用R语言实现信息度量

2019 年 2 月 11 日 R语言中文社区

作者:张丹,R语言中文社区专栏特邀作者,《R的极客理想》系列图书作者,民生银行大数据中心数据分析师,前况客创始人兼CTO。
个人博客 http://fens.me, Alexa全球排名70k。


前言

香农的《通信的数学理论》是20世纪非常伟大的著作,被认为是现代信息论研究的开端。信息论定义了信息熵,用于把信息进行度量,以比特(bit)作为量纲单位,为如今发达的信息产业和互联网产业奠定了基础。本文接上一篇文章R语言实现46种距离算法,继续philentropy包的介绍,包括信息度量函数的使用。

目录

  1. 信息熵介绍

  2. 关键概念

  3. 信息度量函数

  4. 应用举例


1.信息熵介绍

信息论(Information Theory)是概率论与数理统计的一个分枝,用于研究信息处理、信息熵、通信系统、数据传输、率失真理论、密码学、信噪比、数据压缩等问题的应用数学学科。信息论将信息的传递作为一种统计现象来考虑,给出了估算通信信道容量的方法。信息传输和信息压缩是信息论研究中的两大领域。

香农被称为是“信息论之父”,香农于1948年10月发表的A Mathematical Theory of Communication,通信的数学理论(中文版),通常被认为是现代信息论研究的开端。

信息熵,是对信息随机性的量度,又指信息能被压缩的极限,用bit作为衡量信息的最小单位。一切信息所包含的信息量,都是1bit的正整数倍。计算机系统中常采用二进制编码,一个0或1就是1bit。

举例来说明一下信息熵的计算原理,假设小明最喜欢5种水果,苹果、香蕉、西瓜、草莓、樱桃中的一种,如果小明没有偏爱,选择每种水果的概率都是20%,那么这一信息的信息熵为

H(A) = -1*(0.2*log2(0.2)*5)
= 2.321928 bits


如果小明偏爱香蕉,选择这5种水果的概率分别是10%,20%,45%,15%,10%,那么这一信息信息熵为

H(B)=-1*(0.1*log2(0.1)+0.2*log2(0.2)+0.45*log2(0.45)+0.15*log2(0.15)+0.1*log2(0.1))
= 2.057717 bits

从结果得到H(A)大于H(B),信息熵越大表示越不确定。对于B的情况,对某一种水果的偏好,比A增加了确定性的因素,所以H(B)小于H(A)是符合对于信息熵的定义的。


2.关键概念

我们从一幅图来认识信息熵,图中显示了随机变量X和Y的2个集合,在信息熵的概念里的所有可能逻辑关系。两个圆所包含的面积为联合熵H(X,Y), 左边的整个圆表示X的熵H(X),左边半圆是条件熵H(X|Y)。 右边的整个圆表示Y的熵H(Y),右边半圆条件熵H(Y|X),中间交集的部分是互信息I(X; Y)

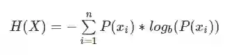
信息熵(Entropy):是对信息随机性的量度,用于计算信息能被压缩的极限。对随机变量X,不确定性越大,X的信息熵H(X)也就越大。

公式定义:

H(x)的取值范围,0<=H(x)<=log(n), 其中n是随机变量x取值的种类数。需要注意的是,熵只依赖于随机变量的分布,与随机变量取值无关。

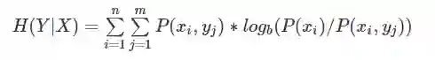
条件熵(Conditional Entropy):表示两个随机变量X和Y,在已知Y的情况下对随机变量X的不确定性,称之为条件熵H(X|Y),

公式定义:

联合熵(Joint Entropy):表示为两个随机事件X和Y的熵的并集,联合熵解决将一维随机变量分布推广到多维随机变量分布。

公式定义:

互信息(Mutual Information, 信息增益):两个随机变量X和Y,Y对X的互信息,为后验概率与先验概率比值的对数,即原始的熵H(X)和已知Y的情况下的条件熵H(X|Y)的比值的对数,信息增益越大表示条件Y对于确定性的贡献越大。互信息,也可以用来衡量相似性。

公式定义:

当MI(X,Y)=0时,表示两个事件X和Y完全不相关。决策树ID3算法就是使用信息增益来划分特征,信息增益大时,说明对数据划分帮助很大,优先选择该特征进行决策树的划分。

信息增益比率:是信息增益与该特征的信息熵之比,用于解决信息增益对多维度特征的选择,决策树C4.5算法使用信息增益比率进行特征划分。

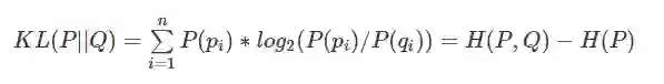
KL散度(Kullback–Leibler Divergence, 相对熵):随机变量x取值的两个概率分布p和q,用来衡量这2个分布的差异,通常用p表示真实分布,用q表示预测分布。

公式定义:

n为事件的所有可能性,如果两个分布完全相同,那么它们的相关熵为0。如果相对熵KL越大,说明它们之间的差异越大,反之相对熵KL越小,说明它们之间的差异越小。

交叉熵(Cross Entropy):是对KL散度的一种变型,把KL散度log(p(x)/q(x))进行拆分,前面部分就是p的熵H(p),后面就是交叉熵H(p,q)。

公式定义:

交叉熵可以用来计算学习模型分布与训练分布之间的差异,一般在机器学习中直接用交叉熵做损失函数,用于评估模型。

信息论是通信理论的基础,也是xx的基础,关于信息论的理论,等后面有时时间再做分享,本文重要研究信息熵的函数计算问题。


3.信息度量函数

philentropy包的函数,主要分为3种类别的函数,第一类是距离测量的函数,第二类是相关性分析,第三类是信息度量函数,本文重点介绍这些信息度量的函数。有关于距离测量函数和相关性分析函数,请参考文章R语言实现46种距离算法

我们来看一下,philentropy包里信息度量的函数:

  • H(): 香农熵, Shannon’s Entropy H(X)

  • JE() : 联合熵, Joint-Entropy H(X,Y)

  • CE() : 条件熵, Conditional-Entropy H(X|Y)

  • MI() : 互信息, Shannon’s Mutual Information I(X,Y)

  • KL() : KL散度, Kullback–Leibler Divergence

  • JSD() : JS散度,Jensen-Shannon Divergence

  • gJSD() : 通用JS散度,Generalized Jensen-Shannon Divergence

本文的系统环境为:

  • Win10 64bit

  • R: 3.4.2 x86_64-w64-mingw32


3.1

H()香农熵

H()函数,可用于快速计算任何给定概率向量的香农熵。

H()函数定义:

H (x, unit = "log2"

参数列表:

  • x, 概率向量

  • unit,对数化的单位,默认为log2

函数使用:

      
      
        
 1# 创建数据x
2> x<-1:10;x
3 [1]  1  2  3  4  5  6  7  8  9 10
4> x1<-x/sum(x);x1
5 [10.01818182 0.03636364 0.05454545 0.07272727
6 [50.09090909 0.10909091 0.12727273 0.14545455
7 [90.16363636 0.18181818
8
9# 计算香农熵
10> H(px)
11[13.103643


同样地,我们也可以用程序实现公式自己算一下。

   
   
     
1# 创建数据x
2> x<-1:10
3#计算x的概率密度px
4> px<-x/sum(x)  
5
6# 根据公式计算香农熵
7> -1*sum(px*log2(px))
8[1] 3.103643

我们动手的计算结果,用于H()函数的计算结果是一致的。

3.2

CE()条件熵

CE()函数,基于给定的联合概率向量P(X,Y)和概率向量P(Y),根据公式 H(X|Y)= H(X,Y)-H(Y)计算香农的条件熵。

函数定义:

CE(xy, y, unit = "log2")

参数列表:

  • xy, 联合概率向量

  • y, 概率向量,必须是随机变量y的概率分布

  • unit,对数化的单位,默认为log2

函数使用:

      
      
        
1> x3<- 1:10/sum(1:10)
2> y3<- 30:40/sum(30:40)
3
4# 计算条件熵
5> CE(x3, y3)
6[1] -0.3498852


3.3

 JE()联合熵

JE()函数,基于给定的联合概率向量P(X,Y)计算香农的联合熵H(X,Y)。

JE()函数定义:

JE (x, unit = "log2"

参数列表:

  • x, 联合概率向量

  • unit,对数化的单位,默认为log2

函数使用:

         
         
           
1# 创建数据x
2> x2 <- 1:100/sum(1:100)
3
4# 联合熵
5> JE(x2)
6[1] 6.372236


3.4

MI()互信息

MI()函数,根据给定联合概率向量P(X,Y)、概率向量P(X)和概率向量P(X),按公式I(X,Y)= H(X)+ H(Y)-H(X,Y)计算。

函数定义:

MI(x, y, xy, unit = "log2")

参数列表:

  • x, 概率向量

  • x, 概率向量

  • xy, 联合概率向量

  • unit,对数化的单位,默认为log2

函数使用:

1# 创建数据集
2> x3 <- 1:10/sum(1:10)
3> y3<- 20:29/sum(20:29)
4> xy3 <- 1:10/sum(1:10)
5
6# 计算互信息
7> MI(x3, y3, xy3)
8[1] 3.311973


3.5

KL()散度

KL()函数,计算两个概率分布P和Q的Kullback-Leibler散度。
函数定义:

KL(x, test.na = TRUE, unit = "log2", est.prob = NULL)

参数列表:

  • x, 概率向量或数据框

  • test.na, 是否检查NA值

  • unit,对数化的单位,默认为log2

  • est.prob, 用计数向量估计概率的方法,默认值NULL。

函数使用:

 1# 创建数据集
2> df4 <- rbind(x3,y3);df4
3         [,1]       [,2]       [,3]       [,4]       [,5]      [,6]      [,7]      [,8]      [,9]
4x3 0.01818182 0.03636364 0.05454545 0.07272727 0.09090909 0.1090909 0.1272727 0.1454545 0.1636364
5y3 0.08163265 0.08571429 0.08979592 0.09387755 0.09795918 0.1020408 0.1061224 0.1102041 0.1142857
6       [,10]
7x3 0.1818182
8y3 0.1183673
9
10#
 计算KL散度 
11> KL(df4, unit = "log2"# Default
12kullback-leibler 
13       0.1392629 
14> KL(df4, unit = "log10")
15kullback-leibler 
16       0.0419223 
17> KL(df4, unit = "log")
18kullback-leibler 
19      0.09652967 


3.6

JSD()散度

JSD()函数,基于具有相等权重的Jensen-Shannon散度,计算距离矩阵或距离值。

公式定义:

函数定义:

JSD(x, test.na = TRUE, unit = "log2", est.prob = NULL)

参数列表:

  • x, 概率向量或数据框

  • test.na, 是否检查NA值

  • unit, 对数化的单位,默认为log2

  • est.prob, 用计数向量估计概率的方法,默认值NULL。


函数使用:

 1# 创建数据
2> x5 <- 1:10
3> y5 <- 20:29
4> df5 <- rbind(x5,y5)
5
6#
 计算JSD
7> JSD(df5,unit='log2')
8jensen-shannon 
9      50.11323 
10> JSD(df5,unit='log')
11jensen-shannon 
12      34.73585 
13> JSD(df5,unit='log10')
14jensen-shannon 
15      15.08559 
16
17#
 计算JSD,满足est.prob
18> JSD(df5, est.prob = "empirical")
19jensen-shannon 
20    0.03792749 


3.7

gJSD()散度

gJSD()函数,计算概率矩阵的广义Jensen-Shannon散度。

公式定义:

函数定义:

gJSD(x, unit = "log2", weights = NULL)

参数列表:

  • x, 概率矩阵

  • unit, 对数化的单位,默认为log2

  • weights, 指定x中每个值的权重,默认值NULL。


函数使用:

1# 创建数据
2> Prob <- rbind(1:10/sum(1:10), 20:29/sum(20:29), 30:39/sum(30:39))
3
4# 计算gJSD
5> gJSD(Prob)
6[1] 0.023325



4.应用举例

在我们了解了熵的公式原理和使用方法后,我们就可以做一个案例来试一下。我们定义一个场景的目标:通过用户的看书行为,预测用户是否爱玩游戏。通过我们一步一步地推倒,我们计算出熵,条件熵,联合熵,互信息等指标。

第一步,创建数据集为2列,X列用户看书的类型,包括旅游(Tourism)、美食(Food)、IT技术(IT),Y列用户是否喜欢打游戏,喜欢(Y),不喜欢(N)。

      
      
        
X,Y
Tourism,Y
Food,N
IT,Y
Tourism,N
Tourism,N
IT,Y
Food,N
Tourism,Y


第二步,建立联合概率矩阵,分别计算H(X),Y(X)。

计算过程

   
   
     
# 分别计算每种情况的概率
p(X=Tourism) = 2/8 + 2/8 = 0.5
p(X=Food) = 2/8 + 0/8 = 0.25
p(X=IT) = 0/8 + 2/8 = 0.25
p(Y=Y) = 4/8 = 0.5
p(Y=N) = 4/8 = 0.5

# 计算H(X)
H(X) = -∑p(xi)*log2(p(xi)) 
 = -p(X=Tourism)*log2(p(X=Tourism) ) -p(X=Food)*log2(p(X=Food) ) -p(X=IT)*log2(p(X=IT) ) 
 = -0.5*log(0.5) -0.25*log(0.25) - 0.25*log(0.25)
 = 1.5

# 计算H(Y)
H(Y) = -∑p(yi)*log2(p(yi)) 
 = -p(Y=Y)*log2(p(Y=Y)) -p(Y=N)*log2(p(Y=N))
 = -0.5*log(0.5) -0.5*log(0.5)
 = 1


第三步,计算每一项的条件熵,H(Y|X=Tourism),H(Y|X=Food),H(Y|X=IT)。

   
   
     
H(Y|X=Tourism) = -p(Y|X=Tourism)*log(p(Y|X=Tourism)) - p(N|X=Tourism)*log(p(N|X=Tourism))
 = -0.5*log(0.5) -0.5*log(0.5)
 = 1

H(Y|X=Food) = -p(Y|X=Food)*log(p(Y|X=Food)) -p(N|X=Food)*log(p(N|X=Food))
 = -0*log(0) -1*log(1)
 = 0

H(Y|X=IT) = -p(Y|X=IT)*log(p(Y|X=IT)) -p(N|X=IT)*log(p(N|X=IT))
 = -1*log(1) -0*log(0) 
 = 0


第四步,计算条件熵H(Y|X)

H(Y|X) = ∑p(xi)*H(Y|xi)
 = p(X=Tourism)*H(Y|X=Tourism) + p(X=Food)*H(Y|X=Food) + p(X=IT)*H(Y|X=IT)
 = 0.5*1 + 0.25*0 + 0.25*0
 = 0.5


第五步,计算联合熵H(X,Y)

H(X,Y) = −∑p(x,y)log(p(x,y))
= H(X) + H(Y|X)
= 1.5 + 0.5
= 2


第六步,计算互信息I(X;Y)

I(X;Y) = H(Y) - H(Y|X)  = 1 - 0.5 = 0.5
= H(X) + H(Y) - H(X,Y) = 1.5 + 1 - 2 = 0.5


我们把上面的推到过程,用程序来实现一下。

 1# 创建数据集
2> X<-c('Tourism','Food','IT','Tourism','Tourism','IT','Food','Tourism')
3> Y<-c('Y','N','Y','N','N','Y','N','Y'
4> df<-cbind(X,Y);df
5     X         Y  
6[1,] "Tourism" "Y"
7[2,] "Food"    "N"
8[3,] "IT"      "Y"
9[4,] "Tourism" "N"
10[5,] "Tourism" "N"
11[6,] "IT"      "Y"
12[7,] "Food"    "N"
13[8,] "Tourism" "Y
14


变型为频率矩阵

1tf<-table(df[,1],df[,2]);tf
2
3          N Y
4  Food    2 0
5  IT      0 2
6  Tourism 2 2


计算概率矩阵

 1> pX<-margin.table(tf,1)/margin.table(tf);pX
2Tourism    Food      IT 
3   0.50    0.25    0.25 
4> pY<-margin.table(tf,2)/margin.table(tf);pY
5  Y   N 
60.5 0.5 
7> pXY<-prop.table(tf);pXY
8           Y    N
9Tourism 0.25 0.25
10Food    0.00 0.25
11IT      0.25 0.00


计算熵

 1> H(pX)
2[11.5
3> H(pY)
4[11
5
6# 条件熵 
7> CE(pX,pY)
8[10.5
9
10# 联合熵 
11> JE(pXY)
12[12
13
14# 互信息
15> MI(pX,pY,pXY)
16[10.5


计算原理是复杂的,用R语言的程序实现却是很简单的,几行代码就搞定了。


本文只是对的信息论的初探,重点还是在信息度量方法的R语言实现。信息熵作为信息度量的基本方法,对各种主流的机器学习的算法都有支撑,是我们必须要掌握的知识。了解本质才能发挥数据科学的潜力,学习的路上不断积累和前进。



往期精彩:



公众号后台回复关键字即可学习

回复 爬虫            爬虫三大案例实战
回复 Python       1小时破冰入门
回复 数据挖掘     R语言入门及数据挖掘
回复 人工智能     三个月入门人工智能
回复 数据分析师  数据分析师成长之路 
回复 机器学习     机器学习的商业应用
回复 数据科学     数据科学实战
回复 常用算法     常用数据挖掘算法


友情提醒


今天上称前请确保周围环境的安全!!!


上班第一天,祝你有个好心情↓

登录查看更多
0

相关内容

信息理论的鼻祖之一Claude E. Shannon把信息(熵)定义为离散随机事件的出现概率。所谓信息熵,是一个数学上颇为抽象的概念,在这里不妨把信息熵理解成某种特定信息的出现概率。而信息熵和热力学熵是紧密相关的。
【干货书】用于概率、统计和机器学习的Python,288页pdf
专知会员服务
293+阅读 · 2020年6月3日
Python导论,476页pdf,现代Python计算
专知会员服务
266+阅读 · 2020年5月17日
新时期我国信息技术产业的发展
专知会员服务
71+阅读 · 2020年1月18日
机器学习领域必知必会的12种概率分布(附Python代码实现)
算法与数学之美
21+阅读 · 2019年10月18日
R语言自然语言处理:情感分析
R语言中文社区
16+阅读 · 2019年4月16日
文本挖掘中特征选择(附python实现)
七月在线实验室
4+阅读 · 2018年5月22日
R语言之数据分析高级方法「时间序列」
R语言中文社区
17+阅读 · 2018年4月24日
干货:10 种机器学习算法的要点(附 Python代码)
全球人工智能
4+阅读 · 2018年1月5日
【直观详解】信息熵、交叉熵和相对熵
机器学习研究会
10+阅读 · 2017年11月7日
朴素贝叶斯和贝叶斯网络算法及其R语言实现
R语言中文社区
10+阅读 · 2017年10月2日
文本挖掘之特征选择(python 实现)
数据挖掘入门与实战
4+阅读 · 2017年7月19日
详解基于朴素贝叶斯的情感分析及Python实现
AI研习社
9+阅读 · 2017年7月12日
Arxiv
7+阅读 · 2018年12月26日
Learning Implicit Fields for Generative Shape Modeling
Arxiv
11+阅读 · 2018年12月6日
Deep Learning for Generic Object Detection: A Survey
Arxiv
14+阅读 · 2018年9月6日
VIP会员
最新内容
美军MAVEN项目全面解析:算法战架构
专知会员服务
13+阅读 · 今天8:36
从俄乌战场看“马赛克战”(万字长文)
专知会员服务
8+阅读 · 今天8:19
最新“指挥控制”领域出版物合集(16份)
专知会员服务
15+阅读 · 4月12日
面向军事作战需求开发的人工智能(RAIMOND)
专知会员服务
20+阅读 · 4月12日
远程空中优势:新一代超视距导弹的兴起
专知会员服务
4+阅读 · 4月12日
大语言模型溯因推理的统一分类学与综述
专知会员服务
6+阅读 · 4月12日
相关资讯
机器学习领域必知必会的12种概率分布(附Python代码实现)
算法与数学之美
21+阅读 · 2019年10月18日
R语言自然语言处理:情感分析
R语言中文社区
16+阅读 · 2019年4月16日
文本挖掘中特征选择(附python实现)
七月在线实验室
4+阅读 · 2018年5月22日
R语言之数据分析高级方法「时间序列」
R语言中文社区
17+阅读 · 2018年4月24日
干货:10 种机器学习算法的要点(附 Python代码)
全球人工智能
4+阅读 · 2018年1月5日
【直观详解】信息熵、交叉熵和相对熵
机器学习研究会
10+阅读 · 2017年11月7日
朴素贝叶斯和贝叶斯网络算法及其R语言实现
R语言中文社区
10+阅读 · 2017年10月2日
文本挖掘之特征选择(python 实现)
数据挖掘入门与实战
4+阅读 · 2017年7月19日
详解基于朴素贝叶斯的情感分析及Python实现
AI研习社
9+阅读 · 2017年7月12日
Top
微信扫码咨询专知VIP会员