基于表示模型的文本匹配方法

2020 年 5 月 8 日 AINLP



    文本匹配是NLU中的一个核心问题,它广泛应用于大量的NLP任务中,如信息检索、问答系统、文本聚类、等等。本文简单总结了几篇经典的基于表示的深度文本匹配论文分享给大家,若有不足之处,请大家指出,后期我会不定期更新“文本匹配”系列文章,敬请期待。

1.概述

文本匹配是自然语言理解中的一个核心问题,它应用于大量的自然语言处理任务中,例如信息检索、问答系统、文本聚类、等等。其中,信息检索可归结为query和文档资源的匹配,问答系统可以归为问题和候选问题的匹配,文本聚类可归结为各文本间的匹配问题。

传统的文本匹配技术主要有JaccardLevenshteinSimhashTF-idfBm25VSM等算法,其主要是基于统计学方法通过词汇重合度来计算两段文本的字面相似度。然而,仅通过字面相似度是衡量文本的匹配度是远远不够的,因为同一语义的文本在形式上千变万化,两段文本可以表现为字面相似但词序不同而导致语义完全相反;可以表现为字面相似但个别字词不同而导致意思大相径庭;更可以表现为字面完全不相似而语义相同;等等问题。所以,传统的匹配算法存在着词义局限、结构局限等问题。近年来随着深度学习的迅猛发展,各类基于深度学习的文本匹配方法也如雨后春笋一般应运而生。

    一般来说,深度文本匹配方法主要分为表示型和交互型。表示型模型主要是将两两段文本转换成一个语义向量,然后计算两向量的相似度,其更侧重对语义向量表示层的构建,它的优势是结构简单、解释性强,且易于实现,是深度学习出现之后应用最广泛的深度文本匹配方法。典型的网络结构有 DSSM、LSTM 和 ESIM,接下来将逐篇进行解读。

2.论文解读

2.1 基于LSTM

论文:《Siamese Recurrent Architectures for Learning Sentence Similarity

其主要思想是:将两个不一样长的句子,分别经过LSTM编码成相同尺度的稠密向量,以此来比较两个句子的相似性。基于表示的文本匹配模型都是基于这种结构,即向量表示层+相似度计算层。模型结构如下图所示:

模型主要有三部分构成:

(1)词嵌入层

输入:句子对T1、T2,对齐后长度为m

输出:两句子的词嵌入矩阵。

2)隐层

使用LSTM计算长距离语义特征,并且该层参数是共享的,

输入:两句子的词嵌入矩阵;

输出:取两句子经过LSTM计算后最后时刻输出分别作为两句子的语义特征向量s1、s2,向量维度为hsize,hsizeLSTM隐层大小超参。

3)输出层:

输入:两句子的语义特征向量s1、s2

输出:计算s1、s2曼哈顿距离(L1距离),并使用负指数函数归一化得相似度分数;

2.2 基于bi-LSTM

大体结构同基于LSTM,主要在三点上做了改进:

(1)LSTM换为bi-LSTM

(2)将两句子bi-LSTM各时刻的输出相减得相似性特征s

(3)相似性特征s后接全连接层映射为2分类。

2.3 基于ESIM

    论文:《Enhanced LSTM for Natural Language Inference》

    模型主要有五部分组成:词嵌入层、input encoding、local inference modeling、inference composition、以及全连接层。模型结构如下图所示:

(1)词嵌入层

输入:句子对T1、T2,对齐后长度为m

输出:两句子的词嵌入矩阵。

(2)input encoding(输入编码)

使用 BILSTM来学习词以及他的上下文特征,或者使用treeLSTM语法树的结构收集词组和从句中的局部信息。

输入:两句子的词嵌入矩阵;

输出:经过bi-LSTM编码后的新的词向量

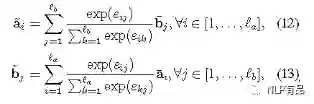
(3) Local Inference Modeling(局部推断建模)

输入:经过bi-LSTM编码后的新的词向量;

计算方法:1)先计算两个句子word之间的相似度,得到2维的相似度矩阵e,使用点积dot实现;2)然后计算基于句子的局部推断,用上一步的相似度矩阵,用句子T2bj来生成相似度加权的T1ai(hat),反过来,用句子T1word ai来生成相似度加权的T2bj(hat),其中,加权是用softmax实现的;3) 把a 和a(hat)计算差和点积,同理,bb(hat)。然后将多特征做拼接:

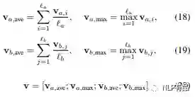
(4) Inference Composition(推断组件)

再一次用到Bi-lstm mamb 进行特征提取。然后同时运用 MaxPooling AvgPooling进行池化操作。然后将多特征做拼接得相似性特征v

(5)全连接层(MLP)

相似性特征v后接全连接层映射为2分类,得相似性得分。

3 总结

这种模型的优点是结构简单、解释性强,其缺点是得到的句子表示可能会失去语义焦点,容易发生语义偏移,词的上下文重要性难以衡量。为解决这些不足,近年来基于交互型的文本匹配模型相继出现,这一内容将会在放在姊妹篇‘基于交互的文本匹配解读’一文中分享。

    下次更新内容可能包括:基于交互模型的文本匹配方法、NLP竞赛平台一览、八大排序算法的javapython实现其中之一,敬请期待♥♥♥。

参考

[1] arxiv:Learning deep structured semantic models for web search using clickthrou-     gh data.

[2] arxiv:Siamese Recurrent Architectures for Learning Sentence Similarity.

[3] arxiv:Enhanced LSTM for Natural Language Inference.

[4] CSDN:文本匹配(语义相似度/行为相关性)技术综述.



推荐阅读

AINLP年度阅读收藏清单

ERNIE加持,百度飞桨图神经网络PGL全新升级

斯坦福大学NLP组Python深度学习自然语言处理工具Stanza试用

DistilBERT Understanding

太赞了!Springer面向公众开放电子书籍,附65本数学、编程、机器学习、深度学习、数据挖掘、数据科学等书籍链接及打包下载

深度学习如何入门?这本“蒲公英书”再适合不过了!豆瓣评分9.5!【文末双彩蛋!】

数学之美中盛赞的 Michael Collins 教授,他的NLP课程要不要收藏?

自动作诗机&藏头诗生成器:五言、七言、绝句、律诗全了

模型压缩实践系列之——bert-of-theseus,一个非常亲民的bert压缩方法

这门斯坦福大学自然语言处理经典入门课,我放到B站了

征稿启示 | 稿费+GPU算力+星球嘉宾一个都不少

关于AINLP

AINLP 是一个有趣有AI的自然语言处理社区,专注于 AI、NLP、机器学习、深度学习、推荐算法等相关技术的分享,主题包括文本摘要、智能问答、聊天机器人、机器翻译、自动生成、知识图谱、预训练模型、推荐系统、计算广告、招聘信息、求职经验分享等,欢迎关注!加技术交流群请添加AINLPer(id:ainlper),备注工作/研究方向+加群目的。


登录查看更多
7

相关内容

文本聚类(Text Clustering)任务则是根据文档之间的内容或主题相似度,将文档集合划分成若干个子集,每个子集内部的文档相似度较高,而子集之间的相似度较低。
基于改进卷积神经网络的短文本分类模型
专知会员服务
26+阅读 · 2020年7月22日
实体关系抽取方法研究综述
专知会员服务
178+阅读 · 2020年7月19日
【ACL2020】基于图神经网络的文本分类新方法
专知会员服务
69+阅读 · 2020年7月12日
基于深度学习的表面缺陷检测方法综述
专知会员服务
89+阅读 · 2020年5月31日
【NLP】文本匹配相关方向打卡点总结
深度学习自然语言处理
21+阅读 · 2019年12月9日
几种句子表示方法的比较
AINLP
15+阅读 · 2019年9月21日
论文浅尝 | 通过文本到文本神经问题生成的机器理解
开放知识图谱
10+阅读 · 2019年6月30日
一种关键字提取新方法
1号机器人网
21+阅读 · 2018年11月15日
深度文本匹配在智能客服中的应用
AI100
18+阅读 · 2018年10月24日
如何匹配两段文本的语义?
黑龙江大学自然语言处理实验室
7+阅读 · 2018年7月21日
计算文本相似度常用的四种方法
论智
33+阅读 · 2018年5月18日
基于 Doc2vec 训练句子向量
AI研习社
6+阅读 · 2018年5月16日
论文浅尝 | 利用 RNN 和 CNN 构建基于 FreeBase 的问答系统
开放知识图谱
11+阅读 · 2018年4月25日
深度文本匹配开源工具(MatchZoo)
机器学习研究会
10+阅读 · 2017年12月5日
Arxiv
6+阅读 · 2019年8月22日
Arxiv
21+阅读 · 2019年8月21日
Arxiv
14+阅读 · 2018年5月15日
Arxiv
3+阅读 · 2018年3月21日
Arxiv
5+阅读 · 2018年1月16日
VIP会员
最新内容
BES:让语言模型通过双向进化搜索自我改进
专知会员服务
3+阅读 · 5月30日
以色列-美国-伊朗战争中的无人机:关键要点
专知会员服务
4+阅读 · 5月30日
《Palantir任务保障性软件安全标准(MA-S2)》
专知会员服务
11+阅读 · 5月30日
基于声学的无人机检测技术综述
专知会员服务
8+阅读 · 5月30日
《当代混合战争分析框架:俄乌战争经验教训》
战略前沿人工智能的再思考(中文)
专知会员服务
8+阅读 · 5月29日
《量化地基防空系统间接效应的博弈论方法》
专知会员服务
6+阅读 · 5月29日
相关VIP内容
基于改进卷积神经网络的短文本分类模型
专知会员服务
26+阅读 · 2020年7月22日
实体关系抽取方法研究综述
专知会员服务
178+阅读 · 2020年7月19日
【ACL2020】基于图神经网络的文本分类新方法
专知会员服务
69+阅读 · 2020年7月12日
基于深度学习的表面缺陷检测方法综述
专知会员服务
89+阅读 · 2020年5月31日
相关资讯
【NLP】文本匹配相关方向打卡点总结
深度学习自然语言处理
21+阅读 · 2019年12月9日
几种句子表示方法的比较
AINLP
15+阅读 · 2019年9月21日
论文浅尝 | 通过文本到文本神经问题生成的机器理解
开放知识图谱
10+阅读 · 2019年6月30日
一种关键字提取新方法
1号机器人网
21+阅读 · 2018年11月15日
深度文本匹配在智能客服中的应用
AI100
18+阅读 · 2018年10月24日
如何匹配两段文本的语义?
黑龙江大学自然语言处理实验室
7+阅读 · 2018年7月21日
计算文本相似度常用的四种方法
论智
33+阅读 · 2018年5月18日
基于 Doc2vec 训练句子向量
AI研习社
6+阅读 · 2018年5月16日
论文浅尝 | 利用 RNN 和 CNN 构建基于 FreeBase 的问答系统
开放知识图谱
11+阅读 · 2018年4月25日
深度文本匹配开源工具(MatchZoo)
机器学习研究会
10+阅读 · 2017年12月5日
Top
微信扫码咨询专知VIP会员