探索孪生神经网络:请停止你的梯度传递!

2020 年 12 月 6 日 AINLP

关于写东西,因年中比较大变动,荒废了。人一懒下来就没个头,想着不能一直这样下去,决定从简单做起,真正阻拦写东西的是,每次一想到写完之后,排版润色一下几个小时就出去了,头疼。

那就先从写开始,慢慢先习惯写点东西,就像康复训练,也不管有没有人读。于是乎,也写了有一俩月了。

最近和朋友聊到,写东西不要追求量,要追求质,一个爆款就能吸很多粉,虽然自己很佛系,但想想也是这么个道理。

于是,开始改变风格,慢慢写。

...数日后...

于是就忙到像这次,中间空一天,周末再出去滑个雪,就好几天过去。

前段时间,都在读 EMNLP 一些论文,虽然也有很多不错论文,但都没有一篇能比上这篇 CV 领域论文带给我的喜悦。

这篇论文最开始吸引我的点,当然就是作者栏,正是恺明大神(膜拜),而一作陈鑫磊, CMU 毕业的博士大佬。此外,这是篇来自 FAIR (Facebook AI 研究院)的论文,而 FAIR 论文,总给我一种朴实无华但又干货满满的感觉。

首先这篇论文,标题说研究孪生网络,但其实和最近很火的对比学习(Contrastive Learning)息息相关。因此比较的方法模型也都是对比学习中的前辈们,比如顶顶大名的出自 Hinton 的 SimCLR,还有非常神奇如同自己给自己提起来的 BYOL 模型,然后就是前段时间同样出自 FAIR 的 SwAV.

读这篇论文,也可以同时参考上面提到的三个模型,都是非常有意思的论文,尤其 BYOL.

[SimCLR] A Simple Framework for Contrastive Learning of Visual Representations: https://arxiv.org/abs/2002.05709v1

[BYOL] Bootstrap Your Own Latent: A New Approach to Self-Supervised Learning: http://arxiv.org/abs/2006.07733

[SwAV] Unsupervised Learning of Visual Features by Contrasting Cluster Assignments: http://arxiv.org/abs/2006.09882

这些论文总体来说都是在解决一个问题,怎么用孪生网络来进行自监督对比学习,保证训练不会出现崩塌(collapsing)情况下,获得比较好的表示。所谓崩塌,也就是模型为了偷懒,无论什么图片都会输出同样表示,这样结果 loss 很小,然后却没学到任何东西。

怎么做?停止梯度就好了,So Easy!

这篇论文提出的模型叫做 SimSiam(Simple Siamese)网络,事实上正如其名,真的蛮 Simple 的。

模型整体架构很简单,如下图


几句话也就能解释完,

  1. 首先一张图片 x,如一般对比学习的套路,用图片增强的算法获得两张增强过后的图 x1x2
  2. 接着,朴实无华地直接将两张图片输入编码器 f,如孪生网络一般设置,两个编码器共享参数,拿到两个表示 z1z2
  3. 之后将 z1 过一个 预测 (prediction) 头,就是个双层的 MLP 网络,拿到 p1
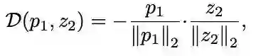
  4. 最后用这个表示 p1 和之前获得的 z2 计算一个余弦相似度(Cosine Similarity)
  5. 优化时,最大化该相似度就行,等同于最小化负余弦相似度

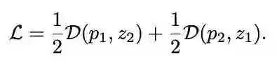
  1. 于是我们就完成一半了,将上面的损失作为 L1
  2. 接着从第 3 步,将 z1 换成 z2 过预测头,同样过程获得 p2,接着如第 4 步 p2z1 计算余弦相似度,获得损失 L2。就是个 对称过程
  3. 最后,总损失为 

即论文中的


到目前为止还只是个前向过程,还不是最关键的点,最关键点是在反向过程。该篇论文中最关键的 idea:对右端的模型停止梯度传播(Stop-Gradient)

就如结构图里表示的一样,而反应在公式则会成为

这就是 SimSiam 的大致结构和整个过程了。

非常简单明了是吧。

模型细节:平凡产生不平凡

关于一些实现细节。

编码器 f 是由一个 backbone(主干) 网络加一个 Projection(投影) MLP 头组成,而 backbone 由 ResNet-50 来担当。而 MLP 头则是三层 MLP,每层都有 BN (Batch Normalization),前两层有 ReLU,输出层没 ReLU.

最后还有将特征 z 转换成 p 的 预测 MLP 头,有两层,中间隐层维度小些,第一层有 BN 和 ReLU,输出层没有 BN.

之后实验有对 MLP 层为什么如此设置做对比实验,可以暂且按下好奇心。

So—,Why it works?

至此,基本结构以及细节就介绍完了,看上去平平无奇。它既没用到 SimCLR 的负样本对,也没 SwAV 的聚类算法,也没 BYOL 的 momentum encoder。只是在孪生网络的一边不传递梯度。

但事实上,它又是很 work 的。

不光让训练变得稳定了,而且和其他方法也能有得一比,同时对各种参数的要求也更少。

看到只有 BYOL 比它好很多,从之后的实验看,可以认为 BYOL 是它的一个改进版本。

首先说模型的原理,以及从中推导出的 Stop-Gradient 为什么是 work 的

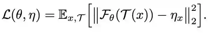
先考虑如下形式的损失函数

这里  是参数为  的神经网络,可以理解为上面讲的编码器模型,而 T 则是一个图片增强操作。至于  则是图片 x 的表示,不一定需要是神经网络输出。所以上式中,MSE 的两个部分,前面可理解为之前孪生网络的左边,而后面的  可理解为模型右边。

式中的两个参数就是  和  ,而优化损失函数的过程就是优化这俩参数。

于是可以将这个优化过程类比成 k-means 聚类一样的优化过程,利用的是类似 EM (Expectation-Maximization) 的优化过程。

给优化看出两个阶段,E 阶段和 M 阶段,而简单说就是将整体优化分成

  • 先优化 
  • 再优化 

对前一步,因为  是神经网络模型的参数,所以自然直接用梯度下降就能优化。而对于后一步,因为是损失函数是 MSE,所以也好解,直接求导最小值

所以  的最优值是图片 x 增强之后,再过模型获得表示的一个平均表示

但因为这个平均表示并不好拿到,所以这里是直接用单步的结果来进行估算,其实也就是上面模型介绍里面的过程,对图片增强一次,直接过模型拿到表示

这样就大致获得了 SimSiam 的形式。而此时再理解模型右端为啥要用 Stop-gradient 就自然而然了,因为在是优化过程中,它并不需要反向传播的信息,优化  的时候  是被看成是常数的

当然还有一些地方没有进行解释,比如预测头。

下面就来分析一下,预测头,以及其他一些因素,比如对称的影响。

分析实验:预测头?批大小?BN?相似函数?对称?

预测头

关于预测头的分析是模型中各部分分析最有意思的地方了。其实在对比学习中,很多模型都发现额外加一个简单的 MLP 头能对性能提升很大。

这里怎么解释预测头为什么 work 呢?

首先,先对模型做经验实验,分别用没有预测头的,和有预测头但固定随机初始化参数的,和原有进行对比。

结果发现,仅仅只是少了个 MLP 预测头,结果就天差地别,根本就不能收敛。

于是重新回顾上一小节的推导过程,到底是什么地方出错了呢,扫过来,发现只有一个地方是有明显问题的,按照推导  理当是

但为了方便计算我们是直接用了

来估算的。所以只可能是这个地方出的问题,用单张图片的结果来估算整体平均导致的训练不稳定。因此可以提出如下假说

假说:预测头主要是学习一个函数,而这个函数可以大致理解为是一个从单次增强 x 的表示预测整体期望的函数。

真的是这样吗,作者们又做了如下实验来侧面验证,也就是用滑动平均来估算  期望

发现用上式,即使没有预测头也能获得 55% 的准确率,而如果没用滑动平均也没用预测头的时候就完全训练不起来。所以可以认为,预测头一定程度上是有承担这个计算期望的过程

批大小

通过经验实验,作者们发现当前方法对批大小不怎么挑,不像之前一些方法会要求用大的批大小。

而且对优化器也没有特殊要求,比如要用 LARS 这样,这里直接用最 vanilla 的 SGD 就行,当然也发现 SGD 用大 batch 会表现有些不好。

Batch Normalization

相比在看模型架构的时候,有心的童鞋,也会和我看的时候一样,比较疑惑为什么两个 MLP 头里面 BN 和激活要这样设置。

于是作者也贴心的做了对比实验

如表,发现就默认设置是最好的,至于为什么,经验实验嘛。

相似函数

对比学习中计算损失函数的时候因为要使用相似函数,所以这一块也可以稍微探索一下,比如说不用余弦相似,而用如 SwAV 一样的交叉熵相似。

结果发现也能行,但是效果并没余弦相似好

当然这也说明 Stop-gradient 策略和计算损失的相似函数没有什么关系

对称

SimSiam 中计算损失的时候有一个对称过程,那这个对称是不是必要的呢。根据之前的分析推导,其实并没有说到对称嘛。

通过实验发现

对称确实不是必要的,不对称并不是不能训练,只是性能低了些。

作者的解释是,对称过程其实就像是一个密集采样,可以让估算期望的时候更精确。而上表中最右边的实验就是不用对称形式,而是不对称形式进行两次采样,然后平均计算损失,性能只是差了些。

模型对比:胡乱的亲属关系

和之前对比学习模型的比较,其实看下图就行了

和 SimCLR 的不同主要就在于

  • 首先当然是有 Stop-gradient
  • 其次没有负例对,也就是不计算 dissimilarity

和 SwAV 的不同主要在于

  • SwAV 在右端是用的 Sinkhorn-Knopp (SK) 变换便于聚类运算,而这里用的 stop-gradient

而和 BYOL 的不同感觉其实最小

  • BYOL 默认就是 stop-gradient,而右端的 encoder 用的是左边的滑动平均,其实也能理解为计算了一个更平滑的 


由于微信平台算法改版,公号内容将不再以时间排序展示,如果大家想第一时间看到我们的推送,强烈建议星标我们和给我们多点点【在看】。星标具体步骤为:

(1)点击页面最上方"AINLP",进入公众号主页。

(2)点击右上角的小点点,在弹出页面点击“设为星标”,就可以啦。

感谢支持,比心

欢迎加入AINLP技术交流群
进群请添加AINLP小助手微信 AINLPer(id: ainlper),备注NLP技术交流 

推荐阅读

这个NLP工具,玩得根本停不下来

征稿启示| 200元稿费+5000DBC(价值20个小时GPU算力)

完结撒花!李宏毅老师深度学习与人类语言处理课程视频及课件(附下载)

从数据到模型,你可能需要1篇详实的pytorch踩坑指南

如何让Bert在finetune小数据集时更“稳”一点

模型压缩实践系列之——bert-of-theseus,一个非常亲民的bert压缩方法

文本自动摘要任务的“不完全”心得总结番外篇——submodular函数优化

Node2Vec 论文+代码笔记

模型压缩实践收尾篇——模型蒸馏以及其他一些技巧实践小结

中文命名实体识别工具(NER)哪家强?

学自然语言处理,其实更应该学好英语

斯坦福大学NLP组Python深度学习自然语言处理工具Stanza试用

关于AINLP

AINLP 是一个有趣有AI的自然语言处理社区,专注于 AI、NLP、机器学习、深度学习、推荐算法等相关技术的分享,主题包括文本摘要、智能问答、聊天机器人、机器翻译、自动生成、知识图谱、预训练模型、推荐系统、计算广告、招聘信息、求职经验分享等,欢迎关注!加技术交流群请添加AINLPer(id:ainlper),备注工作/研究方向+加群目的。


阅读至此了,分享、点赞、在看三选一吧🙏

登录查看更多
1

相关内容

通过潜在空间的对比损失最大限度地提高相同数据样本的不同扩充视图之间的一致性来学习表示。对比式自监督学习技术是一类很有前途的方法,它通过学习编码来构建表征,编码使两个事物相似或不同
【Cell 2020】神经网络中的持续学习
专知会员服务
62+阅读 · 2020年11月7日
专知会员服务
29+阅读 · 2020年10月24日
《小样本元学习》2020最新综述论文
专知会员服务
173+阅读 · 2020年7月31日
[ICML-Google]先宽后窄:对深度薄网络的有效训练
专知会员服务
36+阅读 · 2020年7月5日
【CVPR 2020-商汤】8比特数值也能训练卷积神经网络模型
专知会员服务
26+阅读 · 2020年5月7日
神经网络中 warmup 策略为什么有效?
极市平台
10+阅读 · 2019年9月23日
当前训练神经网络最快的方式:AdamW优化算法+超级收敛
中国人工智能学会
6+阅读 · 2018年7月4日
如何用张量分解加速深层神经网络?(附代码)
理解神经网络的激活函数
论智
7+阅读 · 2018年1月8日
从零开始:教你如何训练神经网络
机器之心
5+阅读 · 2017年12月11日
如何找到最优学习率?
AI研习社
11+阅读 · 2017年11月29日
教程 | 如何估算深度神经网络的最优学习率
机器之心
3+阅读 · 2017年11月17日
使用张量融合神经网络的基于属性的人脸识别
统计学习与视觉计算组
3+阅读 · 2017年11月2日
Arxiv
0+阅读 · 2021年2月9日
Conditional BERT Contextual Augmentation
Arxiv
8+阅读 · 2018年12月17日
Arxiv
6+阅读 · 2018年10月3日
Arxiv
11+阅读 · 2018年4月25日
VIP会员
最新内容
内省扩散语言模型
专知会员服务
2+阅读 · 4月14日
国外反无人机系统与技术动态
专知会员服务
3+阅读 · 4月14日
大规模作战行动中的战术作战评估(研究论文)
未来的海战无人自主系统
专知会员服务
3+阅读 · 4月14日
美军多域作战现状分析:战略、概念还是幻想?
无人机与反无人机系统(书籍)
专知会员服务
17+阅读 · 4月14日
美陆军2026条令:安全与机动支援
专知会员服务
7+阅读 · 4月14日
相关VIP内容
【Cell 2020】神经网络中的持续学习
专知会员服务
62+阅读 · 2020年11月7日
专知会员服务
29+阅读 · 2020年10月24日
《小样本元学习》2020最新综述论文
专知会员服务
173+阅读 · 2020年7月31日
[ICML-Google]先宽后窄:对深度薄网络的有效训练
专知会员服务
36+阅读 · 2020年7月5日
【CVPR 2020-商汤】8比特数值也能训练卷积神经网络模型
专知会员服务
26+阅读 · 2020年5月7日
相关资讯
神经网络中 warmup 策略为什么有效?
极市平台
10+阅读 · 2019年9月23日
当前训练神经网络最快的方式:AdamW优化算法+超级收敛
中国人工智能学会
6+阅读 · 2018年7月4日
如何用张量分解加速深层神经网络?(附代码)
理解神经网络的激活函数
论智
7+阅读 · 2018年1月8日
从零开始:教你如何训练神经网络
机器之心
5+阅读 · 2017年12月11日
如何找到最优学习率?
AI研习社
11+阅读 · 2017年11月29日
教程 | 如何估算深度神经网络的最优学习率
机器之心
3+阅读 · 2017年11月17日
使用张量融合神经网络的基于属性的人脸识别
统计学习与视觉计算组
3+阅读 · 2017年11月2日
相关论文
Arxiv
0+阅读 · 2021年2月9日
Conditional BERT Contextual Augmentation
Arxiv
8+阅读 · 2018年12月17日
Arxiv
6+阅读 · 2018年10月3日
Arxiv
11+阅读 · 2018年4月25日
Top
微信扫码咨询专知VIP会员