深度学习最全优化方法总结比较(SGD,Adagrad,Adadelta,Adam,Adamax,Nadam)

2019 年 9 月 5 日 极市平台

加入极市专业CV交流群,与6000+来自腾讯,华为,百度,北大,清华,中科院等名企名校视觉开发者互动交流!更有机会与李开复老师等大牛群内互动!

同时提供每月大咖直播分享、真实项目需求对接、干货资讯汇总,行业技术交流。关注 极市平台 公众号 ,回复 加群,立刻申请入群~


作者:ycszen

https://zhuanlan.zhihu.com/p/22252270

来源:知乎,已获作者授权转载,禁止二次转载。


前言 


本文仅对一些常见的优化方法进行直观介绍和简单的比较,各种优化方法的详细内容及公式只好去认真啃论文了,在此我就不赘述了。


SGD 

此处的SGD指mini-batch gradient descent,关于batch gradient descent, stochastic gradient descent, 以及 mini-batch gradient descent的具体区别就不细说了。现在的SGD一般都指mini-batch gradient descent。 


SGD就是每一次迭代计算mini-batch的梯度,然后对参数进行更新,是最常见的优化方法了。即:


 

其中,是学习率,是梯度 SGD完全依赖于当前batch的梯度,所以 可理解为允许当前batch的梯度多大程度影响参数更新 


缺点:(正因为有这些缺点才让这么多大神发展出了后续的各种算法) 


选择合适的learning rate比较困难 - 对所有的参数更新使用同样的learning rate。对于稀疏数据或者特征,有时我们可能想更新快一些对于不经常出现的特征,对于常出现的特征更新慢一些,这时候SGD就不太能满足要求了


SGD容易收敛到局部最优,并且在某些情况下可能被困在鞍点【原来写的是“容易困于鞍点”,经查阅论文发现,其实在合适的初始化和step size的情况下,鞍点的影响并没这么大。感谢@冰橙的指正】


Momentum

momentum是模拟物理里动量的概念,积累之前的动量来替代真正的梯度。公式如下:

 


其中,是动量因子


特点:

  • 下降初期时,使用上一次参数更新,下降方向一致,乘上较大的能够进行很好的加速 

  • 下降中后期时,在局部最小值来回震荡的时候,, 使得更新幅度增大,跳出陷阱 

  • 在梯度改变方向的时候,能够减少更新 总而言之,momentum项能够在相关方向加速SGD,抑制振荡,从而加快收敛


Nesterov

nesterov项在梯度更新时做一个校正,避免前进太快,同时提高灵敏度。将上一节中的公式展开可得:

 


可以看出, 并没有直接改变当前梯度,所以Nesterov的改进就是让之前的动量直接影响当前的动量。即: 

 

 

所以,加上nesterov项后,梯度在大的跳跃后,进行计算对当前梯度进行校正。如下图:

  

momentum首先计算一个梯度(短的蓝色向量),然后在加速更新梯度的方向进行一个大的跳跃(长的蓝色向量),nesterov项首先在之前加速的梯度方向进行一个大的跳跃(棕色向量),计算梯度然后进行校正(绿色梯向量) 


其实,momentum项和nesterov项都是为了使梯度更新更加灵活,对不同情况有针对性。但是,人工设置一些学习率总还是有些生硬,接下来介绍几种自适应学习率的方法 


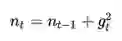
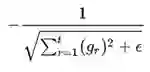
Adagrad 


Adagrad其实是对学习率进行了一个约束。即: 

 


此处,对从1到进行一个递推形成一个约束项regularizer,  , e用来保证分母非0 


特点

  • 前期较小的时候, regularizer较大,能够放大梯度 

  • 后期较大的时候,regularizer较小,能够约束梯度 

  • 适合处理稀疏梯度 


缺点


由公式可以看出,仍依赖于人工设置一个全局学习率 

设置过大的话,会使regularizer过于敏感,对梯度的调节太大 

中后期,分母上梯度平方的累加将会越来越大,使,使得训练提前结束 


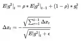
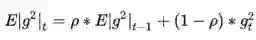
Adadelta 

Adadelta是对Adagrad的扩展,最初方案依然是对学习率进行自适应约束,但是进行了计算上的简化。Adagrad会累加之前所有的梯度平方,而Adadelta只累加固定大小的项,并且也不直接存储这些项,仅仅是近似计算对应的平均值。即:  



在此处Adadelta其实还是依赖于全局学习率的,但是作者做了一定处理,经过近似牛顿迭代法之后: 



其中,代表求期望。 


此时,可以看出Adadelta已经不用依赖于全局学习率了。 


特点

  • 训练初中期,加速效果不错,很快 

  • 训练后期,反复在局部最小值附近抖动 


RMSprop 


RMSprop可以算作Adadelta的一个特例:

 

时,就变为了求梯度平方和的平均数。 


如果再求根的话,就变成了RMS(均方根): 

 


此时,这个RMS就可以作为学习率的一个约束: 

 



特点

  • 其实RMSprop依然依赖于全局学习率 

  • RMSprop算是Adagrad的一种发展,和Adadelta的变体,效果趋于二者之间

  • 适合处理非平稳目标 - 对于RNN效果很好 


Adam 


Adam(Adaptive Moment Estimation)本质上是带有动量项的RMSprop,它利用梯度的一阶矩估计和二阶矩估计动态调整每个参数的学习率。Adam的优点主要在于经过偏置校正后,每一次迭代学习率都有个确定范围,使得参数比较平稳。公式如下: 



其中,分别是对梯度的一阶矩估计和二阶矩估计,可以看作对期望的估计;是对 的校正,这样可以近似为对期望的无偏估计。可以看出,直接对梯度的矩估计对内存没有额外的要求,而且可以根据梯度进行动态调整,而 对学习率形成一个动态约束,而且有明确的范围。


特点

  • 结合了Adagrad善于处理稀疏梯度和RMSprop善于处理非平稳目标的优点 

  • 对内存需求较小 

  • 为不同的参数计算不同的自适应学习率 

  • 也适用于大多非凸优化 - 适用于大数据集和高维空间 


Adamax 

Adamax是Adam的一种变体,此方法对学习率的上限提供了一个更简单的范围。公式上的变化如下: 



可以看出,Adamax学习率的边界范围更简单



Nadam 


Nadam类似于带有Nesterov动量项的Adam。公式如下: 



可以看出,Nadam对学习率有了更强的约束,同时对梯度的更新也有更直接的影响。一般而言,在想使用带动量的RMSprop,或者Adam的地方,大多可以使用Nadam取得更好的效果。 


经验之谈 


对于稀疏数据,尽量使用学习率可自适应的优化方法,不用手动调节,而且最好采用默认值 SGD通常训练时间更长,但是在好的初始化和学习率调度方案的情况下,结果更可靠 如果在意更快的收敛,并且需要训练较深较复杂的网络时,推荐使用学习率自适应的优化方法。Adadelta,RMSprop,Adam是比较相近的算法,在相似的情况下表现差不多。 在想使用带动量的RMSprop,或者Adam的地方,大多可以使用Nadam取得更好的效果


最后展示两张可厉害的图,一切尽在图中啊,上面的都没啥用了... ... 



 损失平面等高线 




在鞍点处的比较



引用


[1]Adagrad(http://www.jmlr.org/papers/volume12/duchi11a/duchi11a.pdf)

[2]RMSprop[Lecture 6e]

(http://www.cs.toronto.edu/~tijmen/csc321/lecture_notes.shtml)

[3]Adadelta(http://arxiv.org/abs/1212.5701)

[4]Adam(http://arxiv.org/abs/1412.6980v8)

[5]Nadam(http://cs229.stanford.edu/proj2015/054_report.pdf)

[6]On the importance of initialization and momentum in deep learning

(http://www.cs.toronto.edu/~fritz/absps/momentum.pdf)

[7]Keras中文文档(http://keras-cn.readthedocs.io/en/latest/)

[8]Alec Radford(https://twitter.com/alecrad)

[9]An overview of gradient descent optimization algorithms(http://sebastianruder.com/optimizing-gradient-descent/)

[10]Gradient Descent Only Converges to Minimizers(http://www.jmlr.org/proceedings/papers/v49/lee16.pdf)

[11]Deep Learning:Nature

(http://www.nature.com/nature/journal/v521/n7553/abs/nature14539.html)




-完-



*延伸阅读



添加极市小助手微信(ID : cv-mart),备注:研究方向-姓名-学校/公司-城市(如:目标检测-小极-北大-深圳),即可申请加入目标检测、目标跟踪、人脸、工业检测、医学影像、三维&SLAM、图像分割等极市技术交流群,更有每月大咖直播分享、真实项目需求对接、干货资讯汇总,行业技术交流一起来让思想之光照的更远吧~


△长按添加极市小助手


△长按关注极市平台


觉得有用麻烦给个在看啦~  

登录查看更多
21

相关内容

【新书册】贝叶斯神经网络,41页pdf
专知会员服务
180+阅读 · 2020年6月3日
Fariz Darari简明《博弈论Game Theory》介绍,35页ppt
专知会员服务
112+阅读 · 2020年5月15日
求解稀疏优化问题——半光滑牛顿方法
极市平台
50+阅读 · 2019年11月30日
小目标检测相关技巧总结
极市平台
28+阅读 · 2019年8月15日
深度学习优化算法总结(SGD,AdaGrad,Adam等)
极市平台
34+阅读 · 2019年4月30日
深度学习面试100题(第41-45题)
七月在线实验室
15+阅读 · 2018年7月18日
当前训练神经网络最快的方式:AdamW优化算法+超级收敛
中国人工智能学会
6+阅读 · 2018年7月4日
Adam那么棒,为什么还对SGD念念不忘 (2)
AI研习社
3+阅读 · 2018年1月1日
深度学习超参数简单理解
计算机视觉战队
4+阅读 · 2017年11月28日
最近流行的激活函数
计算机视觉战队
6+阅读 · 2017年11月27日
绝对干货 | 随机梯度下降算法综述
菜鸟的机器学习
15+阅读 · 2017年10月30日
A Modern Introduction to Online Learning
Arxiv
21+阅读 · 2019年12月31日
Optimization for deep learning: theory and algorithms
Arxiv
106+阅读 · 2019年12月19日
Arxiv
11+阅读 · 2018年4月25日
VIP会员
最新内容
以色列-美国-伊朗战争中的无人机:关键要点
专知会员服务
1+阅读 · 32分钟前
《Palantir任务保障性软件安全标准(MA-S2)》
专知会员服务
2+阅读 · 47分钟前
基于声学的无人机检测技术综述
专知会员服务
3+阅读 · 59分钟前
《当代混合战争分析框架:俄乌战争经验教训》
专知会员服务
3+阅读 · 今天13:11
战略前沿人工智能的再思考(中文)
专知会员服务
7+阅读 · 5月29日
《量化地基防空系统间接效应的博弈论方法》
专知会员服务
5+阅读 · 5月29日
“史诗怒火行动”中美军损失的作战飞机
专知会员服务
6+阅读 · 5月29日
ICML 2026 | 理解上下文持续学习中的泛化与遗忘
专知会员服务
5+阅读 · 5月28日
相关VIP内容
【新书册】贝叶斯神经网络,41页pdf
专知会员服务
180+阅读 · 2020年6月3日
Fariz Darari简明《博弈论Game Theory》介绍,35页ppt
专知会员服务
112+阅读 · 2020年5月15日
相关资讯
求解稀疏优化问题——半光滑牛顿方法
极市平台
50+阅读 · 2019年11月30日
小目标检测相关技巧总结
极市平台
28+阅读 · 2019年8月15日
深度学习优化算法总结(SGD,AdaGrad,Adam等)
极市平台
34+阅读 · 2019年4月30日
深度学习面试100题(第41-45题)
七月在线实验室
15+阅读 · 2018年7月18日
当前训练神经网络最快的方式:AdamW优化算法+超级收敛
中国人工智能学会
6+阅读 · 2018年7月4日
Adam那么棒,为什么还对SGD念念不忘 (2)
AI研习社
3+阅读 · 2018年1月1日
深度学习超参数简单理解
计算机视觉战队
4+阅读 · 2017年11月28日
最近流行的激活函数
计算机视觉战队
6+阅读 · 2017年11月27日
绝对干货 | 随机梯度下降算法综述
菜鸟的机器学习
15+阅读 · 2017年10月30日
Top
微信扫码咨询专知VIP会员