[有意思的数学] 一元线性回归

2017 年 6 月 29 日 机器学习和数学 Alvin_2580

回归分析是机器学习中非常重要的一个模型,常见的回归模型比如一元线性回归,多元线性回归,逻辑回归,非线性回归,岭回归,Lasso回归,支持向量回归等等,而一元线性回归是其他类型的回归分析的基础,所以掌握了一元回归分析的思想,其他的就好理解了。从数学的角度讲,一元回归分析的目的是为了找到两组变量之间的关系。对于回归分析来说,首先需要确定的是回归方程的系数,然后需要对回归方程做假设检验,做这个的目的是为了确定回归关系是否成立,因变量和自变量是否确实存在关系,是否具有统计意义。对回归方程的显著性检验,可以确定全部自变量的总体回归效果。还有一个是对回归系数的检验,回归方程显著,并不能说明每一个自变量都对因变量有影响,而回归系数的检验,可以确定某一个自变量是否对因变量的值有影响,及影响是否显著。但是对于一元线性回归分析来说,回归方程的检验等价于回归系数的检验,因为只有1个因变量,他们的区别体现在多元线性回归分析中。

对于一个确定的了回归方程,我们可以用来做什么?对,可以用来做预测,根据自变量和因变量的历史数据,就可以根据自变量的值推测因变量未来的值,所以我们也要知道,怎么利用回归方程来做预测。还有一个问题是,回归方程是否具有唯一性?参数估计量的置信区间和预测值的置信区间。


下面按照这个思想,看一下每一步具体怎么实现。

 

虽然数学很有意思,但是今天可能不是很有意思。(哭脸)公式有点多,请多一点耐心!


# 回归模型的建立


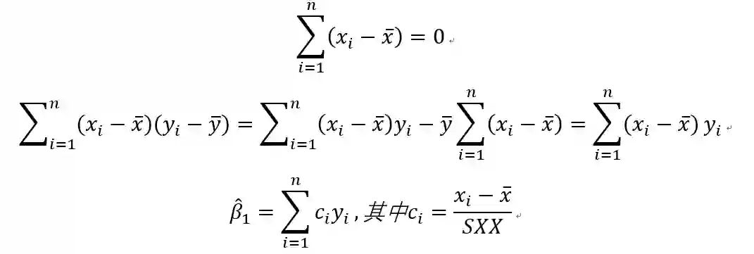
对于样本数据

其中x叫做自变量或者预测变量,y叫做因变量或者响应变量。

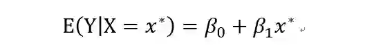
对于简单的线性回归来说,回归分析的目标是当自变量量取确定的值x时,求因变量的期望值:

计算Y的期望值的模型就是我们说的线性回归方程,即:


其中beta0表示直线的截距,beta1表示直线的斜率。


而因变量的实际值为:

其中ei表示随机误差,且期望为0.为什么会有随机误差项呢,它表示因变量中那些不能被自变量解释的部分,也就是所有不能被X解释的因素就是随机误差。对于误差来说,一般有系统误差和随机误差,系统误差是由某种固定的因素造成的,在同样的条件下,系统误差是一直会出现的,而随机误差是由偶然性因素造成的,具有统计意义的分布规律。 

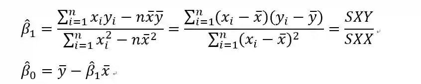
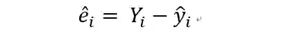
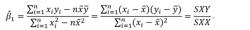
对于线性模型(1)式来说,beta0,beta1是两个未知参数,线性回归的求解过程就是根据样本数据,计算出这两个参数,这里假设估计出的参数分别为b0和b1。称为预测值或者叫拟合值。

我们把真实值和预测值的差,叫做残差。做回归的目标是希望残差越小越好。注意这里一般要求残差是独立的,且具有0均值,同方差的性质,如果残差的均值不一样,就是异方差了。下面这个图1可表示残差的计算。为了求出beta0,beta1两个未知参数,一般的方法就是最小二乘估计,最小二乘的意思是使得全部样本数据的残差的平方和达到最小,平方和最小时,他们的差也达到最小。这样得到的拟合直线就是最优的直线。

图1 残差示意图

假设我们有n个样本点,那么全部样本的残差平方叫做残差平方和,公式

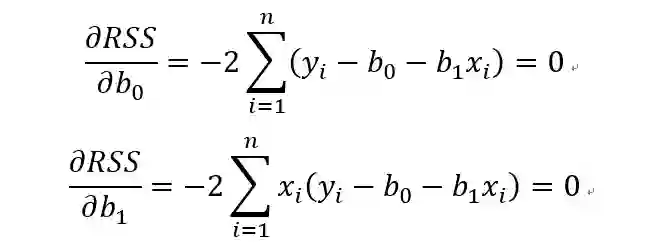
RSS中有2个未知参数b0和b1,为了求RSS的最小值,根据多元函数求极值的方法,分别对b0和b1求偏导数,并令导数为0.

把这两个式子简单做个移项,就可以得到下面这两个式子,一般把这两个式子叫做规范化方程(normal equations)

然后求解这个方程就可以得到

到这里,一元线性回归的模型我们就建立完成了,模型的两个参数求解完毕,beta1尖和beta0尖分别叫做beta1和beta0的估计值。然后我们看一个栗子,如何用R语言实现线性回归。(需要数据的话可以和我联系)


> data <- read.csv("playbill.csv")

> head(data)

> linear <- lm(data$CurrentWeek~data$LastWeek)

> summary(linear) 


这是R做线性回归的输出结果,首先Call表示回归的自变量和因变量。然后是残差的五数概括。然后是系数估计值,Intercept表示截距,第二行表示beta1的估计值,标准误差,t值,p值。然后三个***表示在检验水平为0.001下显著。下面是自由度以及R^2和调整的R^2,最后一行是模型的F检验值,以及对应的P值。

 


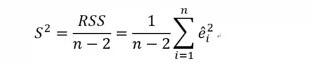
# 回归方程随机项的方差的无偏估计

对于回归方程:

随机误差项具有0均值,同方差的性质。现在要做的是估计方差的值是多少,

对于beta0和beta1的估计值,beta0尖个beta1尖,误差的值可以表示为:

无偏估计为:

这里有个证明,有空可以去看看。



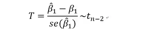
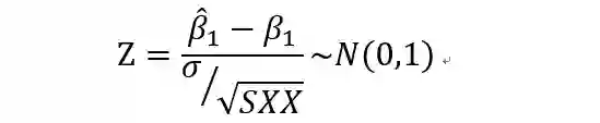
# 回归直线斜率beta的置信区间


前面我们根据最小二乘方法计算出beta1的值:

其中

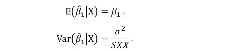
所以在已知自变量的条件下,根据无偏性,beta1的估计值的期望和方差分别为

即,beta1的估计值服从

 

的正态分布。然后将上式化为标准正态分布, 减去均值除以标准差:

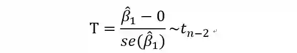
到这里,如果总体方差已知,则使用Z来检验假设,如果总体方差未知,则使用样本方差代替总体方差。

 

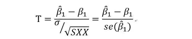
使用t检验。其中se(*)表示的是标准误差(standard errorse

 


回想一下t分布的定义,可以知道这里是服从自由度为n-2的t分布的。自由度的计算公式是样本个数减去带估计参数的个数。

对于假设检验:

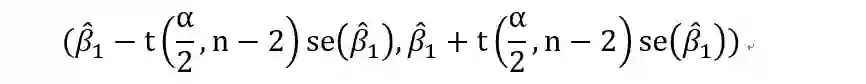
beta1的置信区间为:

 


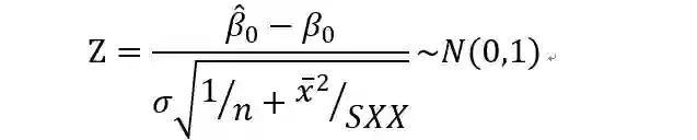
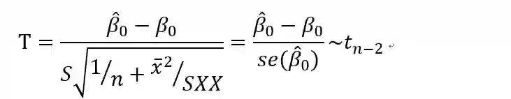
# 直线截距beta0的置信区间


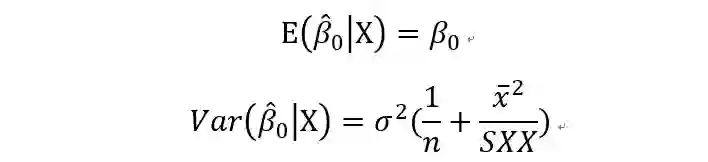
其中beta0的期望和方差为:

所以beta0服从

检验统计量

如果方差未知,则用样本标准差代替总体方差。

对于假设检验:

得到beta0的置信区间为:


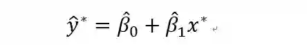
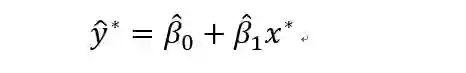
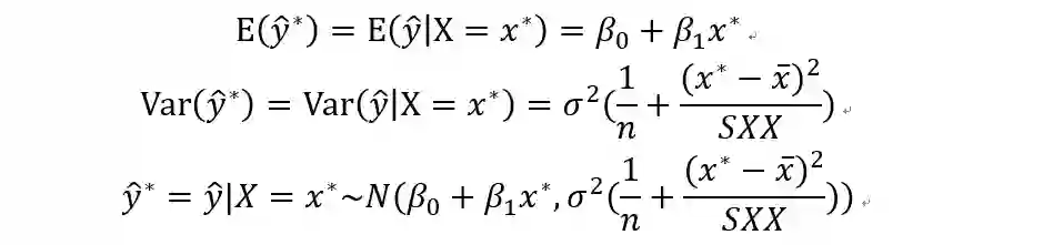
# 回归直线的置信区间

对于回归分析得到的回归方程,我们可以做两件事情,一个是对于给定的自变量的值,估计因变量的值;另一个问题是估计因变量的区间。估计值来说,相对比较简单,将自变量的值带进回归方程算一下就ok了。下面看一下怎么求置信区间。

对于确定的自变量的值,带入回归直线中可以得到,

等价于

 

然后用样本方差代替总体方差

就得到了y的置信区间:

 


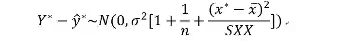
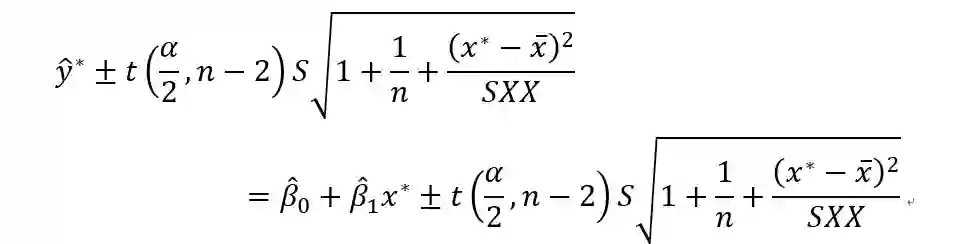
# 预测区间

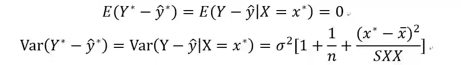
刚才说的是置信区间,预测区间和置信区间的区别是什么呢,一般来说,置信区间是对于回归方程中的某个参数来说的,而预测区间是对于给定一个自变量的值,对于因变量的值的预测。这是最主要的区别,别搞混了。

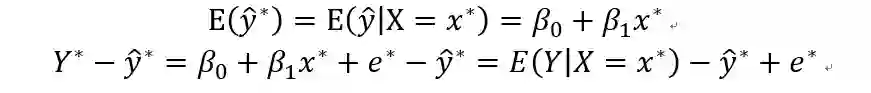
对于给定自变量x*,预测值记做y*。

等价于

期望:

残差的期望和方差为:

分布就是:

统计量:

可得Y的预测区间为:

 

# 回归系数的t检验和回归方程的F检验

对于系数beta1,做假设检验

为了做这个检验,我们选择检验统计量T,

再看一下,总平方和

残差平方和:

回归平方和:

如果对于每个样本i来说,如果预测值和平均值很接近的话,回归平方和趋于0.

总平方和=回归平方和+残差平方和

对于回归方程的显著性检验,可以用F检验。

F服从自由度为(1,n-2)的F分布。在检验水平为alpha时,如果F大于F(1,n-2),那么就拒绝原假设,说明回归方程是显著的。另外一个衡量回归方程显著性的是R方也叫拟合优度,判定系数,可决系数,都是一个意思,R方越大,表明回归方程越显著。

调整的R方:


一元线性回归就先到这里了,不知道大家理解了没有,感觉讲的不太好。(哭)



=============end=============

登录查看更多
3

相关内容

线性回归是利用数理统计中回归分析,来确定两种或两种以上变量间相互依赖的定量关系的一种统计分析方法,运用十分广泛。其表达形式为y = w'x+e,e为误差服从均值为0的正态分布。

知识荟萃

精品入门和进阶教程、论文和代码整理等

更多

查看相关VIP内容、论文、资讯等
【经典书】机器学习高斯过程,266页pdf
专知会员服务
200+阅读 · 2020年5月2日
机器学习速查手册,135页pdf
专知会员服务
345+阅读 · 2020年3月15日
【经典书】精通机器学习特征工程,中文版,178页pdf
专知会员服务
360+阅读 · 2020年2月15日
一文读懂线性回归、岭回归和Lasso回归
CSDN
34+阅读 · 2019年10月13日
机器学习者都应该知道的五种损失函数!
数盟
5+阅读 · 2018年6月21日
线性回归:简单线性回归详解
专知
12+阅读 · 2018年3月10日
【机器学习数学基础】动图解释泰勒级数(一)
机器学习研究会
6+阅读 · 2018年2月25日
最适合机器学习新手的10种算法
论智
9+阅读 · 2018年1月23日
干货:10 种机器学习算法的要点(附 Python代码)
全球人工智能
4+阅读 · 2018年1月5日
机器学习(13)之最大熵模型详解
机器学习算法与Python学习
7+阅读 · 2017年8月24日
[有意思的数学] 参数估计
机器学习和数学
15+阅读 · 2017年6月4日
Bivariate Beta LSTM
Arxiv
6+阅读 · 2019年10月7日
Arxiv
9+阅读 · 2018年10月24日
Arxiv
3+阅读 · 2018年5月20日
Arxiv
19+阅读 · 2018年5月17日
Arxiv
3+阅读 · 2018年2月22日
VIP会员
最新内容
美国与以色列如何在攻击伊朗中使用人工智能
专知会员服务
2+阅读 · 今天16:20
《自动化战略情报管控》
专知会员服务
2+阅读 · 今天14:31
得失评估:审视对伊朗战争的轨迹(简报)
专知会员服务
2+阅读 · 今天14:19
【CMU博士论文】迈向可解释机器学习的理论基础
专知会员服务
2+阅读 · 今天12:23
基于数据优化的人机协同与机器人僚机
专知会员服务
6+阅读 · 今天2:08
相关资讯
一文读懂线性回归、岭回归和Lasso回归
CSDN
34+阅读 · 2019年10月13日
机器学习者都应该知道的五种损失函数!
数盟
5+阅读 · 2018年6月21日
线性回归:简单线性回归详解
专知
12+阅读 · 2018年3月10日
【机器学习数学基础】动图解释泰勒级数(一)
机器学习研究会
6+阅读 · 2018年2月25日
最适合机器学习新手的10种算法
论智
9+阅读 · 2018年1月23日
干货:10 种机器学习算法的要点(附 Python代码)
全球人工智能
4+阅读 · 2018年1月5日
机器学习(13)之最大熵模型详解
机器学习算法与Python学习
7+阅读 · 2017年8月24日
[有意思的数学] 参数估计
机器学习和数学
15+阅读 · 2017年6月4日
Top
微信扫码咨询专知VIP会员