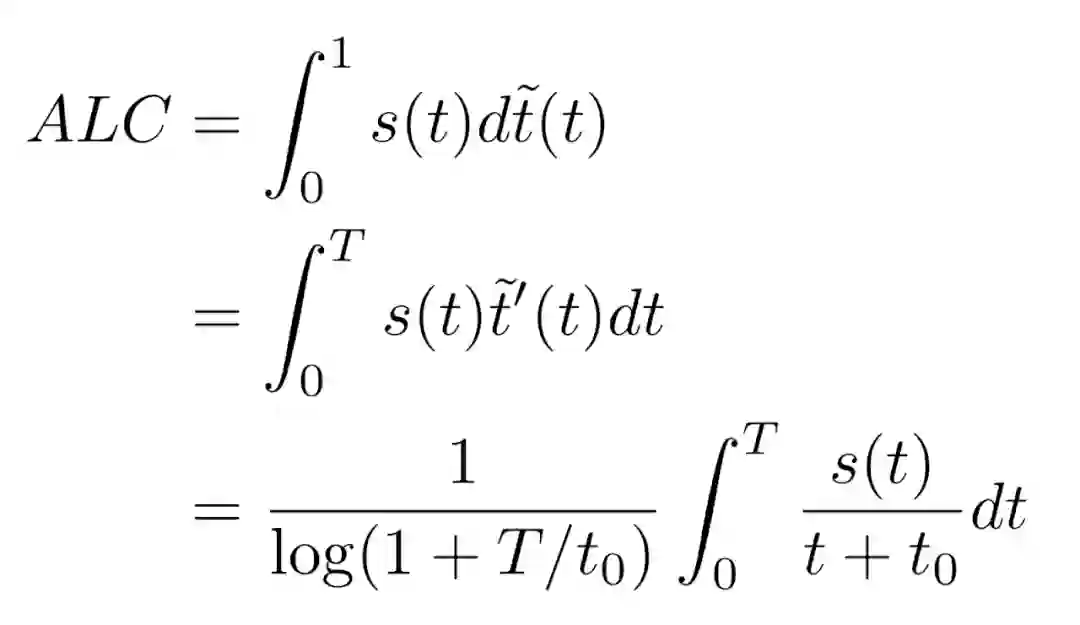
竞赛采用 ALC(Area under ROC Learning Curve) 作为评估指标,在每个时间戳 t 计算最近一次预测的归一化后 AUC 分数作为坐标纵轴,坐标横轴归一化采用以下方式计算:


ALC 计算方式:


该评估方式对方案的快速性、准确性提出了极其严格的要求,对现实场景中低成本、快速应用、高准确率等要求进行了较好模拟。

挑战

竞赛对参赛方案提出了一系列挑战,包括且不限于:

  • 如何在不同的数据中自动发现有效信息?

  • 如何为不同领域的任务自动提取有用特征?

  • 如何自动处理不同领域的数据?

  • 如何自动设计有效的神经网络结构?

  • 如何构建和自动调整预先训练的模型?

  • 如何自动高效地选择恰当的机器学习模型与超参数?

  • 如何提高解决方案的通用性?即如何保证解决方案在未知任务中的适用性?

  • 如何控制计算和内存成本?


竞赛结果

深度赋智 DeepWisdom 队伍提交方案在 Feedback 阶段和 Final 阶段取得了双项总分第一的成绩!以两阶段平均排名 1.2 和 1.8 的分数稳定且大幅领先所有队伍。其中 Feedback 阶段在 5 个盲测数据集获得了 4 项第一,Final 阶段 10 个盲测数据集获得了 7 项第一。
 

图 2:Feedback-phase Leaderboard 榜单
 

图 3:Final-phase Leaderboard 榜单
 

图 4:Final-phase Leaderboard 可视化

核心技术解析
 

图 5:AutoDL 竞赛工作流

深度赋智的核心技术在于其独立研发的 Fully Automatic Machine Learning(后文简称 Full-AutoML / 全自动机器学习)系统,这套系统量化了 AI 生产的所有环节,可以全自动、端到端地生产全流程 AI,摆脱了以往的 AI 设计需要诸多人类经验、难以快速落地的约束。

以往基于人类 AI 工程师的简单 AI 生产过程需要 3-6 个月,复杂 AI 生产过程需要 1-2 年,而 Full-AutoML 接入数据之后最短几十秒就可以构建出一套近似最优的端到端 AI,并且随着线上反馈数据,可以不断对 AI 持续优化。

Full-AutoML 具体是怎么实现的?我们展开来讲:

  • 一名人类 AI 工程师需要在单个领域进行持续数年的学习、摸索,随着接触数据集的增多、掌握技巧的增多、对整体流程的积累,才能在单个领域下获得较好效果。

  • 与人类 AI 工程师类似,Full-AutoML 需要接触较多的学习任务,以掌握在不同任务上的共性与特异性技巧。其中 MetaAI 子系统模拟了人类 AI 工程师的学习过程,通过观察已有任务的数据流形与策略效果,以进行全自动的探索性优化。经过观察,MetaAI 可以很好地总结不同任务知识,将原本耗时数年的 AI 构建过程缩短到最短数十秒。


图 6:DeepWisdom MetaAI for AutoDL

进一步的,这套系统包含自动数据探索、自动数据处理、自动特征工程、自动模型搜索、自动模型设计、自动模型压缩、自动超参优化、自动集成等多项核心组件,内含 Few-shot Learning 小样本学习、Weakly supervised learning 弱监督学习、Transfer Learning 迁移学习、Ensemble Learning 集成学习等多类特性。
 

图 7:深度赋智 AutoML

值得注意的是,深度赋智产品矩阵已开发的自动内容理解系统,能较好处理本次竞赛涉及的包含结构化和非结构化数据分类任务,该系统已经在智能搜索、智能推荐、智能决策等场景发挥了核心作用。此外,核心产品自动信息分发系统 AutoDist(包含自动搜索系统 AutoSearch、自动推荐系统 AutoRecsys)以及自动决策系统 AutoTables 已为若干客户带来显著业绩提升,可以为交易平台提升 40%-60% 的核心效果,助力平台节本提效。深度赋智将在 MetaAI 和 Full-AutoML 道路上继续探索,为更多企业客户快速节本提效、创造利润。

深度赋智团队已在若干顶级国际 AI 竞赛中获得诸多荣誉,包括 KDD 2019 AutoML/ACML 2019 AutoSpeech/PKDD 2019 AutoCV2/ACML 2019 AutoWSL 等竞赛的单项/总分第一。

深度赋智及其学术团队在协同学习/NAS/深度强化学习等领域的 100 余篇相关论文发表于 KDD、PAMI、NIPS、CVPR、ACL、AAAI、IJCAI、SIGIR、MM 等顶会顶刊上,构成了 Full-AutoML 的核心积累。

深度赋智,致力于用 AI 制作 AI,让每家企业具有开箱即用的 AI 能力。


文为机器之心发布,转载请联系原作者获得授权
✄------------------------------------------------
加入机器之心(全职记者 / 实习生):[email protected]
投稿或寻求报道:content @jiqizhixin.com
广告 & 商务合作:[email protected]
登录查看更多
0

相关内容

神经信息处理系统年会(Annual Conference on Neural Information Processing Systems)的目的是促进有关神经信息处理系统生物学,技术,数学和理论方面的研究交流。核心重点是在同行会议上介绍和讨论的同行评审新颖研究,以及各自领域的领导人邀请的演讲。在周日的世博会上,我们的顶级行业赞助商将就具有学术意义的主题进行讲座,小组讨论,演示和研讨会。星期一是教程,涵盖了当前的问询,亲和力小组会议以及开幕式演讲和招待会的广泛背景。一般会议在星期二至星期四举行,包括演讲,海报和示范。 官网地址:http://dblp.uni-trier.de/db/conf/nips/
【CVPR2020-Oral】用于深度网络的任务感知超参数
专知会员服务
28+阅读 · 2020年5月25日
抢鲜看!13篇CVPR2020论文链接/开源代码/解读
专知会员服务
50+阅读 · 2020年2月26日
Uber AI NeurIPS 2019《元学习meta-learning》教程,附92页PPT下载
专知会员服务
113+阅读 · 2019年12月13日
【课程】伯克利2019全栈深度学习课程(附下载)
专知会员服务
57+阅读 · 2019年10月29日
2019腾讯广告算法大赛方案分享(冠军)
大数据技术
12+阅读 · 2019年8月26日
西电智能学子斩获ECCV2018无人机视频分析挑战赛单赛道冠军
中国人工智能学会
3+阅读 · 2018年8月6日
Augmentation for small object detection
Arxiv
13+阅读 · 2019年2月19日
Arxiv
8+阅读 · 2018年11月27日
Arxiv
3+阅读 · 2018年11月14日
A General and Adaptive Robust Loss Function
Arxiv
8+阅读 · 2018年11月5日
Arxiv
7+阅读 · 2018年9月27日
VIP会员
最新内容
BES:让语言模型通过双向进化搜索自我改进
专知会员服务
3+阅读 · 5月30日
以色列-美国-伊朗战争中的无人机:关键要点
专知会员服务
4+阅读 · 5月30日
《Palantir任务保障性软件安全标准(MA-S2)》
专知会员服务
14+阅读 · 5月30日
基于声学的无人机检测技术综述
专知会员服务
8+阅读 · 5月30日
《当代混合战争分析框架:俄乌战争经验教训》
战略前沿人工智能的再思考(中文)
专知会员服务
8+阅读 · 5月29日
《量化地基防空系统间接效应的博弈论方法》
专知会员服务
6+阅读 · 5月29日
Top
微信扫码咨询专知VIP会员