半导体超晶格研究获进展

2018 年 10 月 8 日 中科院之声

最近由中国、西班牙和德国组成的研究团队(中国科学院苏州纳米技术与纳米仿生研究所、国防科技大学、西班牙皇家马德里第三大学和德国Paul-Drude固体电子研究所),通过研究证明了利用噪声,可以在一种由量子共振隧穿效应引起的具有多自由度非线性动力学系统的半导体超晶格器件中诱导出空间和时间序,用于检测并放大高频微弱信号。这种物理效应可以用来识别隐藏在强噪声中的未知微弱信号;或者将有用的微弱信号嵌入到噪声背景中并恢复出来,这样可以对捕获到的有用信号进行加密。例如,从噪声环境中提取对话信号、进行天文观测、雷达信号探测、图像处理等。目前,其研究结果分别以两篇连续论文的形式发表在国际刊物《物理评论快报》(简称PRL)上,其中一篇侧重于物理实验研究[PRL 121,086806(2018)],另一篇侧重于数值模拟的理论研究[PRL 121,086805(2018)]。

  

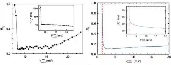
该研究团队将噪声与微弱周期信号耦合应用于Al含量为45%的GaAs/(Al,Ga)As弱耦合超晶格非线性系统中,获得了较为理想的物理结果。噪声能促使静止状态的系统进入周期性振荡模式,导致电流自激振荡的频率范围在100 MHz左右,这被称为相干共振;同时,基于离散的弱耦合超晶格级联共振隧穿模型,进行的电子输运数值模拟很好地再现了实验结果。图1给出了实验和理论模拟得到的振荡峰间隔的标准方差和噪声均方根值的关系图。进一步,在噪声背景中叠加频率接近电流自激振荡频率的微弱周期信号,非线性系统的相干共振模式会被这个叠加的微弱信号锁相,把背景噪声的能量转换给微弱信号,既实现了微弱信号放大,同时又改善了信噪比,这种现象被称为随机共振,如图2所示。这种随机共振可以作为被动锁相放大器使用,用于探测和识别被噪声背景淹没的微弱信号,不需要参考信号,并且具有比传统锁相放大器更短的积分时间。目前,所有检测微弱信号的方法都是基于已知参考信号,是主动探测模式而不是被动探测模式,这样就不能用于识别隐藏在强噪声背景中的未知信号。典型的锁相放大器需要几十Hz到MHz范围的参考信号和毫秒量级的积分时间。在相干共振的宽频率范围内,利用超晶格器件的随机共振效应,允许在没有参考信号的情况下进行未知微弱信号的检测与识别,并且可以显著减少处理信号的积分时间。

  

该项工作由邵铮铮和殷志珍作为共同第一作者完成,得到苏州纳米所课题组内所有同事以及M. Carretero,E. Mompo,S. W.Teitsworth研究团队的支持,得到中科院战略先导专项(XDA06010705)、国家自然科学基金(61070040和61204093)、国家重点研发计划(2016YFE0129400)、探索项目(7131266)等的资助和支持。


 

图1. 实验和理论模拟得到的振荡峰间隔的标准方差和噪声均方根值的关系图


 

图2. 时域和频域中,输出信号与噪声均方根值的关系图


来源:中国科学院苏州纳米技术与纳米仿生研究所


温馨提示:近期,微信公众号信息流改版。每个用户可以设置 常读订阅号,这些订阅号将以大卡片的形式展示。因此,如果不想错过“中科院之声”的文章,你一定要进行以下操作:进入“中科院之声”公众号 → 点击右上角的 ··· 菜单 → 选择「设为星标」





登录查看更多
0

相关内容

大数据安全技术研究进展
专知会员服务
96+阅读 · 2020年5月2日
基于视觉的三维重建关键技术研究综述
专知会员服务
166+阅读 · 2020年5月1日
基于深度学习的多标签生成研究进展
专知会员服务
147+阅读 · 2020年4月25日
【自动化学报】零样本学习研究进展,中国石油大学
专知会员服务
88+阅读 · 2020年1月27日
2019中国硬科技发展白皮书 193页
专知会员服务
86+阅读 · 2019年12月13日
【上海交大】半监督学习理论及其研究进展概述
专知会员服务
71+阅读 · 2019年10月18日
【综述】智能医疗综述,48页论文详述医学AI最新进展
专知会员服务
71+阅读 · 2019年9月1日
自动驾驶车辆定位技术概述|厚势汽车
厚势
10+阅读 · 2019年5月16日
同质结中的“超注入”现象:半导体光源迎来新机遇!
海洋论坛丨水声目标识别技术现状与发展
无人机
26+阅读 · 2018年12月17日
【质量检测】机器视觉表面缺陷检测综述
产业智能官
30+阅读 · 2018年9月24日
机器视觉技术的农业应用研究进展
科技导报
7+阅读 · 2018年7月24日
微表情检测和识别的研究进展与趋势
中国计算机学会
15+阅读 · 2018年3月23日
红外弱小目标处理研究获进展
中科院之声
18+阅读 · 2017年11月19日
干货 | 目标识别算法的进展
计算机视觉战队
17+阅读 · 2017年6月29日
Arxiv
102+阅读 · 2020年3月4日
Neural Speech Synthesis with Transformer Network
Arxiv
5+阅读 · 2019年1月30日
Neural Approaches to Conversational AI
Arxiv
8+阅读 · 2018年12月13日
Arxiv
7+阅读 · 2018年11月1日
Arxiv
4+阅读 · 2018年4月10日
Arxiv
3+阅读 · 2018年4月3日
VIP会员
最新内容
《人工智能赋能电磁战》(报告)
专知会员服务
2+阅读 · 今天14:47
【CMU博士论文】迈向可扩展的开放世界三维感知
专知会员服务
1+阅读 · 今天14:06
前馈式三维场景建模
专知会员服务
1+阅读 · 今天14:03
(译文)认知战:以士兵为目标,塑造战略
专知会员服务
3+阅读 · 今天3:12
相关VIP内容
大数据安全技术研究进展
专知会员服务
96+阅读 · 2020年5月2日
基于视觉的三维重建关键技术研究综述
专知会员服务
166+阅读 · 2020年5月1日
基于深度学习的多标签生成研究进展
专知会员服务
147+阅读 · 2020年4月25日
【自动化学报】零样本学习研究进展,中国石油大学
专知会员服务
88+阅读 · 2020年1月27日
2019中国硬科技发展白皮书 193页
专知会员服务
86+阅读 · 2019年12月13日
【上海交大】半监督学习理论及其研究进展概述
专知会员服务
71+阅读 · 2019年10月18日
【综述】智能医疗综述,48页论文详述医学AI最新进展
专知会员服务
71+阅读 · 2019年9月1日
相关资讯
自动驾驶车辆定位技术概述|厚势汽车
厚势
10+阅读 · 2019年5月16日
同质结中的“超注入”现象:半导体光源迎来新机遇!
海洋论坛丨水声目标识别技术现状与发展
无人机
26+阅读 · 2018年12月17日
【质量检测】机器视觉表面缺陷检测综述
产业智能官
30+阅读 · 2018年9月24日
机器视觉技术的农业应用研究进展
科技导报
7+阅读 · 2018年7月24日
微表情检测和识别的研究进展与趋势
中国计算机学会
15+阅读 · 2018年3月23日
红外弱小目标处理研究获进展
中科院之声
18+阅读 · 2017年11月19日
干货 | 目标识别算法的进展
计算机视觉战队
17+阅读 · 2017年6月29日
Top
微信扫码咨询专知VIP会员