GAN 的理解与 TensorFlow 的实现

2017 年 7 月 31 日 AI研习社 想飞的石头


AI 研习社送书咯!

参与文章评论

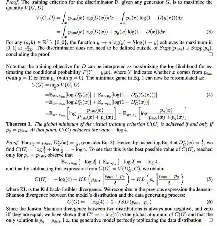
社长将挑选当天点赞数量最多的用户

赠送《深度学习》一本

还有什么想看的 AI 资料 & 书籍

欢迎在评论区留言告诉社长!

AI研习社按:本文作者想飞的石头,首发于知乎专栏,AI研习社获授权转载。有兴趣的朋友还可以移步作者的个人博客:小石头的码疯窝。

   前言

本文会从头介绍生成对抗式网络的一些内容,从生成式模型开始说起,到 GAN 的基本原理,InfoGAN,AC-GAN 的基本科普,如果有任何有错误的地方,请随时喷,我刚开始研究 GAN 这块的内容,希望和大家一起学习。

   生成式模型

何为生成式模型?在很多 machine learning 的教程或者公开课上,通常会把 machine learning 的算法分为两类: 生成式模型、判别式模型;其区别在于: 对于输入 x,类别标签 y,在生成式模型中估计其联合概率分布,而判别式模型估计其属于某类的条件概率分布。 常见的判别式模型包括:LogisticRegression, SVM, Neural Network 等等,生成式模型包括:Naive Bayes, GMM, Bayesian Network, MRF 等等

   研究生成式模型的意义

生成式模型的特性主要包括以下几个方面:

  • 在应用数学和工程方面,生成式模型能够有效地表征高维数据分布;

  • 生成式模型能够作为一种技术手段辅助强化学习,能够有效表征强化学习模型中的 state 状态 (这里不扩展,后面会跟 RL 的学习笔记);

  • 对 semi-supervised learning 也有比较好的效果,能够在 miss data 下训练模型,并在 miss data 下给出相应地输出;

  • 在对于一个输入伴随多个输出的场景下,生成式模型也能够有效工作,而传统的机器学习方法通过最小化模型输出和期望输出的某个 object function 的值 无法训练单输入多输出的模型,而生成式模型,尤其是 GAN 能够 hold 住这种场景,一个典型的应用是通过场景预测 video 的下一帧。

生成式模型一些典型的应用:

  • 图像的超分辨率

  • iGAN:Generative Visual Manipulation on the Natural Image Manifold

  • 图像转换

   生成式模型族谱

上图涵盖了基本的生成式模型的方法,主要按是否需要定义概率密度函数分为:

  • Explicit density models

explicit density models 又分为 tractable explicit models 和逼近的 explicit model,怎么理解呢,tractable explicit model 通常可以直接通过数学方法来建模求解,而基于逼近的 explicit model 通常无法直接对数据分布进行建模,可以利用数学里的一些近似方法来做数据建模, 通常基于逼近的 explicit model 分为确定性(变分方法:如 VAE 的 lower bound)和随机性的方法(马尔科夫链蒙特卡洛方法)。

  • VAE lower bound:

马尔科夫链蒙特卡洛方法(MCMC),一种经典的基于马尔科夫链的抽样方法,通过多次来拟合分布。比较好的教程:A Beginner’s Guide to Monte Carlo Markov Chain MCMC Analysis, An Introduction to MCMC for Machine Learning.

  • Implicit density models

无需定义明确的概率密度函数,代表方法包括马尔科夫链、生成对抗式网络(GAN),该系列方法无需定义数据分布的描述函数。

  生成对抗式网络与其他生成式网络对比

生成对抗式网络(GAN)能够有效地解决很多生成式方法的缺点,主要包括:

  • 并行产生 samples;

  • 生成式函数的限制少,如无需合适马尔科夫采样的数据分布(Boltzmann machines),生成式函数无需可逆、latent code 需与 sample 同维度(nonlinear ICA);

  • 无需马尔科夫链的方法(Boltzmann machines, GSNs);

  • 相对于 VAE 的方法,无需 variational bound;

  • GAN 比其他方法一般来说性能更好。

  GAN 工作原理

GAN 主要由两部分构成:generator 和 discriminator,generator 主要是从训练数据中产生相同分布的 samples,而 discriminator 则是判断输入是真实数据还是 generator 生成的数据,discriminator 采用传统的监督学习的方法。这里我们可以这样类比,generator 是一个伪造假币的专业人士,discriminator 是警察,generator 的目的是制造出尽可能以假乱真的假钞,而 discriminator 是为了能 鉴别是否为假钞,最终整个 gan 会达到所谓的纳什均衡,Goodfellow 在他的 paperGAN 的理解与 TF 的实现 (http://t.cn/R9VAZMo)中有严格的数学证明,当 $p_G$==$p_{data}$ 时达到 全局最优:

另一个比较明显看得懂的图如下:

图中黑色点线为真实数据分布 $p_{data}$,绿色线为 generator 生成的数据分布 $p_{G}$, 而 Discriminator 就是蓝色点线,其目的是为了将 $p_{data}$ 和 $p_{G}$ 区分,(a) 中是初始状态,然后会更新 Discriminator 中的参数,若干次 step 之后,Discriminator 有了较大的判断力即到了 (b) 的状态,之后会更新 G 的模型使其生成的数据分布(绿色线)更加趋近与真实数据分布, 若干次 G 和 D 的模型参数更新后,理论上最终会达到 (d) 的状态即 G 能够产生和真实数据完全一致的分布 (证明见上一张图),如从随机数据分布生成人脸像。

  如何训练 GAN

因为 GAN 结构的不同,和常规训练一个 dl model 方法不同, 这里采用 simultaneous SGD,每一个 step 中,会有两个两个梯度优化的 过程,一个是更新 discriminator 的参数来最小化 $J_{(D)}$,一个是更新 generator 的参数来最小 $J_{(G)}$,通常会选用 Adam 来作为最优化的优化器, 也有人建议可以不等次数地更新 generator 和 discriminator(有相关工作提出,1:1 的在实际中更有效:Adam: A Method for Stochastic Optimization) 如何训练 GAN,在 Goodfellow 的 GAN 的 tutorial 还有一些代码中有更多的描述包括不同的 cost function, 这里我就不详细展开了。

  DCGAN

GAN 出来后很多相关的应用和方法都是基于 DCGAN 的结构,DCGAN 即”Deep Convolution GAN”,通常会有一些约定俗成的规则:

  • 在 Discriminator 和 generator 中大部分层都使用 batch normalization,而在最后一层时通常不会使用 batch normalizaiton,目的 是为了保证模型能够学习到数据的正确的均值和方差;

  • 因为会从 random 的分布生成图像,所以一般做需要增大图像的空间维度时如 77->1414, 一般会使用 strdie 为 2 的 deconv(transposed convolution);

  • 通常在 DCGAN 中会使用 Adam 优化算法而不是 SGD。

  各种 GAN

这里有个大神把各种 gan 的 paper 都做了一个统计 AdversarialNetsPapers

这里大家有更多的兴趣可以直接去看对应的 paper,我接下来会尽我所能描述下 infogan 和 AC-GAN 这两块的内容

1.InfoGAN

InfoGAN 是一种能够学习 disentangled representation 的 GAN,何为 disentangled representation?比如人脸数据集中有各种不同的属性特点,如脸部表情、是否带眼睛、头发的风格眼珠的颜色等等,这些很明显的相关表示, InfoGAN 能够在完全无监督信息(是否带眼睛等等)下能够学习出这些 disentangled representation,而相对于传统的 GAN,只需修改 loss 来最大化 GAN 的 input 的 noise(部分 fixed 的子集)和最终输出之间的互信息。

原理

为了达到上面提到的效果,InfoGAN 必须在 input 的 noise 来做一些文章,将 noise vector 划分为两部分:

  • z: 和原始的 GAN input 作用一致;

  • c: latent code,能够在之后表示数据分布中的 disentangled representation

那么如何从 latent code 中学到相应的 disentangled representation 呢? 在原始的 GAN 中,忽略了 c 这部分的影响,即 GAN 产生的数据分布满足 $P_{G}(x|C)=P(x)$, 为了保证能够利用 c 这部分信息, 作者提出这样一个假设:c 与 generator 的输出相关程度应该很大,而在信息论中,两个数据分布的相关程度即互信息, 即 generator 的输出和 input 的 c 的 $I(c;G(z,c))$ 应该会大。 所以,InfoGAN 就变成如下的优化问题:

因为互信息的计算需要后验概率的分布(下图红线部分),在实际中很难直接使用,因此,在实际训练中一般不会直接最大化 $I(c;G(z,c))$

这里作者采用和 VAE 类似的方法,增加一个辅助的数据分布为后验概率的 low bound: 所以,这里互信息的计算如下:

这里相关的证明就不深入了,有兴趣的可以去看看 paper。

实验

我写的一版基于 TensorFlow 的 Info-GAN 实现:Info-GANburness/tensorflow-101 random 的 label 信息,和对应生成的图像:

不同 random 变量控制产生同一 class 下的不同输出:

2. AC-GAN

AC-GAN 即 auxiliary classifier GAN,对应的 paper:[1610.09585] Conditional Image Synthesis With Auxiliary Classifier GANs, 如前面的示意图中所示,AC-GAN 的 Discriminator 中会输出相应的 class label 的概率,然后更改 loss fuction,增加 class 预测正确的概率, ac-gan 是一个 tensorflow 相关的实现,基于作者自己开发的 sugartensor,感觉和 paper 里面在 loss 函数的定义上差异,看源码的时候注意下,我这里有参考写了一个基于原生 tensorflow 的版本 AC-GAN.

实验

各位有兴趣的可以拿代码在其他的数据集上也跑一跑,AC-GAN 能够有效利用 class label 的信息,不仅可以在 G 时指定需要生成的 image 的 label,同事该 class label 也能在 Discriminator 用来扩展 loss 函数,增加整个对抗网络的性能。 random 的 label 信息,和对应生成的图像:

不同 random 变量控制产生同一 class 下的不同输出:

  总结

照例总结一下,本文中,我基本介绍了下生成式模型方法的各个族系派别,到 GAN 的基本内容,到 InfoGAN、AC-GAN,大部分的工作都来自于阅读相关的 paper,自己相关的工作就是 tensorflow 下参考 sugartensor 的内容重现了 InfoGAN、AC-GAN 的相关内容。

 当然,本人菜鸟一枚,难免有很多理解不到位的地方,写出来更多的是作为分享,让更多人了解 GAN 这块的内容,如果任何错误或不合适的地方,敬请在评论中指出,我们一起讨论一起学习 另外我的所有相关的代码都在 github 上:GAN, 相信读一下无论是对 TensorFlow 的理解还是 GAN 的理解都会 有一些帮助,简单地参考 mnist.py 修改下可以很快的应用到你的数据集上,如果有小伙伴在其他数据集上做出有意思的实验效果的,欢迎分享。



新人福利




👏福利一: 关注 AI 研习社(okweiwu),回复 1 领取

【超过 1000G 神经网络/AI/大数据、教程、论文!】


👏福利二: 截止至本公众号下次推送时

在头条推文留言区评论20字以上,获得最多赞的社友

社长将送出   花书(《深度学习》Ian Goodfellow)1 本


昨天的获奖同学是  童童哥 

周一社长就会把奖品寄出!





话题讨论



你对 CVPR 2017 有什么感想?

有哪篇论文是你想要解析的?

欢迎在评论区交流讨论



↓↓↓


扫码关注

AI 研习社



点这个,GAN 学习指南!

▼▼

登录查看更多
2

相关内容

专知会员服务
142+阅读 · 2020年5月19日
Sklearn 与 TensorFlow 机器学习实用指南,385页pdf
专知会员服务
131+阅读 · 2020年3月15日
《强化学习—使用 Open AI、TensorFlow和Keras实现》174页pdf
专知会员服务
139+阅读 · 2020年3月1日
【新书】Pro 机器学习算法Python实现,379页pdf
专知会员服务
204+阅读 · 2020年2月11日
一网打尽!100+深度学习模型TensorFlow与Pytorch代码实现集合
GAN新书《生成式深度学习》,Generative Deep Learning,379页pdf
专知会员服务
208+阅读 · 2019年9月30日
深度学习TensorFlow实现集合
专知
10+阅读 · 2018年9月8日
生成式对抗网络(GAN)如何快速理解?
全球人工智能
8+阅读 · 2018年1月14日
TensorFlow实现神经网络入门篇
AI研习社
11+阅读 · 2017年12月11日
TensorFlow神经网络教程
Python程序员
4+阅读 · 2017年12月4日
在TensorFlow中对比两大生成模型:VAE与GAN
机器之心
12+阅读 · 2017年10月23日
【教程】详解如何使用Keras实现Wassertein GAN
GAN生成式对抗网络
7+阅读 · 2017年10月5日
【理解】GAN 的理解与 TensorFlow 的实现
GAN生成式对抗网络
4+阅读 · 2017年8月23日
GAN | GAN介绍(1)
KingsGarden
79+阅读 · 2017年3月13日
Arxiv
4+阅读 · 2019年9月26日
Arxiv
6+阅读 · 2019年4月4日
Arxiv
5+阅读 · 2018年5月21日
Arxiv
6+阅读 · 2018年3月28日
VIP会员
最新内容
人工智能在战场行动中的演进及伊朗案例
专知会员服务
2+阅读 · 今天13:08
美AI公司Anthropic推出网络安全模型“Mythos”
专知会员服务
2+阅读 · 今天12:58
【博士论文】面向城市环境的可解释计算机视觉
专知会员服务
0+阅读 · 今天12:57
大语言模型的自改进机制:技术综述与未来展望
专知会员服务
0+阅读 · 今天12:50
《第四代军事特种作战部队选拔与评估》
专知会员服务
1+阅读 · 今天6:23
相关资讯
深度学习TensorFlow实现集合
专知
10+阅读 · 2018年9月8日
生成式对抗网络(GAN)如何快速理解?
全球人工智能
8+阅读 · 2018年1月14日
TensorFlow实现神经网络入门篇
AI研习社
11+阅读 · 2017年12月11日
TensorFlow神经网络教程
Python程序员
4+阅读 · 2017年12月4日
在TensorFlow中对比两大生成模型:VAE与GAN
机器之心
12+阅读 · 2017年10月23日
【教程】详解如何使用Keras实现Wassertein GAN
GAN生成式对抗网络
7+阅读 · 2017年10月5日
【理解】GAN 的理解与 TensorFlow 的实现
GAN生成式对抗网络
4+阅读 · 2017年8月23日
GAN | GAN介绍(1)
KingsGarden
79+阅读 · 2017年3月13日
Top
微信扫码咨询专知VIP会员