如何评价ST-GCN动作识别算法?

2019 年 5 月 14 日 极市平台

加入极市专业CV交流群,与6000+来自腾讯,华为,百度,北大,清华,中科院等名企名校视觉开发者互动交流!更有机会与李开复老师等大牛群内互动!

同时提供每月大咖直播分享、真实项目需求对接、干货资讯汇总,行业技术交流点击文末“阅读原文”立刻申请入群~


香港中大-商汤科技联合实验室的 AAAI 会议论文「Spatial Temporal Graph Convolution Networks for Skeleton Based Action Recognition」,提出了一种新的 ST-GCN,即时空图卷积网络模型,用于解决基于人体骨架关键点的人类动作识别问题,本文是对这一工作的解读分析。

作者 | 纵横

论文 | https://arxiv.org/pdf/1801.07455.pdf

来源 | 

https://www.zhihu.com/question/276101856/answer/638672980


质胜文则野,文胜质则史,文质彬彬,然后君子。


GCN 升温的这两年里,动作识别领域出了不少好文章。这也不奇怪,毕竟动作识别以前就有 Graph 的相关应用,套用一下 GCN 总是会有提升的。不过,一年过去了,超过 Spatial Temporal Graph Convolution Networks for Skeleton Based Action Recognition 的工作仍然寥寥可数。我等屁民还是挺佩服的~


还在这个领域耕耘的同学们也不用灰心丧气,ST-GCN 作为一篇开山作(或者说占坑文),很多地方都从简了。要想提升不太困难~ 用大粗话来说,作者的主要工作就两点:

  • 使用 OpenPose 处理了视频,提出了一个数据集

  • 结合 GCN 和 TCN 提出了模型,在数据集上效果还不错


但是,这篇文章在工程和学术上都做到了文质彬彬:

  • 从质上讲,文中针对性的改进着实有效,结果比较令人满意

  • 从文上讲,故事讲的很棒,从新的视角整合了卷积、图卷积和时间卷积

  • 从代码讲,结构清晰、实现优雅,可以当做模板


很多同学比较关心 st-gcn 到底做了什么,这里用个简单的思路说说我的理解。


OpenPose 预处理

OpenPose 是一个标注人体的关节(颈部,肩膀,肘部等),连接成骨骼,进而估计人体姿态的算法。作为视频的预处理工具,我们只需要关注 OpenPose 的输出就可以了。


视频中的骨骼标注


总的来说,视频的骨骼标注结果维数比较高。在一个视频中,可能有很多帧(Frame)。每个帧中,可能存在很多人(Man)。每个人又有很多关节(Joint)。每一个关节又有不同特征(位置、置信度)。


关节的特征


对于一个 batch 的视频,我们可以用一个 5 维矩阵 表示。

  • 代表视频的数量,通常一个 batch 有 256 个视频(其实随便设置,最好是 2 的指数)。

  • 代表关节的特征,通常一个关节包含 等 3 个特征(如果是三维骨骼就是 4 个)。

  • 代表关键帧的数量,一般一个视频有 150 帧。

  • 代表关节的数量,通常一个人标注 18 个关节。

  • 代表一帧中的人数,一般选择平均置信度最高的 2 个人。

  • 所以,OpenPose 的输出,也就是 ST-GCN 的输入,形状为


想要搞 End2End 的同学还是要稍微关注一下 OpenPose 的实现的。最近还有基于 heatmap 的工作,效果也不错~


ST-GCN 网络结构

论文中给出的模型描述很丰满,要是只看骨架,网络结构如下:


ST-GCN 网络结构


主要分为三部分:


归一化


首先,对输入矩阵进行归一化,具体实现如下:

N, C, T, V, M = x.size()# 进行维度交换后记得调用 contiguous 再调用 view 保持显存连续x = x.permute(0, 4, 3, 1, 2).contiguous()x = x.view(N * M, V * C, T)x = self.data_bn(x)x = x.view(N, M, V, C, T)x = x.permute(0, 1, 3, 4, 2).contiguous()x = x.view(N * M, C, T, V)


归一化是在时间和空间维度下进行的( )。也就是将一个关节在不同帧下的位置特征(x 和 y 和 acc)进行归一化。


这个操作是利远大于弊的:

  • 关节在不同帧下的关节位置变化很大,如果不进行归一化不利于算法收敛

  • 在不同 batch 不同帧下的关节位置基本上服从随机分布,不会造成不同 batch 归一化结果相差太大,而导致准确率波动。


时空变换


接着,通过 ST-GCN 单元,交替的使用 GCN 和 TCN,对时间和空间维度进行变换:

# N*M(256*2)/C(3)/T(150)/V(18)Input:[512, 3, 150, 18]ST-GCN-1:[512, 64, 150, 18]ST-GCN-2:[512, 64, 150, 18]ST-GCN-3:[512, 64, 150, 18]ST-GCN-4:[512, 64, 150, 18]ST-GCN-5:[512, 128, 75, 18]ST-GCN-6:[512, 128, 75, 18]ST-GCN-7:[512, 128, 75, 18]ST-GCN-8:[512, 256, 38, 18]ST-GCN-9:[512, 256, 38, 18]


空间维度是关节的特征(开始为 3),时间的维度是关键帧数(开始为 150)。在经过所有 ST-GCN 单元的时空卷积后,关节的特征维度增加到 256,关键帧维度降低到 38。


个人感觉这样设计是因为,人的动作阶段并不多,但是每个阶段内的动作比较复杂。比如,一个挥高尔夫球杆的动作可能只需要分解为 5 步,但是每一步的手部、腰部和脚部动作要求却比较多。


read out 输出


最后,使用平均池化、全连接层(或者叫 FCN)对特征进行分类,具体实现如下:

# self.fcn = nn.Conv2d(256, num_class, kernel_size=1)
# global poolingx = F.avg_pool2d(x, x.size()[2:])x = x.view(N, M, -1, 1, 1).mean(dim=1)# predictionx = self.fcn(x)x = x.view(x.size(0), -1)


Graph 上的平均池化可以理解为对 Graph 进行 read out,即汇总节点特征表示整个 graph 特征的过程。这里的 read out 就是汇总关节特征表示动作特征的过程了。通常我们会使用基于统计的方法,例如对节点求 等等。mean 鲁棒性比较好,所以这里使用了 mean。


插句题外话,这里的 卷积和全连接层等效,最近在用 matconvnet 的时候,发现它甚至不提供全连接层,只使用 的卷积。


GCN

从结果上看,最简单的图卷积似乎已经能取得很好的效果了,具体实现如下:

def normalize_digraph(A):    Dl = np.sum(A, 0)    num_node = A.shape[0]    Dn = np.zeros((num_node, num_node))    for i in range(num_node):        if Dl[i] > 0:            Dn[i, i] = Dl[i]**(-1)    AD = np.dot(A, Dn)    return AD


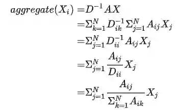
作者在实际项目中使用的图卷积公式就是:


公式可以进行如下化简:



其实就是以边为权值对节点特征求加权平均。其中, 可以理解为卷积核。


归一化的加权平均法


Multi-Kernal

考虑到动作识别的特点,作者并未使用单一的卷积核,而是使用『图划分』,将   分解成了 。(作者其实提出了几种不同的图划分策略,但是只有这个比较好用)


原始图


表示的所有边如上图右侧所示:

  • 两个节点之间有一条双向边

  • 节点自身有一个自环


作者结合运动分析研究,将其划分为三个子图,分别表达向心运动、离心运动和静止的动作特征。


子图划分方法


对于一个根节点,与它相连的边可以分为 3 部分。

  • 第 1 部分连接了空间位置上比本节点更远离整个骨架重心的邻居节点(黄色节点),包含了离心运动的特征。

  • 第 2 部分连接了更为靠近重心的邻居节点(蓝色节点),包含了向心运动的特征。

  • 第 3 部分连接了根节点本身(绿色节点),包含了静止的特征。


子图划分结果


使用这样的分解方法,1 个图分解成了 3 个子图。卷积核也从 1 个变为了 3 个,即 变为 。3 个卷积核的卷积结果分别表达了不同尺度的动作特征。要得到卷积的结果,只需要使用每个卷积核分别进行卷积,在进行加权平均(和图像卷积相同)。


具体实现如下:

A = []for hop in valid_hop:    a_root = np.zeros((self.num_node, self.num_node))    a_close = np.zeros((self.num_node, self.num_node))    a_further = np.zeros((self.num_node, self.num_node))    for i in range(self.num_node):        for j in range(self.num_node):            if self.hop_dis[j, i] == hop:                if self.hop_dis[j, self.center] == self.hop_dis[                        i, self.center]:                    a_root[j, i] = normalize_adjacency[j, i]                elif self.hop_dis[j, self.                                  center] > self.hop_dis[i, self.                                                         center]:                    a_close[j, i] = normalize_adjacency[j, i]                else:                    a_further[j, i] = normalize_adjacency[j, i]    if hop == 0:        A.append(a_root)    else:        A.append(a_root + a_close)        A.append(a_further)A = np.stack(A)self.A = A


Multi-Kernal GCN

现在,我们可以写出带有 个卷积核的图卷积表达式了:


表达式可以用爱因斯坦求和约定表示 。其中,

  • 表示所有视频中的人数(batch * man)

  • 表示卷积核数(使用上面的分解方法 k=3)

  • 表示关节特征数(64 ... 128)

  • 表示关键帧数(150 ... 38)

  • 表示关节数(使用 OpenPose 的话有 18 个节点)


求和代表了节点的加权平均,对 求和代表了不同卷积核 feature map 的加权平均,具体实现如下:

# self.conv = nn.Conv2d(#             in_channels,#             out_channels * kernel_size,#             kernel_size=(t_kernel_size, 1),#             padding=(t_padding, 0),#             stride=(t_stride, 1),#             dilation=(t_dilation, 1),#             bias=bias)
x = self.conv(x)n, kc, t, v = x.size()x = x.view(n, self.kernel_size, kc//self.kernel_size, t, v)x = torch.einsum('nkctv,kvw->nctw', (x, A))return x.contiguous(), A


如果要类比的话,其实和 GoogleNet 的思路有些相似:


都在一个卷积单元中试图利用不同感受野的卷积核,提取不同分量的特征。


GoogleNet


TCN

GCN 帮助我们学习了到空间中相邻关节的局部特征。在此基础上,我们需要学习时间中关节变化的局部特征。如何为 Graph 叠加时序特征,是图网络面临的问题之一。这方面的研究主要有两个思路:时间卷积(TCN)和序列模型(LSTM)。


ST-GCN 使用的是 TCN,由于形状固定,我们可以使用传统的卷积层完成时间卷积操作。为了便于理解,可以类比图像的卷积操作。st-gcn 的 feature map 最后三个维度的形状为 ,与图像 feature map 的形状  相对应。


  • 图像的通道数 对应关节的特征数

  • 图像的宽 对应关键帧数

  • 图像的高 对应关节数


在图像卷积中,卷积核的大小为『w』 『1』,则每次完成 w 行像素,1 列像素的卷积。『stride』为 s,则每次移动 s 像素,完成 1 行后进行下 1 行像素的卷积。


时间卷积示意图


在时间卷积中,卷积核的大小为『temporal_kernel_size』 『1』,则每次完成 1 个节点,temporal_kernel_size 个关键帧的卷积。『stride』为 1,则每次移动 1 帧,完成 1 个节点后进行下 1 个节点的卷积。


具体实现如下:

padding = ((kernel_size[0] - 1) // 2, 0)
self.tcn = nn.Sequential( nn.BatchNorm2d(out_channels), nn.ReLU(inplace=True), nn.Conv2d( out_channels, out_channels, (temporal_kernel_size, 1), (1, 1), padding, ), nn.BatchNorm2d(out_channels), nn.Dropout(dropout, inplace=True),)


再列举几个序列模型的相关工作,感兴趣的同学可以尝试一下:

  • AGC-Seq2Seq 使用的是 Seq2Seq + Attention。

  • ST-MGCN 使用的是 CGRNN。

  • DCRNN 使用的是 GRU。


Attention

作者在进行图卷积之前,还设计了一个简易的注意力模型(ATT)。

# 注意力参数# 每个 st-gcn 单元都有自己的权重参数用于训练self.edge_importance = nn.ParameterList([    nn.Parameter(torch.ones(self.A.size()))    for i in self.st_gcn_networks])# st-gcn 卷积for gcn, importance in zip(self.st_gcn_networks, self.edge_importance):    print(x.shape)    # 关注重要的边信息    x, _ = gcn(x, self.A * importance)


其实很好理解,在运动过程中,不同的躯干重要性是不同的。例如腿的动作可能比脖子重要,通过腿部我们甚至能判断出跑步、走路和跳跃,但是脖子的动作中可能并不包含多少有效信息。


因此,ST-GCN 对不同躯干进行了加权(每个 st-gcn 单元都有自己的权重参数用于训练)。


结束

上面的内容主要是在讲『文质彬彬』中的『质』,其实我感觉『文』才是比较难的部分。在写论文的过程中,找到一个好的视角,流畅地表达出模型的可解释性是非常可贵的。


研一这一年,导师都在教我如何讲好一个故事,与君共勉吧~





*延伸阅读



点击左下角阅读原文”,即可申请加入极市目标跟踪、目标检测、工业检测、人脸方向、视觉竞赛等技术交流群,更有每月大咖直播分享、真实项目需求对接、干货资讯汇总,行业技术交流,一起来让思想之光照的更远吧~



觉得有用麻烦给个在看啦~  

登录查看更多
16

相关内容

图卷积网络(简称GCN),由Thomas Kpif于2017年在论文Semi-supervised classification with graph convolutional networks中提出。它为图(graph)结构数据的处理提供了一个崭新的思路,将深度学习中常用于图像的卷积神经网络应用到图数据上。

知识荟萃

精品入门和进阶教程、论文和代码整理等

更多

查看相关VIP内容、论文、资讯等
【KDD2020】自适应多通道图卷积神经网络
专知会员服务
121+阅读 · 2020年7月9日
CVPR2020 | 商汤-港中文等提出PV-RCNN:3D目标检测新网络
专知会员服务
45+阅读 · 2020年4月17日
KGCN:使用TensorFlow进行知识图谱的机器学习
专知会员服务
83+阅读 · 2020年1月13日
八篇 ICCV 2019 【图神经网络(GNN)+CV】相关论文
专知会员服务
30+阅读 · 2020年1月10日
图卷积在基于骨架的动作识别中的应用
极市平台
24+阅读 · 2019年6月4日
行为识别(action recognition)目前的难点在哪?
极市平台
36+阅读 · 2019年2月14日
视频理解 S3D,I3D-GCN,SlowFastNet, LFB
极市平台
7+阅读 · 2019年1月31日
【紫冬分享】基于人体骨架的行为识别
中国科学院自动化研究所
20+阅读 · 2019年1月18日
干货|基于双流递归神经网络的人体骨架行为识别!
全球人工智能
13+阅读 · 2017年12月15日
【技术分享】基于双流递归神经网络的人体骨架行为识别
机器学习研究会
5+阅读 · 2017年9月1日
干货|基于图卷积网络的图深度学习
DataCanvas大数据云平台
10+阅读 · 2017年6月8日
Arxiv
15+阅读 · 2019年3月16日
VIP会员
最新内容
战略前沿人工智能的再思考(中文)
专知会员服务
5+阅读 · 5月29日
《量化地基防空系统间接效应的博弈论方法》
专知会员服务
5+阅读 · 5月29日
“史诗怒火行动”中美军损失的作战飞机
专知会员服务
5+阅读 · 5月29日
ICML 2026 | 理解上下文持续学习中的泛化与遗忘
专知会员服务
5+阅读 · 5月28日
Agent Harness综述:大模型智能体执行器工程全景
专知会员服务
14+阅读 · 5月28日
《基于理论的威慑效能评估》
专知会员服务
8+阅读 · 5月28日
相关资讯
图卷积在基于骨架的动作识别中的应用
极市平台
24+阅读 · 2019年6月4日
行为识别(action recognition)目前的难点在哪?
极市平台
36+阅读 · 2019年2月14日
视频理解 S3D,I3D-GCN,SlowFastNet, LFB
极市平台
7+阅读 · 2019年1月31日
【紫冬分享】基于人体骨架的行为识别
中国科学院自动化研究所
20+阅读 · 2019年1月18日
干货|基于双流递归神经网络的人体骨架行为识别!
全球人工智能
13+阅读 · 2017年12月15日
【技术分享】基于双流递归神经网络的人体骨架行为识别
机器学习研究会
5+阅读 · 2017年9月1日
干货|基于图卷积网络的图深度学习
DataCanvas大数据云平台
10+阅读 · 2017年6月8日
Top
微信扫码咨询专知VIP会员