SIGIR2017 满分论文:IRGAN | 每周一起读

2017 年 6 月 19 日 PaperWeekly 论文共读小组
「每周一起读」是由 PaperWeekly 发起的协同阅读小组。我们每周精选一篇优质好文,利用在线协同工具进行精读并发起讨论,在碎片化时代坚持深度阅读。目前已成立的专题小组有:Chatbot、机器翻译、知识图谱、GAN、推荐系统、QA、增强学习、多模态、自动文摘和统计学习。


IRGAN: A Minimax Game for Unifying Generative and Discriminative Information Retrieval Models


在现代信息检索领域一直是两大学派之争的局面。一方面,经典思维流派是假设在文档和信息需求(由查询可知)之间存在着一个独立的随机生成过程。另一方面,现代思维流派则充分利用机器学习的优势,将文档和搜索词联合考虑为特征,并从大量训练数据中预测其相关性或排序顺序标签。


本篇 SIGIR2017 的满分论文则首次提出将两方面流派的数据模型通过一种对抗训练的方式统一在一起,使得两方面的模型能够相互提高,最终使得检索到的文档更加精准。文章的实验分别在网络搜索、推荐系统以及问答系统三个应用场景中实现并验证了结果的有效性。


论文链接:https://arxiv.org/pdf/1705.10513.pdf



阅读笔记精选



Gapeng


读完整个文章,我觉得值得学习的地方有很多: 


1. 把 GAN 应用到 IR 上,这个算是一个亮点。 


2. 作者不是生硬地套用 GAN 的框架,而是因地制宜,根据 IR 任务的特点,巧妙设计了 G 和 D,将 IR 的生成模型和判别模型统一到 GAN 框架下。


3. IR 系统,从数据库中检索相似的信息,应对的是离散的数据,而 GAN 一般在连续情况下容易 work。常用的 SGD 在这里并不 work,作者采用 RL 的 policy gradient 作为替代。 IRGAN 将 generative retrieval model 和 discriminative retrieval model 分别作为 GAN 的 generator 和 discriminator(文章里对生成模型和判别模型的提法跟我们通常所说的刚好相反)。所以,IRGAN 训练的结果是两个 IR 系统!一个是生成模型,一个是判别模型! 作者开源了代码,做了一些实验实验:web search,item recommendation,question answering,实验结果表明,IRGAN 打败了多种 strong baselines,带来显著的性能提升。作者认为,这种性能提升得益于 GAN 的对抗训练机制。两类 IR 模型统一到 GAN 框架下,虽然它们的性能不同,但是跟没有采用对抗训练的模型相比,它们之中至少有一个能够得到显著的性能提升。

Ttssxuan


1. 信息获取主要有两种模式:a. 预测给出的文档相关性;b. 给出文档对,判别他们之间的相关性; 


2. 判别模型:挖掘标注与非标注的数据中的信息,用于指导训练拟合文档内在相关性分布生成模型; 


3. 生成模型:生成判别模型难以判别的例子; 


4. 经典相关性模型着重于,如何从查询生成(相关)文档;独立模型,每个token是独立从相关文档档中生成;统计语言模型一般是从文档中生成查询元素;在词嵌模型中,词从其上下文中生成;在推荐系统中,也有类似的方法,从 item 的上下文中生成 item; 


5. 模型扩展到 pointwise, pairwise, listwise, 其中 pointwise 基于人的判断来衡量相关性,pairwise 主要是在所有文档对中找出最相关的文档对,listwise 着重于返回最合理的相关性排序; 


6. 观察到的正例和未观察到的正例之间会存在内在联系,生成器需要基于判别器的信息来快速推动这些未观察到的正例; 


7. 与 conditional GAN 有些相似;


8. 生成模型提供了一种新的负采样方式; 


9. 使用 IR 的奖励机制,是在传统模型中不可获取的; 


10. 应用于:网页搜索在线排序(sf: LambdaRank, LambdaMART, RankNet)、item 推荐系统(cf matrix factorisation)、问答系统(退化成 IR 的评估)


illegaldata


总结 - 作者有两个思路很巧妙:


1. 不像传统的 GAN,用噪声信号作为输入做生成,然后判别,而是将 Query 做输入,直接利用 Generative 和 Discriminative IR Models 做 GAN; 


2. 将 RL 的 Policy Gradient 引入针对离散的输入变量;以上两个步骤使得 GAN 更具推广意义。



 Q&A 精选


hustliaohh


the generative retrieval focusingon predicting relevant documents given a query, and the discrim-inative retrieval focusing on predicting relevancy given a query-document pair.


生成模型用于预测与查询相关的文档,判别模型用于预测给出的查询对的相关性。(GAN 网络的基本原理,本文很好的将信息检索抽象成 GAN 网络的表达方式)


fryzhang: 常用的 GAN 来生成样本,都是来比较是否足够真实。IR 的任务也是给定样本,判断是否 relevant。本文的将 GAN 与 IR 结合的思路给人一种简单却又让人恍然大悟的感觉。

lgpang


which depicts the (user’s)relevance preference distribution over the candidate documentswith respect to her submitted query


这句话很重要,说明获得的信息是否符合用户提交的请求(正相关),具有很强的主观性。对于同样的搜索语句,不同的用户期盼得到的答案可能不一样。所以相关性应该是根据每个用户的搜索历史,点选历史,弃选历史量身定制的。难道这个条件概率函数要加上用户的因素,改写成 p(d | q, u, r) ?其中 u 代表特定的用户。就像 google 搜索,如果一个用户登陆了 google chrome 浏览器,那么搜索结果就会根据个人的访问历史定制。


illegaldata: 这个思路有点意思,可以试试把 web search 和 item recommendation  结合起来,就是带用户明细的训练和测试数据不太好找。

jianzhengming



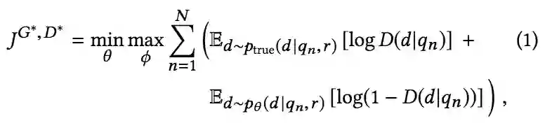
log(1-D(d|qn)) 中的 D(d|qn) 与 ptrue 中的 D(d|qn) 应该是不同的概念吧? 

Ttssxuan: 是同一个概念,可以把 minmax 拆分成 min 和 max,对于 min 则是 discriminator 尽量把 ptrue 分对,尽量把 pgen 分对的减少 (1 - d),对于 max 也是类似,只是针对 generator。


argmax: 同一个概念,也是同样的函数,但计算的分布不一样。


wangbin11


sigmoid function of the discriminator score


D 的定义用 sigmod 函数定义有什么好处?用于估算概率吗?mark 一下,看完再 review 这个问题。


END: 这里跟原始 GAN 中一样吧,也是输出概率吧,也可看做是二分类问题。


想和我们一起研读优质paper?


点击「阅读原文」提交内测申请,我们将在 48 小时内完成审核并和您取得联系。


关于PaperWeekly


PaperWeekly 是一个推荐、解读、讨论、报道人工智能前沿论文成果的学术平台。如果你研究或从事 AI 领域,欢迎在公众号后台点击「交流群」,小助手将把你带入 PaperWeekly 的交流群里。


点击 |  阅读原文 | 进行报名
登录查看更多
4

相关内容

判别模型,也称为条件模型或反向模型,是一类用于分类或回归的监督机器学习。这些方法通过从观测数据中推断知识来区分决策边界。这与生成模型或正向模型的想法不同,区别模型对底层数据分布的假设更少,而更依赖数据质量。
近期必读的6篇顶会WWW2020【推荐系统】相关论文-Part3
专知会员服务
58+阅读 · 2020年4月14日
近期必读的5篇顶会WWW2020【推荐系统】相关论文-Part2
专知会员服务
70+阅读 · 2020年4月7日
近期必读的5篇AI顶会CVPR 2020 GNN (图神经网络) 相关论文
专知会员服务
79+阅读 · 2020年3月3日
专知会员服务
88+阅读 · 2020年1月20日
论文浅尝 | 基于Universal Schema与Memory Network的知识+文本问答
论文浅尝 | 问题生成(QG)与答案生成(QA)的结合
开放知识图谱
16+阅读 · 2018年7月15日
赛尔推荐 | 第12期
哈工大SCIR
4+阅读 · 2018年5月2日
ICCV2017 论文解读:基于图像检索的行人重识别
极市平台
7+阅读 · 2017年11月15日
KBQA: 基于开放域知识库上的QA系统 | 每周一起读
Attention is All You Need | 每周一起读
PaperWeekly
14+阅读 · 2017年6月28日
MetaMind文本摘要最新研究成果 | 每周一起读
PaperWeekly
3+阅读 · 2017年6月22日
推荐系统论文一起读
ResysChina
15+阅读 · 2017年6月13日
A General and Adaptive Robust Loss Function
Arxiv
8+阅读 · 2018年11月5日
Arxiv
3+阅读 · 2018年10月18日
Arxiv
8+阅读 · 2018年6月19日
Arxiv
6+阅读 · 2018年4月21日
Arxiv
7+阅读 · 2018年3月12日
Arxiv
6+阅读 · 2018年2月24日
VIP会员
最新内容
超越网格:作战环境对炮兵的影响
专知会员服务
1+阅读 · 今天15:35
KDD 2026 | MixRAGRec:面向LLM推荐的混合专家KG-RAG框架
BES:让语言模型通过双向进化搜索自我改进
专知会员服务
4+阅读 · 5月30日
以色列-美国-伊朗战争中的无人机:关键要点
专知会员服务
4+阅读 · 5月30日
《Palantir任务保障性软件安全标准(MA-S2)》
专知会员服务
14+阅读 · 5月30日
基于声学的无人机检测技术综述
专知会员服务
8+阅读 · 5月30日
《当代混合战争分析框架:俄乌战争经验教训》
相关VIP内容
相关资讯
论文浅尝 | 基于Universal Schema与Memory Network的知识+文本问答
论文浅尝 | 问题生成(QG)与答案生成(QA)的结合
开放知识图谱
16+阅读 · 2018年7月15日
赛尔推荐 | 第12期
哈工大SCIR
4+阅读 · 2018年5月2日
ICCV2017 论文解读:基于图像检索的行人重识别
极市平台
7+阅读 · 2017年11月15日
KBQA: 基于开放域知识库上的QA系统 | 每周一起读
Attention is All You Need | 每周一起读
PaperWeekly
14+阅读 · 2017年6月28日
MetaMind文本摘要最新研究成果 | 每周一起读
PaperWeekly
3+阅读 · 2017年6月22日
推荐系统论文一起读
ResysChina
15+阅读 · 2017年6月13日
相关论文
A General and Adaptive Robust Loss Function
Arxiv
8+阅读 · 2018年11月5日
Arxiv
3+阅读 · 2018年10月18日
Arxiv
8+阅读 · 2018年6月19日
Arxiv
6+阅读 · 2018年4月21日
Arxiv
7+阅读 · 2018年3月12日
Arxiv
6+阅读 · 2018年2月24日
Top
微信扫码咨询专知VIP会员