CVPR 2020 | 元学习人脸识别框架详解

2020 年 5 月 15 日 AI科技评论
本文介绍的是CVPR2020 oral论文《Learning Meta FaceRecognition in Unseen Domains(MFG[1])》,作者来自明略科技集团明略科学院与中科院自动化研究所。
者 | 明略科技
编辑 | 丛 末
论文地址:https://arxiv.org/abs/2003.07733


1


导语
人脸识别系统通常在现实应用中面临着未知域的挑战,由于泛化能力差而表现出不令人满意的性能。例如,在Webface数据集上训练有素的模型无法处理安防领域中人证比对的任务。在本文中,旨在学习一种通用模型,该模型可以直接处理新的未知域,无需对模型进行更新。
为此,作者团队提出了一种通过元学习的新型人脸识别方法,称为元人脸识别(MFR)。MFR使用一个元优化目标针对源/目标域的偏移量,这需要模型不仅可以很好的表征源域,而且还很好地表征目标域。具体而言,通过跨域采样策略构建多域组合的批次,并通过优化多域分布在源/目标域上获得反向传播的梯度/元梯度。将梯度和元梯度进一步结合以更新模型以提高泛化性。此外,我们提出了两个用于人脸识别的测试标准。在测试标准上,验证了与其他SOTA方法相比MFR具备很高的泛化能力。

2


简介
针对未知域(Unseen domain)的泛化人脸识别问题:在目标场景未知的条件下,如何设计一个有效的训练策略或方法,让模型不需要微调更新或者重新训练就能在未知场景下取得较好的泛化能力。作者团队提炼出了generalized face recognition问题。值得一提的是,作者团队在AAAI2020上发表的一篇关于人脸防伪的工作AIM-FAS[2] 上也验证了Meta-learning在解决该类问题上具有很好的效果,作者团队首次将元学习应用到人脸识别与人脸防伪这两个应用领域,很有意义。
本篇论文的主要贡献在于首先提出了generalized face recognition这一问题,这个问题在工业界中十分常见,不仅具备科研价值而且具备落地价值;其次,为了解决generalized face recognition问题,作者团队提出了基于元学习的MetaFace Recognition(MFR)框架,将元优化引入到训练过程中,使模型的泛化能力得到了很明显的提高;最后为了将generalized face recognition问题进行量化,并评估MFR与一些其他方法对解决这一问题的能力,作者团队提出了两个新的benchmark,提供了全新的测试标准。
 
3


方法

首先介绍一下generalized face recognition问题,因为人脸识别模型通常部署在未知情况下并且从未见过的数据,因此这种情况更为普遍,所以称为“广义人脸识别问题”。如下图所示,部署的模型应该能够推广到未知的域,并且无需任何做任何更新、微调或者重新训练。


Meta Face Recognition:
针对泛化人脸识别问题,我们提出了一种基于元学习的人脸识别框架MFG(Meta Face Recognition)。MFR主要包括三部分:(1)跨域采样;(2)多域分布优化;(3)元优化。整体的框架下图所示:

首先,跨域采样是为了模拟训练场景和测试场景的分布偏差,每次迭代时,根据训练集的域标签,将训练集分为元训练域和元测试域, 并在两个域中 分别采样一定人数。其次,在 多域分布优化 中,我们使用了三种损失函数,包括难样本损失、软分类损失和域对齐损失,来学习具有判别性和域不变性的人脸表征。最后,元优化通过三个步骤对模型进行优化,(1)元训练:对元训练域进行优化,并得到梯度更新后的模型参数;(2)元测试:在元测试域上,对元训练更新后的模型参数进行二次更新;(3)对元优化和元测试的损失进行加权,对原始模型的参数进行梯度反传更新。元优化的示意图如下图所示:


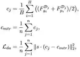
Domain Alignment Loss:
作者团队在实验中发现跨元训练域的负对往往比域内的对容易。通过添加域对齐正则化以使映射特征域不变,我们可以减少不同元训练域的域间隙。此外,使跨元训练域的负样本对变得更加困难,这对于学习更多区分性表示是有益的。为了执行域对齐,我们使多个元训练域的均值映射特征彼此接近。具体来说,我们首先计算元训练域的所有均值映射特征的中心,然后优化所有均值映射特征与该特征中心之间的差异。域对齐损失函数仅适用于元训练域,因为元测试域中仅包含一个域。损失函数的公式如下:

其中,是归一化特征,是从域 中批量采样的平均特征,是元训练域中所有均值映射特征的的特征中心,n是元训练域的数量,s是缩放因子。在元优化中,我们将自适应地利用domain aligment loss与其他两种损失函数的反向传播信号来一起改善模型的通用性。

4


实验
为了验证模型的泛化性,我们提出了两个不同难度的测试协议,如下表所示。一个是跨种族(印度人、非洲人、亚洲人,高加索人)测试协议GFR-R;另一个是跨场景测试协议GFR-V,其更接近实际场景,也更具挑战性。在协议中,目标域的数据在训练中是未知的,用于模拟未知的应用场景。


表1. GFR-R跨人种测试协议和GFR-V跨域测试协议
通过表2可以看出,通过元学习,本方法在跨种族和跨场景的测试中均取得了最好的性能。可以看到MFR的模型泛化能力是很强的,这种训练框架很适用于跨域的应用场景。

表2. GFR-R跨人种测试协议和GFR-V跨域测试协议结果。

5


总结
Generalized face recognition问题还很值得挖掘,并且MFR也依然有可以提升性能的空间。在工业界中,使用MFR的方式去做人脸识别模型的训练,相比之前的方法,在面对新的场景上,表现会有所提升。
Reference:
[1] JianzhuGuo et al., Learning Meta Face Recognition in Unseen Domains, CVPR2020 (Oral)
[2]Yunxiao Qin et al., Learning Meta Model for Zero- and Few-shot FaceAnti-spoofing, AAAI2020 (Spotlight)


ACL 2020原定于2020年7月5日至10日在美国华盛顿西雅图举行,因新冠肺炎疫情改为线上会议。为促进学术交流,方便国内师生提早了解自然语言处理(NLP)前沿研究,AI 科技评论将推出「ACL 实验室系列论文解读」内容,同时欢迎更多实验室参与分享,敬请期待!
点击"阅读原文",直达“ACL 交流小组”了解更多会议信息。


登录查看更多
1

相关内容

【ICML 2020 】小样本学习即领域迁移
专知会员服务
78+阅读 · 2020年6月26日
【CVPR2020-北京大学】自适应间隔损失的提升小样本学习
专知会员服务
85+阅读 · 2020年6月9日
【CVPR 2020-商汤】8比特数值也能训练卷积神经网络模型
专知会员服务
26+阅读 · 2020年5月7日
专知会员服务
88+阅读 · 2020年1月20日
近期必读的5篇 CVPR 2019【图卷积网络】相关论文和代码
专知会员服务
33+阅读 · 2020年1月10日
【资源】领域自适应相关论文、代码分享
专知
32+阅读 · 2019年10月12日
【泡泡图灵智库】基于草图的图像检索的零元学习
泡泡机器人SLAM
12+阅读 · 2019年9月16日
CVPR2019 | ArcFace:构建高效的人脸识别系统(已开源)
极市平台
11+阅读 · 2019年5月28日
人脸识别研究取得进展
中科院之声
4+阅读 · 2019年3月26日
人脸识别 | 基于深度学习以人类为中心的图像理解
计算机视觉战队
7+阅读 · 2019年3月17日
Arxiv
5+阅读 · 2020年3月17日
Arxiv
7+阅读 · 2018年12月5日
Arxiv
8+阅读 · 2018年6月19日
VIP会员
最新内容
人工智能在战场行动中的演进及伊朗案例
专知会员服务
4+阅读 · 4月18日
美AI公司Anthropic推出网络安全模型“Mythos”
专知会员服务
2+阅读 · 4月18日
【博士论文】面向城市环境的可解释计算机视觉
大语言模型的自改进机制:技术综述与未来展望
《第四代军事特种作战部队选拔与评估》
专知会员服务
1+阅读 · 4月18日
Top
微信扫码咨询专知VIP会员