成为VIP会员查看完整内容
VIP会员码认证
首页
主题
会员
服务
注册
·
登录
0
ICML2020 | 南大周志华教授组:一个高效安全的深度半监督学习模型
专知AI搜索
2020 年 7 月 8 日
新智元
新智元报道
来源:ICML
编辑:舒婷、白峰
【新智元导读】
最近,ICML 2020上周志华教授组发表的一篇有关深度半监督学习的论文引发热议,文章介绍了一种叫做DS3L的半监督模型,在未知分类无标签数据集中的表现抢眼,有些条件下甚至超过了监督学习的基线模型。
ICML 2020投稿中,周志华教授组发表的一篇有关深度半监督学习的论文引发热议。
这篇论文主要介绍了一种叫做DS3L的深度半监督学习模型,以减轻无标签数据集中模型性能下降的问题。
为什么要研究这个新的方法?
在完全监督学习中,深度学习网络的表现是富有竞争力的,甚至有些场景比人类表现的好。这些场景,一般都是在有一个大量的有标签的数据集的前提下。
但是,许多实际应用中,标记数据集是很困难的,因为要耗费很大的人力和财力,这限制了深度学习网络的更广阔的发展。
深度半监督学习就是为了解决这个问题。
深度半监督学习是面向的一系列的价格低廉的无标签的数据,帮助深度神经网络减少对标记数据集的需求以改善表现。
深度半监督学习在监督学习模型中的表现很好,通过探索无标签数据集的结构(如熵最小化、一致性正规化、对抗训练等)来减少数据集的费用。
但是,上述的所有结果都基于一个乐观的假设:
有标签的数据和无标签的数据来自相同的分布。
这种假设在实际应用中很难实现,同时通常的应用中,无标签数据集中会有一些有标签数据集中不包含的类别。例如,根据关键词从网络抓取的无标签网页,通常包含很多之前没有涉及的类别。
这里有一个关于图形分类的例子,可以看到无标签数据集包含的类别更多。
面对这种情况时,深度半监督模型的表现不再优异,甚至会出现性能大幅度下降的情况。
甚至,深度半监督模型的表现甚至不如一个简单监督学习模型。这种现象与深度半监督模型的初衷背道而驰。
DS3L:一个高效安全的深度半监督学习模型
这篇论文介绍了一个简单有效安全的方法:DS3L(Deep Safe Semi-Supervised Learning)。不像其他深度半监督学习模型,DS3L并不是利用所有的无标签数据集,而是有选择的并且跟踪监督学习模型的影响来避免「性能灾难」。
具体有两个方面:
1)弱化了在无标签数据集中的未见类别,提高分布匹配,保持较强的泛化能力。
2)加强有标签数据,避免性能减弱。
综上所述,我们采用了高效算法的双层优化。在评估中,DS3L在理论和实践中都表现出色。
DS3L的表现总是比有标签数据集的表现好,泛化在
的时候接近最优,甚至比带有大量参数的监督学习的收敛速度还要快。
实践方面,在基准测试数据实验中,
在40%的未见类无标签数据中,现有的深度半监督方法不如监督学习。但是,新方法能在60%以上的未见类无标签数据中实现性能提升。
此外,该方法适用于许多深度SSL算法,并且可以很容易地扩展以处理类分布不匹配的情况。
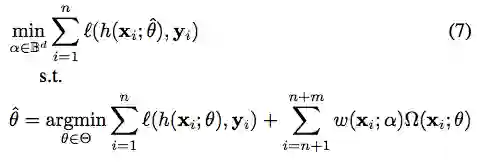
DS3L的框架结构
对于无标签的数据,DS3L需要进行选择。主要方法是设计一个加权函数w。DS3L试图找到以下函数的最优,以最小化相应的加权风险:
另一方面,DS3L持续跟踪监督的性能,以防性能衰退。具体而言,DS3L要求加权经验风险过程返回的模型,能够实现泛化性能最大化。
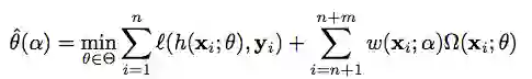
在实际情况下,分布是未知的,类似于经验风险最小化。DS3L试图找到最优参数α:
为了简化符号,框架的目标可以表述为一下双层优化问题:
性能测试:类分布不匹配时表现依旧亮眼
实验中所有方法明显优于具有相同类分布的基线监督学习方法。但是,随着类分布不匹配的加剧,现有的深度SSL方法的性能迅速下降。
当40%的无标签实例来自未知的类时,许多深度SSL技术甚至都不如基线监督学习方法,而我们的DS3L在存在超过60%的未知类无标签实例的情况下仍可以保持明显的性能改进,即无标签实例甚至比相关实例更多。这些经验结果与理论分析一致,并证明了DS3L的有效性。
从上图我们可以看到CIFAR-10跟MNIST上的测试结果类似,即DS3L在不同的类分布不匹配率下都能获得令人满意的性能。与许多不具备基线监督学习方法的深度SSL技术相比,该方法具有40%未知类的无标签数据。
DS3L可以通过简单的无监督正则化获得最佳性能,即使类不匹配率超过60%。所有这些结果表明,我们提出的DS3L非常有效地防止了类分布不匹配引起的性能下降。
上面两个图的结果进一步验证了DS3L可以通过各种深度SSL方法达到很好的性能,也就是说,在所有情况下,其性能都优于基准监督学习方法,说明DS3L是非常灵活的。
为了进一步量化DS3L在无标签未知分类数据中的识别能力,在MNIST和CIFAR-10数据集上将我们的方法与概率估计方法进行了比较,与伪标签类似,概率估计方法(Hendrycks&Gimpel,2017)使用标记数据获取每个无标签数据的类分布,然后通过softmax计算属于已知类的概率,具有低预测概率的示例可以视为未识别出。
通过将未知分类的无标签数据视为否定类别,将其他未知分类的数据视为肯定类别,AUC值可用于衡量识别能力。表1显示了不同类别不匹配率下的实验结果。可以看出,与基于概率的方法相比,DS3L降低了未知分类无标签数据的错误分类率。
参考链接:
https://cs.nju.edu.cn/liyf/paper/icml20-DS3L.pdf
登录查看更多
点赞并收藏
0
暂时没有读者
3
权益说明
本文档仅做收录索引使用,若发现您的权益受到侵害,请立即联系客服(微信: zhuanzhi02,邮箱:
[email protected]
),我们会尽快为您处理
相关内容
深度半监督学习
关注
3
克服小样本学习中灾难性遗忘方法研究
专知会员服务
51+阅读 · 2020年7月16日
【ICML2020】深度神经网络置信感知学习,Confidence-Aware Learning for Deep Neural Networks
专知会员服务
74+阅读 · 2020年7月6日
【ICML2020-南大周志华老师组】针对未见类未标记数据的安全深度半监督学习
专知会员服务
42+阅读 · 2020年7月5日
【ICML2020-天津大学】多智能体深度强化学习中的Q值路径分解
专知会员服务
81+阅读 · 2020年7月2日
【ICML2020-伯克利】反直觉!大模型重压缩提升Transformer的训练和推理效率,47页ppt
专知会员服务
70+阅读 · 2020年7月1日
【ICML2020】对比多视角表示学习
专知会员服务
53+阅读 · 2020年6月28日
最新《深度半监督学习》综述论文,43页pdf
专知会员服务
156+阅读 · 2020年6月12日
【ICML2020】小样本目标检测
专知会员服务
91+阅读 · 2020年6月2日
【MIT-Google】反思小样本图像分类:一个好的嵌入是你所需要的全部?
专知会员服务
36+阅读 · 2020年3月28日
【ICML2020提交论文】Learning@home:众包与分散Mixture-of-Experts训练的神经网络(Learning@home: Crowdsourced Training of Large Neural Networks with Decentralized Mixture-of-Experts)
专知会员服务
10+阅读 · 2020年2月12日
【ICML2020-南大周志华老师组】针对未见类未标记数据的安全深度半监督学习
专知
46+阅读 · 2020年7月5日
模型攻击:鲁棒性联邦学习研究的最新进展
机器之心
35+阅读 · 2020年6月3日
目标检测数据标注成本高怎么破?主动学习的自适应监督框架
AI科技评论
9+阅读 · 2019年10月11日
【FCS优秀青年计算机科学家论坛】李宇峰:安全半监督学习综述
FCS
6+阅读 · 2019年6月17日
【学界】虚拟对抗训练:一种新颖的半监督学习正则化方法
GAN生成式对抗网络
10+阅读 · 2019年6月9日
虚拟对抗训练:一种新颖的半监督学习正则化方法
人工智能前沿讲习班
8+阅读 · 2019年6月9日
【上海交大】半监督学习理论及其研究进展概述
专知
43+阅读 · 2019年6月2日
CVPR 2018 | 伯克利等提出无监督特征学习新方法,代码已开源
AI前线
12+阅读 · 2018年5月13日
已删除
将门创投
3+阅读 · 2018年4月10日
机器学习自动文本分类
AI前线
23+阅读 · 2018年2月4日
CURL: Contrastive Unsupervised Representations for Reinforcement Learning
Arxiv
17+阅读 · 2020年4月28日
A Simple Framework for Contrastive Learning of Visual Representations
Arxiv
21+阅读 · 2020年2月13日
Graph Transformer Networks
Arxiv
15+阅读 · 2020年2月5日
Risk-Aware Active Inverse Reinforcement Learning
Arxiv
8+阅读 · 2019年1月8日
Multi-class Classification without Multi-class Labels
Arxiv
4+阅读 · 2019年1月2日
Few-shot classification in Named Entity Recognition Task
Arxiv
6+阅读 · 2018年12月14日
To Cluster, or Not to Cluster: An Analysis of Clusterability Methods
Arxiv
4+阅读 · 2018年8月24日
Watch, Listen, and Describe: Globally and Locally Aligned Cross-Modal Attentions for Video Captioning
Arxiv
6+阅读 · 2018年4月15日
Weakly Supervised One-Shot Detection with Attention Siamese Networks
Arxiv
14+阅读 · 2018年1月12日
Natural Language Guided Visual Relationship Detection
Arxiv
3+阅读 · 2017年11月21日
VIP会员
自助开通(推荐)
客服开通
详情
相关主题
深度半监督学习
半监督学习
半监督
监督学习
ICML
监督
最新内容
美伊停火协议:评估、各方反应及美国会面临的问题
专知会员服务
3+阅读 · 今天13:00
国外反无人机系统与技术动态
专知会员服务
2+阅读 · 今天12:48
世界无人无线电情报系统经验分析与实验实现(研究论文)
专知会员服务
3+阅读 · 今天12:44
大规模作战行动中的战术作战评估(研究论文)
专知会员服务
3+阅读 · 今天12:21
(中文长文)城市战与小部队城市战术:来自俄乌战争的观察
专知会员服务
3+阅读 · 今天12:13
未来的海战无人自主系统
专知会员服务
2+阅读 · 今天12:05
美军多域作战现状分析:战略、概念还是幻想?
专知会员服务
3+阅读 · 今天11:52
(中文万字长文)美智库:针对伊朗的防空作战分析(报告)
专知会员服务
15+阅读 · 今天7:12
无人机与反无人机系统(书籍)
专知会员服务
14+阅读 · 今天6:45
(中文万字长文)2025-2026年乌克兰无人机拦截技术演进:反无人机技术、项目、效果、西方援助
专知会员服务
6+阅读 · 今天6:12
美陆军2026条令:安全与机动支援
专知会员服务
5+阅读 · 今天5:49
【牛津博士论文】以语言为接口的医学影像表示学习
专知会员服务
11+阅读 · 4月13日
基于大语言模型的医疗推理研究:综述与 MR-Bench 基准测试
专知会员服务
9+阅读 · 4月13日
从原型到实战:扩展美陆军下一代指挥控制能力(试验进展)
专知会员服务
12+阅读 · 4月13日
技术、多域威慑与海上战争(报告)
专知会员服务
8+阅读 · 4月13日
相关VIP内容
克服小样本学习中灾难性遗忘方法研究
专知会员服务
51+阅读 · 2020年7月16日
【ICML2020】深度神经网络置信感知学习,Confidence-Aware Learning for Deep Neural Networks
专知会员服务
74+阅读 · 2020年7月6日
【ICML2020-南大周志华老师组】针对未见类未标记数据的安全深度半监督学习
专知会员服务
42+阅读 · 2020年7月5日
【ICML2020-天津大学】多智能体深度强化学习中的Q值路径分解
专知会员服务
81+阅读 · 2020年7月2日
【ICML2020-伯克利】反直觉!大模型重压缩提升Transformer的训练和推理效率,47页ppt
专知会员服务
70+阅读 · 2020年7月1日
【ICML2020】对比多视角表示学习
专知会员服务
53+阅读 · 2020年6月28日
最新《深度半监督学习》综述论文,43页pdf
专知会员服务
156+阅读 · 2020年6月12日
【ICML2020】小样本目标检测
专知会员服务
91+阅读 · 2020年6月2日
【MIT-Google】反思小样本图像分类:一个好的嵌入是你所需要的全部?
专知会员服务
36+阅读 · 2020年3月28日
【ICML2020提交论文】Learning@home:众包与分散Mixture-of-Experts训练的神经网络(Learning@home: Crowdsourced Training of Large Neural Networks with Decentralized Mixture-of-Experts)
专知会员服务
10+阅读 · 2020年2月12日
热门VIP内容
开通专知VIP会员 享更多权益服务
国外反无人机系统与技术动态
大规模作战行动中的战术作战评估(研究论文)
美伊停火协议:评估、各方反应及美国会面临的问题
世界无人无线电情报系统经验分析与实验实现(研究论文)
相关资讯
【ICML2020-南大周志华老师组】针对未见类未标记数据的安全深度半监督学习
专知
46+阅读 · 2020年7月5日
模型攻击:鲁棒性联邦学习研究的最新进展
机器之心
35+阅读 · 2020年6月3日
目标检测数据标注成本高怎么破?主动学习的自适应监督框架
AI科技评论
9+阅读 · 2019年10月11日
【FCS优秀青年计算机科学家论坛】李宇峰:安全半监督学习综述
FCS
6+阅读 · 2019年6月17日
【学界】虚拟对抗训练:一种新颖的半监督学习正则化方法
GAN生成式对抗网络
10+阅读 · 2019年6月9日
虚拟对抗训练:一种新颖的半监督学习正则化方法
人工智能前沿讲习班
8+阅读 · 2019年6月9日
【上海交大】半监督学习理论及其研究进展概述
专知
43+阅读 · 2019年6月2日
CVPR 2018 | 伯克利等提出无监督特征学习新方法,代码已开源
AI前线
12+阅读 · 2018年5月13日
已删除
将门创投
3+阅读 · 2018年4月10日
机器学习自动文本分类
AI前线
23+阅读 · 2018年2月4日
相关论文
CURL: Contrastive Unsupervised Representations for Reinforcement Learning
Arxiv
17+阅读 · 2020年4月28日
A Simple Framework for Contrastive Learning of Visual Representations
Arxiv
21+阅读 · 2020年2月13日
Graph Transformer Networks
Arxiv
15+阅读 · 2020年2月5日
Risk-Aware Active Inverse Reinforcement Learning
Arxiv
8+阅读 · 2019年1月8日
Multi-class Classification without Multi-class Labels
Arxiv
4+阅读 · 2019年1月2日
Few-shot classification in Named Entity Recognition Task
Arxiv
6+阅读 · 2018年12月14日
To Cluster, or Not to Cluster: An Analysis of Clusterability Methods
Arxiv
4+阅读 · 2018年8月24日
Watch, Listen, and Describe: Globally and Locally Aligned Cross-Modal Attentions for Video Captioning
Arxiv
6+阅读 · 2018年4月15日
Weakly Supervised One-Shot Detection with Attention Siamese Networks
Arxiv
14+阅读 · 2018年1月12日
Natural Language Guided Visual Relationship Detection
Arxiv
3+阅读 · 2017年11月21日
大家都在搜
maven
palantir
无人机系统
无人机蜂群
时事直通
助贷模式
terraform
篮球制作
分布式事务
GitHub上已超过
Top
提示
微信扫码
咨询专知VIP会员与技术项目合作
(加微信请备注: "专知")
微信扫码咨询专知VIP会员
Top