【机器人】从传感器到算法原理,机器人避障还存在哪些问题?移动机器人自主工作需要哪些传感器?

2018 年 9 月 19 日 产业智能官

从原理上来讲,没有哪个传感器是完美的,比方说机器人面前是一块完全透明的玻璃,那么采用红外、激光雷达或视觉的方案,就可能因为这个光线直接穿过玻璃导致检测失败……

避障是指移动机器人在行走过程中,通过传感器感知到在其规划路线上存在静态或动态障碍物时,按照 一定的算法实时更新路径,绕过障碍物,最后达到目标点。

避障常用哪些传感器

不管是要进行导航规划还是避障,感知周边环境信息是第一步。就避障来说,移动机器人需要通过传感器 实时获取自身周围障碍物信息,包括尺寸、形状和位置等信息。避障使用的传感器多种多样,各有不同的原理和特点,目前常见的主要有视觉传感器、激光传感器、红外传感器、超声波传感器等。下面我简单介绍一下这几种传感器的基本工作原理。

超声波

超声波传感器的基本原理是测量超声波的飞行时间,通过d=vt/2测量距离,其中d是距离,v是声速,t是 飞行时间。由于超声波在空气中的速度与温湿度有关,在比较精确的测量中,需把温湿度的变化和其它因素考虑进去。

上面这个图就是超声波传感器信号的一个示意。通过压电或静电变送器产生一个频率在几十kHz的超声波脉冲组成波包,系统检测高于某阈值的反向声波,检测到后使用测量到的飞行时间计算距离。超声波传感器一般作用距离较短,普通的有效探测距离都在几米,但是会有一个几十毫米左右的最小探测盲区。由于超声传感器的成本低、实现方法简单、技术成熟,是移动机器人中常用的传感器。超声波传感器也有一些缺点,首先看下面这个图。

因为声音是锥形传播的,所以我们实际测到的距离并不是 一个点,而是某个锥形角度范围内最近物体的距离。

另外,超声波的测量周期较长,比如3米左右的物体,声波传输这么远的距离需要约20ms的时间。再者,不同材料对声波的反射或者吸引是不相同的,还有多个超声传感器之间有可能会互相干扰,这都是实际应用的过程中需要考虑的。

红外

一般的红外测距都是采用三角测距的原理。红外发射器按照一定角度发射红外光束,遇到物体之后,光会反向回来,检测到反射光之后,通过结构上的几何三角关系,就可以计算出物体距离D。

当D的距离足够近的时候,上图中L值会相当大,如果超过CCD的探测范围,这时,虽然物体很近,但是传感器反而看不到了。当物体距离D很大时,L值就会很小,测量量精度会变差。因此,常见的红外传感器 测量距离都比较近,小于超声波,同时远距离测量也有最小距离的限制。另外,对于透明的或者近似黑体的物体,红外传感器是无法检测距离的。但相对于超声来说,红外传感器具有更高的带宽。

激光

常见的激光雷达是基于飞行时间的(ToF,time of flight),通过测量激光的飞行时间来进行测距d=ct/2,类似于前面提到的超声测距公式,其中d是距离,c是光速,t是从发射到接收的时间间隔。激光雷达包括发射器和接收器 ,发射器用激光照射目标,接收器接收反向回的光波。机械式的激光雷达包括一个带有镜子的机械机构,镜子的旋转使得光束可以覆盖 一个平面,这样我们就可以测量到一个平面上的距离信息。

对飞行时间的测量也有不同的方法,比如使用脉冲激光,然后类似前面讲的超声方案,直接测量占用的时间,但因为光速远高于声速,需要非常高精度的时间测量元件,所以非常昂贵;另一种发射调频后的连续激光波,通过测量接收到的反射波之间的差频来测量时间。


图一



图二


比较简单的方案是测量反射光的相移,传感器以已知的频率发射一定幅度的调制光,并测量发射和反向信号之间的相移,如上图一。调制信号的波长为lamda=c/f,其中c是光速,f是调制频率,测量到发射和反射光束之间的相移差theta之后,距离可由lamda*theta/4pi计算得到,如上图二。

激光雷达的测量距离可以达到几十米甚至上百米,角度分辨率高,通常可以达到零点几度,测距的精度也高。但测量距离的置信度会反比于接收信号幅度的平方,因此,黑体或者远距离的物体距离测量不会像光亮的、近距离的物体那么好的估计。并且,对于透明材料,比如玻璃,激光雷达就无能为力了。还有,由于结构的复杂、器件成本高,激光雷达的成本也很高。

一些低端的激光雷达会采用三角测距的方案进行测距。但这时它们的量程会受到限制,一般几米以内,并且精度相对低一些,但用于室内低速环境的SLAM或者在室外环境只用于避障的话,效果还是不错的。

视觉

常用的计算机视觉方案也有很多种, 比如双目视觉,基于TOF的深度相机,基于结构光的深度相机等。深度相机可以同时获得RGB图和深度图,不管是基于TOF还是结构光,在室外强光环境下效果都并不太理想,因为它们都是需要主动发光的。像基于结构光的深度相机,发射出的光会生成相对随机但又固定的斑点图样,这些光斑打在物体上后,因为与摄像头距离不同,被摄像头捕捉到的位置也不相同,之后先计算拍到的图的斑点与标定的标准图案在不同位置的偏移,利用摄像头位置、传感器大小等参数就可以计算出物体与摄像头的距离。而我们目前的E巡机器人主要是工作在室外环境,主动光源会受到太阳光等条件的很大影响,所以双目视觉这种被动视觉方案更适合,因此我们采用的视觉方案是基于双目视觉的。

双目视觉的测距本质上也是三角测距法,由于两个摄像头的位置不同,就像我们人的两只眼睛一样,看到的物体不一样。两个摄像头看到的同一个点P,在成像的时候会有不同的像素位置,此时通过三角测距就可以测出这个点的距离。与结构光方法不同的是,结构光计算的点是主动发出的、已知确定的,而双目算法计算的点一般是利用算法抓取到的图像特征,如SIFT或SURF特征等,这样通过特征计算出来的是稀疏图。

要做良好的避障,稀疏图还是不太够的,我们需要获得的是稠密的点云图,整个场景的深度信息。稠密匹配的算法大致可以分为两类,局部算法和全局算法。局部算法使用像素局部的信息来计算其深度,而全局算法采用图像中的所有信息进行计算。一般来说,局部算法的速度更快,但全局算法的精度更高。

这两类各有很多种不同方式的具体算法实现。能过它们的输出我们可以估算出整个场景中的深度信息,这个深度信息可以帮助我们寻找地图场景中的可行走区域以及障碍物。整个的输出类似于激光雷达输出的3D点云图,但是相比来讲得到信息会更丰富,视觉同激光相比优点是价格低很多,缺点也比较明显,测量精度要差 一些,对计算能力的要求也高很多。当然,这个精度差是相对的,在实用的过程中是完全足够的,并且我们目前的算法在我们的平台NVIDIA TK1和TX1上是可以做到实时运行。


KITTI采集的图


实际输出的深度图,不同的颜色代表不同的距离

在实际应用的过程中,我们从摄像头读取到的是连续的视频帧流,我们还可以通过这些帧来估计场景中 目标物体的运动,给它们建立运动模型,估计和预测它们的运动方向、运动速度,这对我们实际行走、避障规划是很有用的。

以上几种是最常见的几种传感器 ,各有其优点和缺点,在真正实际应用的过程中,一般是综合配置使用多种不同的传感器 ,以最大化保证在各种不同的应用和环境条件下,机器人都能正确感知到障碍物信息。我们公司的E巡机器人的避障方案就是以双目视觉为主,再辅助以多种其他传感器,保证机器人周边360度空间立体范围内的障碍物都能被有效侦测到,保证机器人行走的安全性。

避障常用算法原理

在讲避障算法之前,我们假定机器人已经有了一个导航规划算法对自己的运动进行规划,并按照规划的路径行走。避障算法的任务就是在机器人执行正常行走任务的时候,由于传感器的输入感知到了障碍物的存在,实时地更新目标轨迹,绕过障碍物。

Bug算法知乎用户无方表示

Bug算法应该是最简单的一种避障算法了,它的基本思想是在发现障碍后,围着检测到的障碍物轮廓行走,从而绕开它。Bug算法目前有很多变种, 比如Bug1算法,机器人首先完全地围绕物体,然后从距目标最短距离的点离开。Bug1算法的效率很低,但可以保证机器人达到目标。


Bug1算法示例

改进后的Bug2算法中,机器人开始时会跟踪物体的轮廓,但不会完全围绕物体一圈,当机器人可以直接移动至目标时,就可以直接从障碍分离,这样可以达到比较短的机器人行走总路径。


Bug2算法示例

除此之外,Bug算法还有很多其他的变种, 比如正切Bug算法等等。在许多简单的场景中,Bug算法是实现起来比较容易和方便的,但是它们并没有考虑到机器人的动力学等限制,因此在更复杂的实际环境中就不是那么可靠好用了。

势场法(PFM)

实际上,势场法不仅仅可以用来避障,还可以用来进行路径的规划。势场法把机器人处理在势场下的 一个点,随着势场而移动,目标表现为低谷值,即对机器人的吸引力,而障碍物扮演的势场中的一个高峰,即斥力,所有这些力迭加于机器人身上,平滑地引导机器人走向目标,同时避免碰撞已知的障碍物。当机器人移动过程中检测新的障碍物,则需要更新势场并重新规划。

上面这个图是势场比较典型的示例图,最上的图a左上角是出发点,右下角是目标点,中间三个方块是障碍物。中间的图b就是等势位图,图中的每条连续的线就代表了一个等势位的一条线,然后虚线表示的在整个势场里面所规划出来的一条路径,我们的机器人是沿着势场所指向的那个方向一直行走,可以看见它会绕过这个比较高的障碍物。最下面的图,即我们整个目标的吸引力还有我们所有障碍物产生的斥力最终形成的一个势场效果图,可以看到机器人从左上角的出发点出发,一路沿着势场下降的方向达到最终的目标点,而每个障碍物势场表现出在很高的平台,所以,它规划出来的路径是不会从这个障碍物上面走的。

一种扩展的方法在基本的势场上附加了了另外两个势场:转运势场和任务势场。它们额外考虑了由于机器人本身运动方向、运动速度等状态和障碍物之间的相互影响。

转动势场考虑了障碍与机器人的相对方位,当机器人朝着障碍物行走时,增加斥力, 而当平行于物体行走时,因为很明显并不会撞到障碍物,则减小斥力。任务势场则排除了那些根据当前机器人速度不会对近期势能造成影响的障碍,因此允许规划出 一条更为平滑的轨迹。

另外还有谐波势场法等其他改进方法。势场法在理论上有诸多局限性, 比如局部最小点问题,或者震荡性的问题,但实际应用过程中效果还是不错的,实现起来也比较容易。

向量场直方图(VFH)

它执行过程中针对移动机器人当前周边环境创建了一个基于极坐标表示的局部地图,这个局部使用栅格图的表示方法,会被最近的一些传感器数据所更新。VFH算法产生的极坐标直方图如图所示:

图中x轴是以机器人为中心感知到的障碍物的角度,y轴表示在该方向存在障碍物的概率大小p。实际应用的过程中会根据这个直方图首先辨识出允许机器人通过的足够大的所有空隙,然后对所有这些空隙计算其代价函数,最终选择具有最低代价函数的通路通过。

代价函数受三个因素影响: 目标方向、机器人当前方向、之前选择的方向,最终生成的代价是这三个因素的加权值,通过调节不同的权重可以调整机器人的选择偏好。VFH算法也有其他的扩展和改进,比如在VFH+算法中,就考虑了机器人运动学的限制。由于实际底层运动结构的不同,机器的实际运动能力是受限的,比如汽车结构,就不能随心所欲地原地转向等。VFH+算法会考虑障碍物对机器人实际运动能力下轨迹的阻挡效应,屏蔽掉那些虽然没有被障碍物占据但由于其阻挡实际无法达到的运动轨迹。我们的E巡机器人采用的是两轮差动驱动的运动形式,运动非常灵活,实际应用较少受到这些因素的影响。

具体可以看 一下这个图示:

类似这样传统的避障方法还有很多,除此之外,还有许多其他的智能避障技术,比如神经网络、模糊逻辑等。

神经网络方法对机器人从初始位置到目标位置的整个行走路径进行训练建模,应用的时候,神经网络的输 入为之前机器人的位姿和速度以及传感器的输 入,输出期望的下一目标或运动方向。

模糊逻辑方法核心是模糊控制器,需要将专家的知识或操作人员的经验写成多条模糊逻辑语句,以此控制机器人的避障过程。 比如这样的模糊逻辑:第一条,若右前方较远处检测到障碍物,则稍向左转;第 二条,若右前方较近处检测到障碍物,则减速并向左转更多角度;等等。

避障过程中存在哪些问题

传感器失效

从原理上来讲,没有哪个传感器是完美的,比方说机器人面前是一块完全透明的玻璃,那么采用红外、激光雷达或视觉的方案,就可能因为这个光线直接穿过玻璃导致检测失败,这时候就需要超声波这样的传感器来进行障碍物的侦测。所以我们在真正应用的过程中,肯定都需要采取多种传感器的结合,对不同传感器采集到的数据进行一个交叉验证,以及信息的融合,保证机器人能够稳定可靠的工作。

除此之外也有其他模式可能导致传感器失效,比如超声波测距,一般需要超声阵列,而阵列之间的传感器如果同时工作的话,会容易互相产生干扰,传感器A发射的光波反射回来被传感器B接收,导致测量结果出现错误,但是如果按照顺序一个个工作,由于超声波传感器采样的周期相对比较长,会减慢整个采集的速度,对实时避障造成影响,这就要求从硬件的结构到算法都必须设计好,尽可能提高采样速度,减少传感器之间的串扰。

还有比如说,机器人如果需要运动的话,一般都需要电机和驱动器,它们在工作过程中都会产生电容兼容性的问题,有可能会导致传感器采集出现错误,尤其是模拟的传感器,所以在实现过程中要把电机驱动器等设备、传感器的采集部分,以及电源通信部分保持隔离,保证整个系统是能够正常工作的。

算法设计

在刚刚提到的几个算法,很多在设计的时候都并没有完善考虑到整个移动机器人本身运动学模型和动力学模型,这样的算法规划出来的轨迹有可能在运动学上是实现不了的,有可能在运动学上可以实现,但是控制起来非常困难,比如刚刚提到的如果一台机器人的底盘是汽车的结构,就不能随心所欲地原地转向,或者哪怕这个机器人是可以原地转向,但是如果一下子做一个很大的机动的话,我们的整个电机是执行不出来的。所以在设计的时候,就要优化好机器人本身的结构和控制,设计避障方案的时候,也要考虑到可行性的问题。

然后在整个算法的架构设计的时候,我们要考虑到为了避让或者是避免伤人或者伤了机器人本身,在执行工作的时候,避障是优先级比较高的任务,甚至是最高的任务,并且自身运行的优先级最高,对机器人的控制优先级也要最高,同时这个算法实现起来速度要足够快,这样才能满足我们实时性的要求。

总之,在我看来,避障在某种程度上可以看做机器人在自主导航规划的一种特殊情况,相比整体全局的导航,它对实时性和可靠性的要求更高一些,然后,局部性和动态性是它的一个特点,这是我们在设计整个机器人硬件软件架构时一定要注意的。

读者提问:

多机协同的避障策略有哪些?

多机协同避障策略在整个SLAM方向上都还是一个在钻研的热点领域,单纯就避障来说,目前的方案是,当有两个或多个机器人协同工作的时候,每个机器人会在一个局部各自维护一个相对的动态地图,所有机器人共享一个相对静态的地图,而对于单个机器人来说,它们会各自维护一个更加动态的地图,这样当两个机器人接近一个位置时,它们会将它们维护的动态地图合并起来。

这样子有什么好处呢,比如视觉只能看到前方一个方向,这时候跟后面机器人的动态地图合并之后,就能看到前后整个局部的动态信息,然后完成避障。

多机协同的关键在于,两个局部地图之间的分享,就是它们分别在整个相对静态的全局地图上是有一小块一个窗口的位置,到这两个窗口可能融合的话,会把它们融合在一起,同时去指导两个机器人的避障。在具体实现过程中,也要考虑整个信息传输的问题,如果是自己本身的局部地图,由于都是本机的运算,速度一般都比较快,如果是两个机器人协作的话,就要考虑到传输的延时,以及带宽的问题。

避障有无标准的测试标准和指标?

目前就我所了解业界并没有什么统一的测试标准和指标,我们目前测试的时候会考虑这些指标,比如在单个障碍物或是多个障碍物,障碍物是静态的或动态的情况下避障效果如何,以及实际规划出的路径完美度如何,还有这个轨迹是否平滑,符合我们观感的效果。

当然,这个最重要的指标我觉得应该避障是否失败就是成功率的问题,要保证这个避障不管是碰到静态的或者是动态的物体,然后那个物体不管是什么材质,比如说如果是动态的人,我们穿什么样的衣服会不会对整个避障功能造成影响,另外就是不同的环境又会有什么样的影响,比如光线充足或暗淡。对于避障来说,成功率才是最为关键的。



移动机器人自主工作需要哪些传感器?


Adept MobileRobots项目经理Seth Allen认为,地面机器人系统必须常常处理"枯燥、肮脏、危险"的工作。换言之,机器人系统通常用于人工介入成本过高、危险过大或者效率过低的任务。在许多情况下,机器人平台的自主工作能力是一项极为重要的特性,即通过导航系统来监视并控制机器人从一个位置移到下一位置的运动。管理位置和运动时的精度是实现高效自主工作的关键因素,MEMS(微机电系统)陀螺仪可提供反馈检测机制, 对优化导航系统性能非常有用。

图1中所示的Seekur机器人系统就是一个采用先进MEMS器件来改善导航性能的自主系统。



图1. Adept MobileRobots公司的Seekur系统。

# 机器人导航概述

机器人的移动通常是从管理机器人总体任务进度的中央处理器发出位置变化请求时开始的。导航系统通过制定行程计划或轨迹以开始执行位置变化请求。行程计划需考虑可用路径、已知障碍位置、机器人能力及任何相关的任务目标。(例如,对于医院里的标本递送机器人,递送时间非常关键。)行程计划被馈入控制器,后者生成传动和方向配置文件以便进行导航控制。这些配置文件可根据行程计划执行动作和进程。该运动通常由若干检测系统进行监控,各检测系统均产生反馈信号;反馈控制器将信号组合并转换成更新后的行程计划和条件。图2是一般导航系统的基本框图。



图2. 一般导航系统框图。

开发导航系统的关键步骤始于充分了解每种功能,尤其需要重视其工作目标和限制。各项功能通常都有一些明确界定且易于执行的因素,但也会提出一些需要加以处理的具有挑战性的限制。某些情况下,这可能是一个反复试探的过程,即识别和处理限制的同时又会带来新的优化机遇。通过一个实例可以清楚说明这一过程。

# Adept MobileRobots Seekur机器人

Adept MobileRobots Seekur2是一款采用惯性导航系统 (INS)的自主机器人,参见图3。该车辆具有4轮传动系统,每个车轮均有独立转向和速度控制能力,可在任何水平方向上灵活地移动平台。此能力对于仓库交货系统、医院标本/补给品递送系统和军队增援系统等新兴应用中的机器人车辆非常有用。



图3. Adept MobileRobots Seekur导航系统。

正向控制



机器人本体命令,即主要误差信号, 代表轨迹规划器提供的行程计划与反馈检测系统提供的行程进度更新信息之间的差异。这些信号被馈入逆向运动学系统,后者将机器人本体命令转换成每个车轮的转向和速度配置文件。这些配置文件使用阿克曼转向关系,进行计算,整合了轮胎直径、表面接触面积、间距和其他重要几何特性。利用阿克曼转向原理和关系,上述机器人平台可创建以电子方式链接的转向角度配置文件,类似于许多汽车转向系统中使用的机械齿轮-齿条系统。由于这些关系是以远程方式整合在一起的,不需要以机械方式链接车轴,因而有助于最大程度减小磨擦和轮胎滑移,减少轮胎磨损和能量损耗,实现简单的机械链接无法完成的运动。

车轮驱动和转向系统



每个车轮均有一个驱动轴,通过变速箱以机械方式连接至驱动马达,同时通过另一个变速箱耦合至光学编码器,即测程反馈系统的输入端。转向轴 将车轴耦合至另一伺服马达,该马达负责确立车轮的转向角度。转向轴还将通过变速箱耦合至第二个光学编码器,也即测程反馈系统的另一个输入端。

反馈检测和控制



导航系统使用一个增强的Kalman filter3,通过结合多个传感器的数据来估算行程图上机器人的姿态。Seekur上的测程数据从车轮牵引和转向编码器(提供转换)和MEMS陀螺仪(提供旋转)获得。

测程



测程反馈系统利用光学编码器对驱动和转向轴旋转的测量结果来估算机器人的位置、驶向和速度。在光学编码器中,用一个碟片阻挡内部光源,或者通过数千个微小窗口让光源照射在光传感器上。碟片旋转时,便会产生一系列电脉冲,这些脉冲通常被馈入计数器电路。每旋转一圈的计数次数等于碟片内的槽孔数目,因此可从编码器电路的脉冲计数计算旋转数(包括小数)。图4提供了将驱动轴旋转计数转换成线性位移 (位置) 变化的图形参考和关系。



图4. 测程线性位移关系。

每个车轮的驱动轴和转向轴编码器测量结果在正向运动学处理器中用阿克曼转向公式进行组合,从而产生驶向、偏转速率、位置和线速度等测量数据。

该测量系统的优点在于其检测功能直接与驱动和转向控制系统相结合,因此可精确得知驱动和转向控制系统的状态。不过,除非可参考一组实际坐标,否则该测量系统在车辆实际速度和方向方面的精度有限。主要限制(或误差源)在于轮胎几何形状一致性(图4中D的精度和波动),以及轮胎与地面之间的接触中断。轮胎几何形状取决于胎冠一致性、胎压、温度、重量及在正常机器人使用过程中可能发生变化的所有条件。轮胎滑移则取决于偏转半径、速度和表面一致性。

位置检测



Seekur系统使用多种距离传感器。对于室内应用,该系统采用270°激光扫描器为其环境构建映射图。激光系统通过能量返回模式和信号返回时间测量物体形状、尺寸及与激光源的距离。在映射模式中,激光系统通过将工作区内多个不同位置的扫描结果组合,描述工作区特性(图5)。这样便产生了物体位置、尺寸和形状的映射图,作为运行时扫描的参考。激光扫描器功能结合映射信息使用时,可提供精确的位置信息。该功能如果单独使用,会存在一定限制,包括扫描时需要停机以及无法处理环境变化等等。在仓库环境中,人员、叉车、托盘搬运车及许多其他物体常常会改变位置,这可能影响到达目的地的速度,以及到达正确目的地的精度。



图5. 激光映射。

对于室外应用,Seekur使用全球定位系统 (GPS)进行位置测量(图6)。全球定位系统通过至少四个卫星的无线电信号传播时间对地球表面上的位置进行三角测量,精度可达±1 m以内。不过,这些系统难以满足无阻挡的要求,可能受建筑、树木、桥梁、隧道及许多其他类型的物体影响。某些情况下,室外物体位置和特性已知("城市峡谷"), 则在GPS运行中断时也可使用雷达和声纳来协助进行位置估算。即便如此,当存在动态条件时,例如汽车经过或正在施工,效果常常会受到影响。



图6. GPS位置检测。

MEMS 角速率检测



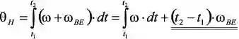
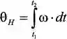
Seekur系统使用的MEMS陀螺仪可直接测量Seekur关于偏航(垂直)轴的旋转速率,该轴在Seekur导航参考坐标系内与地球表面垂直。用于计算相对驶向的数学关系式是固定时间内(t1 至t2)角速率测量结果的简单积分。



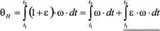
该方法的主要优势之一是连接至机器人机架的陀螺仪可测量车辆的实际运动,而无需依靠齿轮比、齿轮隙、轮胎几何形状或表面接触完整性。不过,驶向估算需要依靠传感器精度,而该精度取决于偏置误差、噪声、稳定性和灵敏度等关键参数。固定偏置误差转换为驶向漂移速率,如包含偏置误差ωBE的下列关系式所示:



偏置误差可分为两种:当前误差和条件相关误差。Seekur系统估算的是未运动时的当前偏置误差。这要求导航电脑能够识别未执行位置变化命令的状态,同时还要方便进行数据收集偏置估算和校正系数更新。该过程的精度取决于传感器噪声以及可用于收集数据并构建误差估算的时间。如图7所示,Allan方差曲线提供了偏置精度与求均值时间之间的简便关系式,进而确定了ADIS16265的关系式。ADIS16265是一款与Seekur系统目前所用的陀螺仪类似的iSensor® MEMS器件。本例中,Seekur可将20秒内的平均偏置误差减小至0.01°/秒以下,并可通过在约100秒的周期内求均值来优化估算结果。



图7. ADIS16265 Allan方差曲线。

Allan 方差4 关系式还有助于深入了解最佳积分时间(τ = t2 – t1). 该曲线上的最低点通常被确定为运行中偏置稳定度。通过设置积分时间τ,使其等于与所用陀螺仪的Allan方差曲线上最低点相关的积分时间,可优化驶向估算结果。

包括偏置温度系数在内的条件相关误差会影响性能,因此它们可决定需要每隔多久停止一次机器人的运行,以更新其偏置校正。使用预校准的传感器有助于解决最常见的误差源,例如温度和电源变化。例如,将ADIS16060 改为预校准的ADIS16265可能会增加尺寸、价格和功率,但可以将相对于温度的稳定性提高18倍。对于2°C温度变化,ADIS16060的最大偏置为0.22°/秒,而ADIS16265只有0.012°秒。

如以下关系式所示灵敏度 误差源与实际驶向变化成正比:



商用MEMS传感器的额定灵敏度误差通常在±5%至±20%以上,因此需要进行校准以减小这些误差。例如ADIS16265和ADIS16135等预校准MEMS5 陀螺仪的额定误差小于±1%,在受控环境中甚至可以达到更高性能。

# 应用范例:

仓库库存交货



仓库自动化系统目前使用叉车和传送带系统移动材料,以管理库存并满足需求。叉车需要直接人为控制,而传送带系统则需要定期维护。为了最大化仓库价值,许多仓库正在进行重新配置,从而为自主机器人平台的应用敞开了大门。一组机器人仅需要更改软件、对机器人导航系统进行再培训就能适应新任务,完全不需要实施大量工程作业来改造叉车和传送带系统。仓库交货系统中的关键性能要求是机器人必须能够保持行程模式的一致性,可在有障碍物移动的动态环境下安全执行机动动作,并且保证人员安全。为了说明在此类应用中MEMS陀螺仪反馈对Seekur的价值,Adept MobileRobots用实验方式分别展示了在不使用(图8)和使用(图9)MEMS陀螺仪反馈的情况下,Seekur保持重复路径的能力。应注意,为了研究MEMS陀螺仪反馈的影响,该实验未采用GPS或激光扫描校正。



图8. 未使用MEMS陀螺仪反馈时的Seekur路径精度。



图9. 使用MEMS陀螺仪反馈时的Seekur路径精度。

比较图8和图9中的路径轨迹,很容易看出两者在保持路径精度上的差异。应注意,这些实验中采用的是早期MEMS技术,支持~0.02°/秒的稳定度。目前的陀螺仪在相同成本、尺寸和功率水平下性能可提高2到4倍。随着这一趋势的延续,在重复路径上维持精确导航的能力将继续改善,这将为开发更多市场和应用(例如医院标本/补给品递送)带来机遇。

补给品护送



目前美国国防高级研究计划局(DARPA)在提案中仍强调更多地利用机器人技术来提升军力。补给品护送便是这类应用的一个范例,此时军事护送队伍暴露于敌方威胁之下,同时不得不按可预测的模式缓慢移动。精确导航让机器人(如Seekur)可在补给品护送方面承担更多责任,减少途中人员的安全威胁。一个关键性能指标是对GPS中断情况的管理能力,此时MEMS陀螺仪驶向反馈特别有用。最新Seekur导航技术正是针对这一环境而开发的,它使用MEMS惯性测量单元(IMUs)6提高了精度,并且能在未来不断采纳地形管理和其他功能领域的新技术成果。

为了测试该系统在使用和不使用IMU时的定位性能,对室外路径误差进行了记录和分析。图10比较了仅使用测程法时相对于真实路径(源自GPS)的误差与在卡尔曼滤波器内结合使用测程法与IMU时的误差。后者的位置精度是前者的近15倍。



图10. 使用测程法/IMU(绿色)与仅使用测程法(蓝色)的Seekur位置误差。

# 结论

机器人平台开发人员发现,MEMS陀螺仪技术为改善导航系统方向估算和总体精度提供了经济高效的方法。预校准的系统就绪型器件使得简单的功能集成得以实现,有利于开发工作顺利起步,并让工程师可集中精力开展系统优化。随着MEMS技术持续改善陀螺仪噪声、稳定性和精度指标,精度和控制水平将不断提高,从而可为自主机器人平台继续拓展新的市场。诸如Seekur等系统的下一代开发工作可从陀螺仪过渡到完全集成的MEMS IMU/6自由度(6DoF)传感器。虽然面向偏航的方法很有用,但世界毕竟不是平面的;目前及未来的许多其他应用均可利用MEMS IMU进行地形管理和进一步的精度改进,并通过三个陀螺仪实现完全对准反馈和校正。




机器人传感器分类与国内外厂商盘点


传感器(Sensor)是一种常见的却又很重要的器件,它是感受规定的被测量的各种量并按一定规律将其转换为有用信号的器件或装置。随着工业机器人技术的不断发展,机器人不再只是那个搬运重物的工具,传感器技术的应用,让工业机器人变得智能了许多,传感器为机器人增加了感觉,为机器人高精度智能化的工作提供了基础。接下来,小编与你一起盘点国内外机器人传感器厂商和发展现状。



国外机器人传感器代表厂家和发展现状


恩智浦(飞思卡尔)

恩智浦半导体(NXP Semiconductors)是全球前十大半导体公司,创立于2006年,先前由飞利浦于50多年前所创立。

飞思卡尔半导体(Freescale Semiconductor)是全球领先的半导体公司,全球总部位于美国德州的奥斯汀市。专注于嵌入式处理解决方案。飞思卡尔面向汽车、网络、工业和消费电子市场,提供的技术包括微处理器、微控制器、传感器、模拟集成电路和连接。飞思卡尔的一些主要应用和终端市场包括汽车安全、混合动力和全电动汽车、下一代无线基础设施、智能能源管理、便携式医疗器件、消费电器以及智能移动器件等。在全世界拥有多家设计、研发、制造和销售机构。


博通

Broadcom Corporation (博通公司)(Nasdaq:BRCM)是全球领先的有线和无线通信 半导体公司。其产品实现向家庭、 办公室和移动环境以及在这些环境中传递语音、 数据和多媒体。 Broadcom 为计算和网络设备、数字娱乐和宽带 接入产品以及移动设备的制造商提供业界最广泛的、 一流的片上系统和软件解决方案。


意法半导体

意法半导体的传感器产品包括MEMS(微机电传感器,包括加速度计、陀螺仪、数字罗盘、惯性模块、压力传感器、湿度传感器和麦克风)、智能传感器、Sensor Hub、温度传感器和触摸传感器。


罗姆

罗姆(ROHM)株式会社是全球最知名的半导体厂商之一,日前开发出“拥有业界最快trr性能的功率MOSFET”产品PrestoMOS R60xxMNx系列。通过优化ROHM独有的芯片结构,在保持PrestoMOS“高速trr性能”特征的基础上,成功地使Ron和Qg值显著降低。由此,在变频空调等电机驱动的应用中,轻负载时的功率损耗与以往的IGBT相比,降低约56%,节能效果非常明显。

罗姆(Rohm)也为苹果供应传感器及其他电子元件,有15家主力工厂,2家在中国(大连、天津),8家在日本,2家在韩国,马来西亚、泰国、菲律宾各有1家。


德州仪器

美国德州仪器公司(英语:Texas Instruments,简称:TI),是世界上最大的模拟电路技术部件制造商,全球领先的半导体跨国公司,以开发、制造、销售半导体和计算机技术闻名于世,主要从事创新型数字信号处理与模拟电路方面的研究、制造和销售。除半导体业务外,还提供包括传感与控制、教育产品和数字光源处理解决方案。德州仪器(TI)总部位于美国德克萨斯州的达拉斯,并在25多个国家设有制造、设计或销售机构。


国内十大机器人传感器公司

美新半导体

美新半导体有限公司是一家从事制造、研发和销售微电子机械集成(MEMS,IC)科技芯片的半电子机械集成(MEMS,IC)科技芯片的半导体企业导体企业。美新公司是全球首家将微机械系统(MEMS)和混合信号处理电路集成于单一芯片的惯性传感器公司。通过结合标准CMOS流程,美新公司已经成功生产出20多种更低成本、更高性能并处于世界领先水平的加速度传感器。


矽创电子(台湾)

矽创电子1998年於台湾新竹创立,是以液晶驱动功能为技术核心的IC设计公司,专注於研发、设计及销售积体电路产品,包括资讯相关晶片、消费电子晶片以及系统应用完整方案的提供。


MCUBE(台湾)

从智能手机和平板电脑到智能服装和可穿戴设备,mCube正在实现一个名为“移动物联网”的新时代,日常物品和设备可以在日常物体和设备上测量,监控和分析空间中的运动和环境,产生大量的数据和洞察力。 作为移动互联网的提供商,mCube希望将MEMS运动传感器放在任何移动的位置,使其易于连接日常事物,改变消费者的生活方式和企业运作方式。


歌尔声学

歌尔声学股份有限公司是国家高新技术企业 ,2008年5月在深圳证券交易所成功上市 。2013年,公司年销售收入超过100亿元 ,净利润增长44% 。公司主要为全球顶级厂商提供产品与服务,客户涵盖三星、苹果、LG、松下、索尼、谷歌、微软、缤特力、思科等 。在微型麦克风领域,歌尔市场占有率居世界同行业之首 ;蓝牙耳机ODM业务和3D眼镜业务量均居世界第一 ;在微型扬声器/受话器领域,歌尔居国内同行业第二名、国际第三名 。


元芯公司

北京青鸟元芯微系统科技有限责任公司是目前国内第一家采用MEMS技术批量生产微型传感器的高科技企业。公司以"北京大学微电子学研究院"和"微米/纳米加工技术国家级重点实验室"为技术依托,专门从事各种微型传感器的研发和生产。


华润半导体

华润上华是一家领先的纯模拟晶圆专工企业,于1997年在中国开创开放式晶圆代工业务模式的先河,为无生产线设计公司及集成设备制造商提供广泛的制造服务。公司采用0.11微米至0.5微米的生产技术制造集成电路及功率分立器件。华润上华的集成电路和功率器件被广泛应用于消费类电子、通信器件、个人电脑、汽车电子和工业类产品等终端市场。华润上华科技有限公司在英属维尔京群岛注册成立,是华润微电子有限公司的全资附属公司。


盾安环境

2001年11月26日,经浙江省人民政府企业上市工作领导小组浙上市200199号文批准,浙江盾安三尚机电有限公司依法整体变更设立浙江盾安人工环境设备股份有限公司。2001年12月19日,公司在浙江省工商行政管理局登记注册,法定代表人为葛亚飞,注册资本43,181,865 元人民币。


广微机电

广微与国内外著名水质监测仪器制造商紧密合作,为广大污染源在线监测用户提供全系列在线监测仪器,并提供从排放口改造、水样采集及预处理、在线监测仪器安装调试到数据采集及通讯、监测中心管理等污染源在线监测系统总体解决方案和服务实施。同时我们针对各企业实际需求,提供便携式分析仪、实验室分析仪及实验室成套设备。


敏芯微电子

苏州敏芯微电子技术有限公司成立于2007年,是中国国内最早成立的MEMS研发公司之一。由专业的风险投资公司投资,并完全商业化运作。管理团队具有深厚的半导体及MEMS产业背景,核心技术团队有在国内外顶尖大学微电子实验室从事MEMS与集成电路(IC)技术研究的宝贵经验。已申请和在申请专利累计已达70多项,拥有数项涉及MEMS关键技术的突破性发明和世界级科研成果。


宏发股份

宏发拥有三十年的继电器研发和制造经验,致力于以继电器产业链为基础的产品研发与技术创新。宏发技术中心是国家级企业技术中心,目前拥有继电器行业顶尖技术人才组成的研发团队,承担了多项国家标准的制定和多项国家重点项目的实施,也是国内继电器行业唯一同时拥有博士后工作站和院士专家工作站的企业。


机器人传感器分类


根据检测对象的不同可分为内部传感器和外部传感器。内部传感器主要用来检测机器人本身状态(如手臂间角度),多为检测位置和角度的传感器。

外部传感器主要用来检测机器人所处环境(如是什么物体,离物体的距离有多远等)及状况(如抓取的物体是否滑落)的传感器。具体有物体识别传感器、物体探伤传感器、接近觉传感器、距离传感器、力觉传感器,听觉传感器等。


1

二维视觉传感器

二维视觉传感器主要就是一个摄像头,它可以完成物体运动的检测以及定位等功能,二维视觉传感器已经出现了很长时间,许多智能相机可以配合协调工业机器人的行动路线,根据接收到的信息对机器人的行为进行调整。



2

三维视觉传感器

最近三维视觉传感器逐渐兴起,三维视觉系统必须具备两个摄像机在不同角度进行拍摄,这样物体的三维模型可以被检测识别出来。相比于二维视觉系统,三维传感器可以更加直观的展现事物。



3

力扭矩传感器

力扭矩传感器是一种可以让机器人知道力的传感器,可以对机器人手臂上的力进行监控,根据数据分析,对机器人接下来行为作出指导。



4

碰撞检测传感器

工业机器人尤其是协作机器人最大的要求就是安全,要营造一个安全的工作环境,就必须让机器人识别什么事不安全。一个碰撞传感器的使用,可以让机器人理解自己碰到了什么东西,并且发送一个信号暂停或者停止机器人的运动。


5

安全传感器

与上面的碰撞检测传感器不同,使用安全传感器可以让工业机器人感觉到周围存在的物体,安全传感器的存在,避免机器人与其他物体发生碰撞。



6

电磁传感器

现代的磁旋转传感器主要包括有四相传感器和单相传感器。在工作过程中,四相差动旋转传感器用一对检测单元实现差动检测,另一对实现倒差动检测。这样,四相传感器的检测能力是单元件的四倍。而二元件的单相旋转传感器也有自己的优点,也就是小巧可靠的特点,并且输出信号大,能检测低速运动,抗环境影响和抗噪声能力强,成本低。因此单相传感器也将有很好的市场



7

光纤传感器

光纤传感器是最近几年出现的新技术,可以用来测量多种物理量,比如声场、电场、压力、温度、角速度、加速度等,还可以完成现有测量技术难以完成的测量任务。在狭小的空间里,在强电磁干扰和高电压的环境里,光纤传感器都显示出了独特的能力。目前光纤传感器已经有70多种,大致上分成光纤自身传感器和利用光纤的传感器。



8

仿生传感器

仿生传感器,是一种采用新的检测原理的新型传感器,它采用固定化的细胞、酶或者其他生物活性物质与换能器相配合组成传感器。这种传感器是近年来生物医学和电子学、工程学相互渗透而发展起来的一种新型的信息技术。这种传感器的特点是机能高、寿命长。在仿生传感器中,比较常用的是生体模拟的传感器。


9

红外传感器

红外系统的核心是红外探测器,按照探测的机理的不同,可以分为热探测器和光子探测器两大类。热探测器是利用辐射热效应,使探测元件接收到辐射能后引起温度升高,进而使探测器中依赖于温度的性能发生变化。检测其中某一性能的变化,便可探测出辐射。多数情况下是通过热电变化来探测辐射的。当元件接收辐射,引起非电量的物理变化时,可以通过适当的变换后测量相应的电量变化。



10

压力传感器

压电传感器主要应用在加速度、压力和力等的测量中。压电式加速度传感器是一种常用的加速度计。它具有结构简单、体积小、重量轻、使用寿命长等优异的特点。压电式加速度传感器在飞机、汽车、船舶、桥梁和建筑的振动和冲击测量中已经得到了广泛的应用,特别压电传感器的外形是航空和宇航领域中更有它的特殊地位。





文章来源:中国传动网



工业互联网




产业智能官  AI-CPS


加入知识星球“产业智能研究院”:先进产业OT(工艺+自动化+机器人+新能源+精益)技术和新一代信息IT技术(云计算+大数据+物联网+区块链+人工智能)深度融合,在场景中构建状态感知-实时分析-自主决策-精准执行-学习提升的机器智能认知计算系统实现产业转型升级、DT驱动业务、价值创新创造的产业互联生态链




版权声明产业智能官(ID:AI-CPS推荐的文章,除非确实无法确认,我们都会注明作者和来源。涉权烦请联系协商解决。联系、投稿邮箱:[email protected]





登录查看更多
0

相关内容

传感器(英文名称:transducer/sensor)是一种检测装置,能感受到被测量的信息,并能将感受到的信息,按一定规律变换成为电信号或其他所需形式的信息输出,以满足信息的传输、处理、存储、显示、记录和控制等要求。
最新《深度学习自动驾驶》技术综述论文,28页pdf
专知会员服务
156+阅读 · 2020年6月14日
【开放书】SLAM 中的几何与学习方法,62页pdf
专知会员服务
111+阅读 · 2020年6月5日
基于视觉的三维重建关键技术研究综述
专知会员服务
166+阅读 · 2020年5月1日
【人大】图实现算法综述与评测分析
专知会员服务
38+阅读 · 2020年4月28日
3D目标检测进展综述
专知会员服务
193+阅读 · 2020年4月24日
专知会员服务
87+阅读 · 2019年12月13日
【斯坦福&Google】面向机器人的机器学习,63页PPT
专知会员服务
26+阅读 · 2019年11月19日
自动驾驶高精度定位如何在复杂环境进行
智能交通技术
18+阅读 · 2019年9月27日
语义信息与SLAM有哪些结合点?
计算机视觉life
5+阅读 · 2019年4月23日
激光slam导航方案凭什么更被各大厂家青睐?
计算机视觉life
15+阅读 · 2019年1月25日
视觉SLAM技术综述
计算机视觉life
27+阅读 · 2019年1月4日
对比激光SLAM与视觉SLAM:谁会成为未来主流趋势?
人工智能学家
8+阅读 · 2018年11月13日
【机器视觉】深度解析移动机器人的几种视觉算法
产业智能官
4+阅读 · 2018年11月10日
【紫冬分享】移动机器人视觉里程计综述
中国科学院自动化研究所
12+阅读 · 2018年10月31日
从零开始一起学习SLAM | SLAM有什么用?
计算机视觉life
18+阅读 · 2018年9月17日
阿里工程师详解典型SLAM应用场景及解决方案
机械鸡
6+阅读 · 2017年8月21日
Monocular Plan View Networks for Autonomous Driving
Arxiv
6+阅读 · 2019年5月16日
Structure Aware SLAM using Quadrics and Planes
Arxiv
4+阅读 · 2018年8月13日
Arxiv
8+阅读 · 2018年4月8日
Arxiv
7+阅读 · 2018年2月26日
VIP会员
最新内容
扭曲还是编造?视频大语言模型幻觉研究综述
专知会员服务
0+阅读 · 11分钟前
《采用系统思维应对混合战争》125页
专知会员服务
0+阅读 · 今天12:47
战争机器学习:数据生态系统构建(155页)
专知会员服务
6+阅读 · 今天8:10
内省扩散语言模型
专知会员服务
5+阅读 · 4月14日
国外反无人机系统与技术动态
专知会员服务
3+阅读 · 4月14日
大规模作战行动中的战术作战评估(研究论文)
未来的海战无人自主系统
专知会员服务
3+阅读 · 4月14日
相关VIP内容
最新《深度学习自动驾驶》技术综述论文,28页pdf
专知会员服务
156+阅读 · 2020年6月14日
【开放书】SLAM 中的几何与学习方法,62页pdf
专知会员服务
111+阅读 · 2020年6月5日
基于视觉的三维重建关键技术研究综述
专知会员服务
166+阅读 · 2020年5月1日
【人大】图实现算法综述与评测分析
专知会员服务
38+阅读 · 2020年4月28日
3D目标检测进展综述
专知会员服务
193+阅读 · 2020年4月24日
专知会员服务
87+阅读 · 2019年12月13日
【斯坦福&Google】面向机器人的机器学习,63页PPT
专知会员服务
26+阅读 · 2019年11月19日
相关资讯
自动驾驶高精度定位如何在复杂环境进行
智能交通技术
18+阅读 · 2019年9月27日
语义信息与SLAM有哪些结合点?
计算机视觉life
5+阅读 · 2019年4月23日
激光slam导航方案凭什么更被各大厂家青睐?
计算机视觉life
15+阅读 · 2019年1月25日
视觉SLAM技术综述
计算机视觉life
27+阅读 · 2019年1月4日
对比激光SLAM与视觉SLAM:谁会成为未来主流趋势?
人工智能学家
8+阅读 · 2018年11月13日
【机器视觉】深度解析移动机器人的几种视觉算法
产业智能官
4+阅读 · 2018年11月10日
【紫冬分享】移动机器人视觉里程计综述
中国科学院自动化研究所
12+阅读 · 2018年10月31日
从零开始一起学习SLAM | SLAM有什么用?
计算机视觉life
18+阅读 · 2018年9月17日
阿里工程师详解典型SLAM应用场景及解决方案
机械鸡
6+阅读 · 2017年8月21日
Top
微信扫码咨询专知VIP会员