学界 | 上海交通大学金贤敏团队发布全球首款专用光量子计算软件

2018 年 10 月 5 日 机器之心

机器之心发布

机器之心编辑部


今天,上海交通大学金贤敏教授带领的光子集成与量子信息实验室发布了全球首款专用光量子计算软件。这款名为 FeynmanPAQS 的量子计算软件专注于一系列专用光量子计算算法的实现、图形化界面和实用化开发,其命名旨在向提出量子计算和量子模拟的著名物理学家费曼 (Richard P. Feynman) 致敬,PAQS 则是基于光学的专用模拟量子计算(Photonic Analog Quantum Simulation)的首字母缩写。介绍 FeynmanPAQS 专用光量子计算软件的论文预印本今天在 arXiv 上在线发表 [arXiv:1810.02289 (2018)]。


1981 年,著名物理学家、1965 年诺贝尔物理学奖得主费曼在麻省理工学院的发表题为「Simulating Physics with Computers」的演讲 [后成文发表于 International Journal of Theorectical Physics 21, 467-488 (1982)],首次提出量子计算的思想。费曼设想可以直接利用量子特性来模拟物质世界中的实际问题,让量子计算机的运算过程对应于物理世界的过程,从而实现并行高效地计算求解。因此,专用量子计算(量子模拟)作为实现量子系统与实际计算问题的直接有效对应思想的源头,一直是量子计算研究和发展的核心路线之一。


近年来,关于通用量子计算机的新闻屡见于报端,IBM、谷歌、英特尔等公司争相宣告实现了更高的量子比特数纪录。但是业界共识是即使做出几十个甚至更多量子比特数,如果没有做到全互连、精度不够并且无法进行纠错,通用量子计算仍然无法实现。与之相比,专用量子计算可以直接构建量子系统,不需要像通用量子计算那样依赖复杂量子纠错。一旦能够制备和控制的量子物理系统达到全新尺度,将可直接用于探索新物理和在特定问题上推进远超经典计算机的绝对计算能力。


今年 5 月,金贤敏研究团队利用飞秒激光直写技术制备出世界最大规模的光量子计算芯片,使得基于真正空间二维量子行走在国际上首次得以实现 [Science Advances 4, eaat3174 (2018)]。作为专用量子计算的一个强有力的工具,二维空间中的量子行走,能够将特定计算任务对应到量子演化空间中的相互耦合系数矩阵中,当量子演化体系满足两点:一、规模足够大;二、可以灵活设计结构时,量子行走可用来实现工程、金融、生物医药等各领域中的各种搜索、优化问题,展现出远优于经典计算机的表现,具有广泛的应用前景。该团队通过飞秒激光直写技术已经可以构建 49×49 个光波导的三维集成光子芯片,并且可以实现像 3D 打印一样自由设计结构布局。端面形成的超大演化空间在即使单光子注入情形下就能实现数以千记的量子行走路径。


实验的进展也促进了 FeynmanPAQS 专用光量子计算软件的推出,成为首款可以对应光量子芯片中光波导特性调控、结构设计、实现特定量子计算和量子模拟问题的专用量子计算软件。用户在软件的可交互界面上设计想要的芯片,解决对应研究问题,比如拓扑光子学、能量传输、缺陷和无序、搜索和优化等基础科研或实际工程问题。在软件给出理论参考结果时,现有实验条件也可以在实验中进一步实现。FeynmanPAQS 专用光量子计算软件使量子计算面向更加广泛的科研学者、工程师和热心科普的群体,力图促进更多专用光量子计算算法的发现、基础科研领域交叉、量子计算的工程化应用对接。


该团队计划持续对 FeynmanPAQ 进行扩展和升级,特别是将会不断更新专用光量子计算新发展出的应用方案和实例。目前软件包括四大主要模块:(1)可自由设计的量子行走 (QW);(2)面向开放系统的量子随机行走 (QSW);(3)多粒子量子行走 (MultiParticle);(4)玻色采样 (BosonSampling)。接下来对每一模块的物理原理和使用方法逐一解读:


可自由设计的量子行走 (QW)


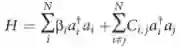
可自由设计的量子行走 (QW) 模块可以实现单个光量子的时间连续型量子行走 (Continuous-time quantum walk)。单光子从一根波导中注入,初始状态为,通过倏逝波耦合传播到邻近的波导中,在大型二维阵列中演化,满足:


H 就是包含波导结构信息的哈密顿量矩阵,它的对角线上是βi, 即沿自身波导 i 的传输系数,非对角线上是 Cij,即波导 i 与 j 之间的耦合系数,与波导间距呈指数衰减关系,因此波导分布确定时 Cij 就可相应地确定。波导传输长度 z 代表演化时间,而光子在波导截面的分布则体现了实时的量子行走演化图形。通过波导的设计就可以构建指定的哈密顿量,实现特定的专用量子计算和量子模拟方案。


在可自由设计的量子行走模块中,用户可以设定常规的方形阵列结构,自由设定水平竖直方向的波导数目、水平竖直波导间距,以及指定入射的波导和演化长度。


更有意思的是,软件提供了一个可天马行空、自由设计任意波导阵列结构的画板,只需要在画板上轻点鼠标,就可以将一根波导确定在这个坐标上。可以画爱心,也可以画五角星(庆祝祖国生日),任何结构只要呈现出来,软件就生成了对应的哈密顿矩阵,用户就可以看到从结构中某一根波导注入、演化指定长度时的实时量子行走演化图形。

 


图为光子在手动画出的任意结构中的演化分布图像


如果将不同演化长度的图像合成动图,就可以看到量子行走随时间演化的过程,看到概率分布强度如星星般闪烁的动态变化。

 

图为方形格子中二维量子行走随时间演化的 GIF 动图


软件也允许用户精确导入自己定义的波导坐标文件,或者对画板上波导坐标进行微调。这样就可以保证哈密顿量矩阵精准满足用户的设计。用户可以根据研究问题对于哈密顿矩阵的具体要求,设计相应的波导阵列结构,方便开展科研和工程化研究。


面向开放系统的量子随机行走 (QSW)


面向开放系统的量子随机行走模块(QSW)基本沿用了量子行走模块(QW)的可交互界面和功能,在此基础上形成量子随机行走的模拟平台。


量子随机行走 (Quantum Stochastic Walks),就是量子行走和经典随机行走的混合,是分析量子开放系统的重要工具。在真实物理世界中,比如凝聚态、生物系统等,常用量子开放系统来描述,这里既不是完全的量子行走,也不是完全的经典随机行走,往往是二者的混合状态,即量子系统受到来自环境的经典噪声退相干。量子、随机和退相干在其中扮演角色一直是科学家探索未知的物态本质和生物体的研究焦点。


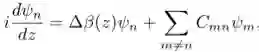
量子随机走常用 Lindblad 方程来描述,用一个参数调控量子随机行走中量子行走的比例。不过由于 Lindblad 方程的参数比较难在具体的物理体系中一一对应,在光量子芯片的量子随机行走采用一个可以直接对应光波导物理参数的模型:Δβ 模型。β 是沿波导方向的传输系数,与波导制备参数有精准的对应关系。通过调控波导参数来不断引入β的随机改变值 Δβ,可以在哈密顿矩阵的对角线上引入随机扰动,随机波动的幅度越大引入的经典随机行走因素越多。运用这个可以直接指导光量子芯片实验的模型,可以实现很多量子开放系统的直接模拟。

 

Δβ 模型在波导系统中引入噪声,实现开放量子系统


软件界面中,相比量子行走模块(QW),增加了对 Δβ 设置,可以对指定的波导设定 Δβ 的随机变化幅度,以及选择看随机变化多次的统计平均结果。同时可以看到指定波导上概率分布随时间的演化结果。

 

图为 QSW 模块 GUI 中设定 Δβ 模型参数的选项


多粒子量子行走 (MultiParticle)


不同于单粒子注入的量子行走,当考虑注入多于一个粒子时,多个粒子之间会发生量子干涉(即 Hong–Ou–Mandel 效应),从而给出非经典的量子关联。同时,多个粒子占据不同(或相同)的波导时,会等效为一个 Hilbert 态空间的高维图,能实现基于量子行走的搜索算法的加速效应。


多光子量子行走模块中,和前两个模块一致,用户可以自定义导入或者画出需要的波导结构。在多光子注入的情形,需要注明每个光子分别从哪根波导注入,显示的数据图表也更加多元化:可以展示多光子在所有波导中的演化概率分布柱状图:

 


可以在确定其余 n-2 个光子出现的波导编号后,观察剩下两个光子的双光子符合:

 


还可以观察单个光子在特定演化度下的概率分布图:

 


所有这些图形和对应数据都可以导出,在 GUI 有清晰的说明,操作方便。


虽然光子是一种玻色子,在光量子芯片中,通过一定的相位调控方法,也可以模拟费米子等其他粒子,将量子模拟应用于更广泛的物理问题中。因此,在多光子量子行走模块中,用户可以选择这些多粒子是可区分的经典粒子 (Distinguishable)、不可区分的玻色子 (Bosonic) 和不可区分的费米子 (Fermionic)。

 

图为 GUI 上选择 Distinguishable、Bosonic、Fermionic 的下拉菜单


这些不同粒子具有聚束、反聚束等各不相同的现象,可以借助软件中的概率分布随时间的演化图来帮助分析。


玻色采样 (BosonSampling)


2011 年,麻省理工学院(MIT)的计算机科学家 Scott Aaronson 和 Alex Arkhipov 提出了玻色子采样问题,问题的核心为对一个 M 个模式输入与输出的线性光学网络(对应一个特定的幺正变换矩阵),注入 N 个不发生相互作用的光子(一般 N<<M),计算出射光子的分布几率。从数学和计算科学意义上讲,计算出射光子的几率分布需要计算幺正矩阵子矩阵的积和式——在计算复杂性理论中,这个问题是属于 #P 完全类——即无法在多项式时间内有效解决,因此对于经典计算机而言,大规模玻色子采样问题就成为了一个不可解问题,在更深层意义上,玻色子采样问题的实验会是对广义邱奇—图灵命题(Extended Church Turing Thesis,ECT)的一个检验,关系到是否存在只是尚未被发现的经典算法可以解决我们目前认为只有量子计算机能有效处理的问题;从实验物理学的角度来说,玻色子采样问题在技术上实现已经相对成熟:实验需要制备单光子态作为输入态,可以用多种方式实现的被动线性光学网络和光子符合测量,对于数十个光子在数百个模式光学网络中的玻色子采样问题,即便是目前运算速度最快的超级计算机也束手无策,从而实现量子霸权(Quantum Supremacy)。玻色采样最早的实验实现由英国、澳大利亚、奥地利和意大利的四个小组同时完成,金贤敏作为主要完成人之一参与了英国牛津大学小组的研究工作 [Science 339, 798 (2013)]。


玻色采样目前常用两种构型,是分别由奥地利因斯布鲁克大学提出的 Reck 构型和英国牛津大学提出的 Clements 构型。

 

上图和下图分别为 Reck 构型和 Clements 构型


用户可以指定一个用户构型,设定模式数,并在可交互界面上指定光子在哪些模式中注入,以及定义每个分束器单元 (Beam Splitter) 的参数。

 

图示为玻色采样参数设置的可交互界面。左击 Node 左边红色星号则在指定 Node 注入光子,每个直线交叉处代表一个分束器,点击交叉处,可以输入分束器参数。


同时需要导入一个初始的幺正矩阵,如果导入矩阵不满足幺正矩阵软件则会提示操作不能继续;用户可以选择让软件自动随机生成一个任意的幺正矩阵。玻色采样结果就是光子在各个模式出口的符合概率分布,可以导出图片和数据两种形式的计算结果。


在多光子量子行走和玻色采样两个模块中,计算多光子干涉都需要涉及大量的矩阵计算,尤其是积和式 permanent 的计算,比如,玻色采样已被证明是难解问题。金贤敏与国防科技大学吴俊杰团队合作,用天河二号超级计算机标定了人类最强经典计算机求解玻色采样问题的能力上限 [National Science Review, nwy079 (2018)]。该工作测试了最快的经典 Ryser 算法和容错率更高的 BB/FG 算法。值得提到的是,经典算法仍然可以进一步改进,在 FeynmanPAQS 中我们采用组合优化算法,可以大大降低计算复杂度,节约计算内存和计算时间,使得相当规模的计算可以在笔记本上就可以完成。本软件是目前可在自有笔记本电脑上单机运行的现有玻色采样软件中可运算光子数及运算效率最高的,为实验研究专用光量子玻色采样机提供支撑。

 

我们采用「Ryser+Gray & Glynn+Gray」组合算法,保证积和式计算的高效率


FeynmanPAQS 1.0 软件和云将于近期上线。FeynmanPAQS 专用光量子计算软件的开发团队希望通过这个用户友好的界面让更多科研学者、其他研究方向的专家、工程师和量子信息科学爱好者参与到光量子计算的尝试中,集思广益,进一步推动量子信息技术的发展。


开发团队也将持续更新模块和实例,目前正在升级加入量子快速到达算法 [arXiv:1807.06625 (2018)]、网页排序算法,也会考虑加入量子人工智能 [Physical Review Letters 120, 240501 (2018)] 的芯片上可运行的算法,会尽快推出 FeynmanPAQS 2.0 版本。通过展示利用专用光量子计算软件实现专用量子计算和专用量子模拟的实验实例,帮助和启发用户更好的使用这个专用光量子计算软件平台,与用户共同推动光量子计算的研究和应用边界。


相关链接:


  • https://arxiv.org/abs/1810.02289

  • http://advances.sciencemag.org/content/4/5/eaat3174

  • http://science.sciencemag.org/content/339/6121/798

  • https://doi.org/10.1093/nsr/nwy079

  • https://arxiv.org/abs/1807.06625

  • https://journals.aps.org/prl/abstract/10.1103/PhysRevLett.120.240501



本文为机器之心发布,转载请联系本公众号获得授权

✄------------------------------------------------

加入机器之心(全职记者 / 实习生):[email protected]

投稿或寻求报道:content@jiqizhixin.com

广告 & 商务合作:[email protected]

登录查看更多
0

相关内容

量子计算是一种遵循量子力学规律调控量子信息单元进行计算的新型计算模式。对照于传统的通用计算机,其理论模型是通用图灵机;通用的量子计算机,其理论模型是用量子力学规律重新诠释的通用图灵机。从可计算的问题来看,量子计算机只能解决传统计算机所能解决的问题,但是从计算的效率上,由于量子力学叠加性的存在,目前某些已知的量子算法在处理问题时速度要快于传统的通用计算机。

知识荟萃

精品入门和进阶教程、论文和代码整理等

更多

查看相关VIP内容、论文、资讯等
华为发布《自动驾驶网络解决方案白皮书》
专知会员服务
130+阅读 · 2020年5月22日
【微众银行】联邦学习白皮书_v2.0,48页pdf,
专知会员服务
170+阅读 · 2020年4月26日
新时期我国信息技术产业的发展
专知会员服务
71+阅读 · 2020年1月18日
阿里巴巴达摩院发布「2020十大科技趋势」
专知会员服务
108+阅读 · 2020年1月2日
阿里云发布机器学习平台PAI v3.0
雷锋网
13+阅读 · 2019年3月22日
量子计算、边缘计算、数据挖掘 前沿研究报告
人工智能学家
6+阅读 · 2019年3月16日
学界丨面向未来培养人工智能人才 天津大学人工智能学院成立
量子计算
人工智能学家
8+阅读 · 2018年4月6日
你知道量子计算吗?它超酷的!
微软研究院AI头条
4+阅读 · 2018年3月16日
Arxiv
27+阅读 · 2019年11月24日
Arxiv
8+阅读 · 2018年1月25日
Arxiv
3+阅读 · 2017年12月14日
VIP会员
最新内容
美国与以色列如何在攻击伊朗中使用人工智能
专知会员服务
2+阅读 · 今天16:20
《自动化战略情报管控》
专知会员服务
1+阅读 · 今天14:31
得失评估:审视对伊朗战争的轨迹(简报)
专知会员服务
2+阅读 · 今天14:19
【CMU博士论文】迈向可解释机器学习的理论基础
专知会员服务
2+阅读 · 今天12:23
基于数据优化的人机协同与机器人僚机
专知会员服务
5+阅读 · 今天2:08
相关VIP内容
相关资讯
阿里云发布机器学习平台PAI v3.0
雷锋网
13+阅读 · 2019年3月22日
量子计算、边缘计算、数据挖掘 前沿研究报告
人工智能学家
6+阅读 · 2019年3月16日
学界丨面向未来培养人工智能人才 天津大学人工智能学院成立
量子计算
人工智能学家
8+阅读 · 2018年4月6日
你知道量子计算吗?它超酷的!
微软研究院AI头条
4+阅读 · 2018年3月16日
Top
微信扫码咨询专知VIP会员