自动驾驶车辆定位技术概述|厚势汽车

2019 年 5 月 16 日 厚势


来源同济智能汽车研究所控制与集成研究室

编辑小小

入群:加微信号 autoHS,入厚势汽车科技群与行业专家讨论更多自动驾驶行业信息


目前常用的车辆定位技术按照定位原理不同分为直接定位和航位推算。其中直接定位主要基于信号的空间交汇测量及环境特征的匹配定位,航位推算则是依据加速度、角速度、速度等信息结合初始值进行积分定位。其间使用信息源主要有卫星定位、惯性导航、视觉、激光雷达和磁力计等,而在具体系统实现过程中,由单独的定位技术发展为多传感器定位技术融合,到现阶段采用多种组合定位技术融合定位,从而尽可能发挥各传感器优势并进行场景互补,减小甚至消除累积误差的影响,达到连续可靠定位结果。本文就上述常见定位技术及其原理进行介绍。



1.IMU导航原理及误差


1.1.IMU定位原理


IMU 纯惯性元件位姿估计原理为首先将测量的角速度积分推算姿态,根据姿态信息将测量的加速度投影到导航坐标系,进而对投影后的加速度去除重力后进行积分推算位置。


图1  MEMS/IMU 捷联式惯性导航系统(INS)的结构框图


1.2.IMU误差及处理技术


不同于航空航天领域所使用的激光陀螺、光纤陀螺等惯性元件,车用领域采用的低成本 MEMS (Micro-electromechanical Systems)惯性传感器,其测量误差较大。如 0.01m/s^2 沿车辆侧向的加速度偏置误差,匀速直线行驶 20 秒即可产生 2 米偏差,而标准为 3.75 米车道,则定位结果已经偏离当前车道。同时在无姿态修正下 0.01°/s 的角速度偏差 30 秒即可产生 10 米的误差,如下图所示。


图2 无约束修正的纯积分误差影响


影响 IMU 惯性器件精度的误差主要可以分为确定性误差和随机误差,在误差影响中其中位置误差与角速度传感器积分时间三次方正相关、与加速度传感器积分时间平方成正相关,同时由于 IMU 所用航位推算算法为积分运算,需要位置、速度和姿态初值,这些初值直接影响到后面积分运算结果,所以需要考虑初始对准导致的误差。

A.确定性误差

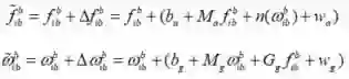
确定性误差,又称为系统误差,是惯性器件主要的误差源,主要有零偏、刻度因数误差和交叉耦合项误差等,误差处理方法主要有两种:一类是在实际工艺中,主要靠改进惯性仪表设计工艺来提高惯性器件的精度;第二类通常为传感器标定技术的补偿修正,其中加速度计、陀螺组件测量误差会建模为:



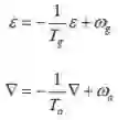
B.随机误差

随机误差对惯性导航系统的精度有很大的影响,一般随机误差统计规律,通常采用滤波算法处理补偿或一阶马尔可夫过程对陀螺随机漂移误差和加速度计随机漂移误差进行建模,式中最后一项分别为陀螺仪和加速度计误差的高斯白噪声。



C.初始对准误差

惯导系统刚上电启动时,其载体坐标系相对于参考导航坐标系的各轴指向完全未知或不够精确,无法立即进入导航状态,必须先确定载体坐标系相对于导航坐标系的空间方位。初始对准技术是惯性导系统稳定工作的前提,其精准度对于提高导航精度具有重要意义。


捷联惯导系统的初始对准通常包括粗对准和精对准两个阶段:


粗对准是利用外部信息或惯性器件输出粗略计算出初始姿态矩阵,粗对准方法可以利用的外部信息包括:GNSS、磁力计、地图匹配、V2X 等提供初始位置及姿态,也可以惯性器件输出粗略结合地球自转角速度矢量和地球重力矢量进行姿态解算。


精对准是在粗对准的基础上,建立数学误差模型,估计出失准角,获得精确的姿态矩阵。在精对准阶段可以引入 GPS、里程计、磁力计、地图匹配、V2X 等提供的位置、速度或姿态观测信息作为量测,通过 Kalman 滤波等最优估计方法对姿态进行矫正。



1.3.IMU总结


IMU 作为积分算法类传感器,其系统误差的建模与参数标定、随机误差的统计特性分析与建模、初始化时自主或外协取得较为精确的载体姿态初始值,以及在动态累积过程中的误差修正与反馈是直接影响到惯性导航定位精度的关键部分,如何有效利用其它外源信息和滤波算法优势,通过融合、统计分析、建模等手段提高初始对准精度与误差修正与反馈,是在车载成本限制下提升 IMU 为主的组合定位系统精确度关键。



2.GNSS定位及误差分析


2.1.GNSS定位原理


GNSS 是一种天基无线电导航系统,通过接收机接收天上卫星发射的信号,根据信号发射和接收的时间差或者信号的载波相位来确定卫星和接收机之间的距离,基本观测量主要是码相位(精测距码 P 码和粗测距码 C/A 码)和载波相位。测量应用有精密单点定位技术(PrecisePoint Positioning,PPP),相对定位以及虚拟参考站动态定位技术 VRS(Virtual Reference Station)技术。



图3 相对定位原理及分类


2.2.GNSS姿态测量原理


根据天线数量来分主要有单天线,双天线和多天线姿态测量。


双天线 GPS 解算载体姿态的基本原理是:首先测量两个天线测得的坐标信息(做差,称单差),解算出 GPS 双天线组成的基线姿态向量信息,这里得到的坐标一般是在地心地固坐标系(ECEF)下的表示,再将该坐标变换到导航坐标系,来确定车辆的俯仰和航向角度,以达到测姿的目的。两个 GPS 天线组成一条基线可以确定载体的两个姿态角,同样原理当使用三个 GPS 天线组成两条基线进行双差测量时,可以确定载体的三维姿态角,当前 GPS 姿态测量存在以下问题:


  • 一般来说,天线相距越远,测量的姿态信息就越精确,但多径效应的影响会更加明显。

  • GPS 信号受遮挡产生跳变时,其姿态解算不正确或者偏差较大;

  • 在车辆行驶过程中,卫星信号的信噪比要比静态低得多,则噪声输出大,而且在动态条件下,对姿态测量软件的整周模糊度解算性能要求更高,直接影响姿态解算结果。



2.3.GNSS误差及处理


GNSS 的测量误差分为系统误差和随机误差两类,以及在 GNSS 受遮挡下信号弱甚至无信号带来的误差。系统误差主要包括星历误差,钟差,对流层延迟,电离层延迟等。系统误差往往存在一定的规律性,可以利用建模估计或者是利用误差的空间相关性削弱或者消除其影响,例如差分定位就是目前广泛使用的消除或削弱空间相关误差的方法,常规 RTK 作业中,基准站和流动站之间基线距离较短,此时轨道误差、对流层延迟、电离层延迟均可认为在站间差分中消除。随机误差包括测量噪声和多路径等随机变化的误差等,难以通过模型化或者利用相关性消除,只能通过滤波的方法降低其影响。


表1  NovAtel SPAN-CPT在GNSS中断下的精度


弱 GNSS 信号区域下,GNSS 主要面临两个问题导致精度下降:


  • 第一,可见 卫星少,卫星几何结构差;

  • 第二;信号干扰大,非直接路径的信号严重,观测值精度低。一般非直接路径的信号分两类:1.多路径效应信号(Multipath),既有直接接收的又有非直接接收的;2.非视线信号(Non-Line-Of-Sight,NLOS),只通过反射接收的。


针对卫星少,几何结构差问题,主要有两种解决办法:


第一种方法是利用其他的导航源来替代 GNSS 实现弱 GNSS 信号区域的绝对定位。可用的导航源包括:天基导航源(通信卫星,低轨卫星等)、地基导航源(伪卫星、超宽带广播(Ultra-Wide Band,UWB)等)、匹配导航源(影像匹配、重力场匹配、地磁场匹配、Wifi 指纹匹配等)等。


另外一种方法是通过与相对定位融合的方法测量某段时间内的位置相对变化,可以在一定程度上解决弱 GNSS 信号区域的卫星数下降的问题。



2.4.GNSS概述


GNSS 信号易受外界干扰而失锁,检测并估计多路径效应干扰,通常需要借助外界硬件设备诸如摄像头等判断接收机与卫星之间的视线是否受到遮挡,或者借助于外界的冗余信号进行多路径效应判断,而在 GNSS 无信号情况下则需要其他外源信息进行辅助定位。


在信号接收良好时,实时动态测量(Real-time Kinematic,RTK)求解下位置精度可达厘米级,但是其姿态解算在动态下信噪比低,且受整周模糊度和多路径效应影响较大,在静态时候姿态解精度较好可作为车辆初始化的输入信息,而在动态过程中对于算法要求更高,需要较高的处理才能正确稳定的给出修正值,一般通过结合其他技术手段来弥补这一缺陷。即使 GNSS 姿态输出精度不高,但仍可作为辅助故障检测的信息源。



3 .轮速定位及误差


3.1.轮速定位原理


轮速传感器可用于获得车辆车速及行驶距离,原理是通过一段时间内驱动轮的转动速度和角度结合车轮半径解算,它反映了一个采样周期内的车辆运动增量。车辆的行进方向可以使用安装于方向盘上的编码器或者左右车轮转动角度差值测量航向变化。



3.2.轮速定位误差


轮速传感器误差主要为随机误差和系统误差。随机误差:车轮的滑移和滑转;路面不平;轮胎侧滑,与行驶环境相关、不固定且不可测的,要想消除比较困难,一般通过判断车轮打滑与其它传感器融合作补充;系统误差:由于温度、气压、磨损和车速导致的轮胎直径的变化;不同车轮存在直径不相等的差异;前后轮距测量值与真实值的差异;编码器有限的测量精度和采样频率等。



4.激光雷达定位


激光雷达是光探测和测距的简称,其通过测量激光往返运行的时间或者相位差进行测距。激光雷达有极高的角度分辨率和距离分辨率,能产生大量的高精度激光点云,根据每个激光测量点的距离信息以及其对应的脉冲视线信息,可以得到三维点云在激光雷达坐标系中的坐标描述。



4.1.激光定位原理


目前,国内外常用的激光测距方法主要有激光干涉测量法、调频连续波测量法、脉冲式激光测量法、相位式激光测量法等,其中干涉测量由于其距离测量范围小,不适用于导航定位,此处不做介绍。


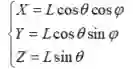
图5 测距原理


通过测量点的扫描距离和垂直角及水平角,在激光雷达坐标系中可以得到其坐标:



通过车身坐标系与激光雷达坐标系的转换可以得到车身坐标系下得坐标:



4.2.激光雷达误差处理


激光雷达误差主要来源包括:系统误差、随机误差和载体误差。


系统误差主要包括测距误差、测角误差、轴系误差、波长及分辨率等,可以通过建模补偿,具体误差建模形式与该激光雷达系统的测距测角原理有关。随机误差:目标颜色、材质及粗糙度、环境中的大气、温度、遮挡、震动等;


误差通常是由于外界环境产生的影响,自身通过算法可以得到一定的修正,但是当外界环境不适用时候,难以建模以消除误差,而通常与其他传感器组合以弥补不足。


载体误差:与载体或 IMU 的安装位姿投影误差及运动导致点云畸变误差,该误差可以通过外源信息辅助或传感器间进行标定对准,常见通过测量以及滤波估计方法标定杆臂和安装角。



5.视觉定位及误差处理


5.1.视觉定位原理


视觉传感器具有成本低且信息丰富等特点,因此利用视觉传感器来定位以及场景识别成为研究热点。视觉定位根据传感器不同,分为单目、双目、深度相机定位(根据工作原理不同,又可分为:TOF、RGB 双目、结构光)。


其中单目/双目视觉测量是指利用视觉传感器采集图像,而深度相机同时可以物理手段测量深度,对物体的几何尺寸或者物体在空间的位置、姿态等信息进行测量解算。



5.2.视觉定位误差来源


影响视觉的因素也很多,主要有:


  • 天气变化。天气变化影响环境的光线强度变化状况,从而导致摄像机出现过度曝光或曝光不足的现象,处理方法主要是通过其它传感器进行补充。

  • 车辆运动。车辆运动速度的大小与视觉成像质量成反比,受摄像机拍摄帧频限制,当车速较大时所拍摄图像会有一定程度的运动模糊,失去纹理特征或产生错误纹理,从而对特征形状产生影响,降低相邻两帧图像的重叠率。处理方法主要是通过 IMU 或者其他车载传感器进行速度和姿态补偿校正。

  • 摄像头安装位置。由于外部标定安装姿态角及空间位置偏移误差会降低估计精度,甚至会导致处理来自两个传感器的测量值的任何估计器的发散。



6.地图匹配算法


6.1.地图匹配原理


地图匹配(Map Matching,MM)是一种通过软件方法,校正卫星定位、航迹推算定位或其他定位方法定位误差的技术,其基本思想是通过将车辆位置及环境信息与环境地图比较和匹配,找到车辆所在的路段,计算出车辆在路段上的确切位置与姿态,从而校正误差。对于环境地图的具体表示形式,常见的有拓扑地图(TopologicalMap)、栅格地图(Metric/Grid Map)、特征地图(Feature Map)。


传统的地图匹配算法主要特指路网匹配,而由于高精地图的发展,地图匹配包含内容应当涵盖路网匹配和场景影像/点云匹配两方面。路网匹配一般假设车行驶在道路上,将所观察到的用户或者交通工具的定位数据关联到给定电子地图的道路(道路中心线)网络上的过程。场景影像/点云匹配利用激光雷达或摄像头对周围环境进行感知观测,并将观测结果与已知的先验三维点云图进行匹配,估计出车辆在地图中的位置与姿态(旋转与平移参数)。



6.2.地图匹配算法


基于地图匹配组合定位的定位精度和实时性主要影响因素为:地图精度、初始位姿精度、地图匹配算法。其中高精地图作为智能汽车是最终实现的重要前提,目前正由各图商通过高精度移动采集车或众包方式采集和制作。而初始位姿精度受限于组合定位方式,其中只有匹配算法是系统内可以进行误差分析与解决。


基于点云或者图像匹配常采用基于自然地标的地图匹配算法,主要包括:完美匹配(PerfectMatching)和点云库(Point Cloud Library)实现迭代最近点(Iterative Closest Point,ICP) 和正态分布变换(NormalDistribution Transform, NDT),而基于分层地图则多采用蒙特卡洛(Monte Carlo)方法来提供全局位姿初值。



6.3.地图匹配概述


激光点云的地图匹配作为全局定位方式,无累积误差,基于精度良好的地图上,通过适宜可以实现较好的位置姿态输出,但是由于车辆行驶在车道时,两侧会存在其他动态车辆,遮挡激光雷达信号或者遮挡住定位特征,导致匹配误差较大或失效。



7.总结


对上述各定位技术所用传感器特性可用下表进行总结。由于不同定位方式的特点不一,通常车辆定位算法会根据传感器特性及应用场景选用多种定位技术进行组合,来满足更高精度的定位需求。


表2 定位传感器特性对比


参考文献  

               

[1]PaulD Groves. Principles of GNSS, Inertial, and Multisensor Integrated NavigationSystems, 2nd Edition [M]. National Defense Industry Press, 2013.

[2]DornM , Lesjak R , Wieser M . Improvement of the standard GNSS/IMU solution forUAVs using already existing redundant navigation sensors[C]. 2016 EuropeanNavigation Conference (ENC). IEEE, 2016.

[3]WanG , Yang X , Cai R , et al. Robust and Precise Vehicle Localization based onMulti-sensor Fusion in Diverse City Scenes[J]. 2017.

[4]GrovesP D , Wang L , Walter D , et al. The Four Key Challenges of AdvancedMultisensor Navigation and Positioning[C].Position, Location & NavigationSymposium-plans, IEEE/ION. IEEE, 2014.

[5]El-SheimyN, Niu X (2007) The promise of MEMS to the navigation cummunity. InsideGPS,March/April 2007, pp 46–56

[6]SkogI, Händel P. State-of-the-Art In-Car Navigation: An Overview[J]. 2012.

[7]黄苹.捷联惯导系统标定技术研究[D].哈尔滨:哈尔滨工程大学,2005.

[8]段祥玉, 蒋伟, 杨功流, et al. 基于ADIS16488 MEMS IMU标定测试方法研究[J]. 测试技术学报, 2018.

[9]LeeY C. Analysis of range and position comparison methods as a means to provideGPS integrity in the user receiver[J]. The User Receiver Us Institute ofNavigation Annual Meeting, 1986:1-4.

[10]ParkinsonB W, Axelrad P. A basis for the development of operational algorithms for simplifiedGPS integrity checking[C]. Institute of Navigation, Technical Meeting, 1987.

[11]M.Grewal, L.Weill, and A. Andrews. Global Positioning Systems, InertialNavigation and Integration, 2nd ed [M]. Hoboken, NJ: Wiley, 2007

[12]SonglaiHan J W. A novel initial alignment scheme for low-cost INS aided by GPS forland vehicle application[J]. Journal of Navigation, 2010, 63(4):663-680.

[13]WuZ , Yao M , Ma H , et al. Improving Accuracy of the Vehicle Attitude Estimationfor Low-Cost INS/GPS Integration Aided by the GPS-Measured Course Angle[J].IEEE Transactions on Intelligent Transportation Systems, 2013, 14(2):553-564.

[14]JianH, Wang C, Li B. Novel all-time initial alignment method for INS/CNS integratednavigation system[C]. IEEE International Conference on Signal Processing. 2017.

[15]LohR Wullschleger V. The U.S, Wide-area-augmentation-system(WAAS). Navigation:Journal of The Institute ofNavigalion,1998,V01.42,No.3,PP.435-466

[16]ZhangY, Huang Y, Ning L, et al. SINS initial alignment based on fifth-degreeCubature Kalman Filter[C]. IEEE International Conference on Mechatronics &Automation. 2013. 

[17]MengL , Yanbin G , Guangchun L , et al. An Improved Alignment Method for theStrapdown Inertial Navigation System (SINS)[J]. Sensors, 2016, 16(5):621

[18]ZhaoG R, Wang X B, Gao Q W. Application of Wavelet Neural Network Based on PSOAlgorithm to Transfer Alignment of INS[J]. Journal of System Simulation, 2010.

[19]郑京森. 双天线GPS/SINS组合导航系统研究与设计[D]. 浙江大学,2017.

[20]陈林. GPS姿态测量系统的研究[D]. 重庆大学, 2007.

[21]钱闯. 弱GNSS信号区域的GNSS/INS/LiDAR高精度定位方法及其应用研究[D]. 武汉大学, 2018.


-END-


文章精选


---自动驾驶---


---汽车科技发展趋势专题--

---厚势汽车科技快讯---


为您对接资本和产业

新能源汽车 自动驾驶 车联网




联系微信:autoHS 

或 183 0185 8119


点击阅读原文,查看快讯

登录查看更多
10

相关内容

最新《深度学习自动驾驶》技术综述论文,28页pdf
专知会员服务
156+阅读 · 2020年6月14日
基于视觉的三维重建关键技术研究综述
专知会员服务
166+阅读 · 2020年5月1日
3D目标检测进展综述
专知会员服务
193+阅读 · 2020年4月24日
【综述】自动驾驶领域中的强化学习,附18页论文下载
专知会员服务
176+阅读 · 2020年2月8日
专知会员服务
87+阅读 · 2019年12月13日
2019年人工智能行业现状与发展趋势报告,52页ppt
专知会员服务
124+阅读 · 2019年10月10日
深度学习技术在自动驾驶中的应用
智能交通技术
26+阅读 · 2019年10月27日
自动驾驶高精度定位如何在复杂环境进行
智能交通技术
18+阅读 · 2019年9月27日
自动驾驶技术解读——自动驾驶汽车决策控制系统
智能交通技术
30+阅读 · 2019年7月7日
计算机视觉方向简介 | 视觉惯性里程计(VIO)
计算机视觉life
64+阅读 · 2019年6月16日
自动驾驶汽车技术路线简介
智能交通技术
15+阅读 · 2019年4月25日
自动驾驶车载激光雷达技术现状分析
智能交通技术
17+阅读 · 2019年4月9日
Self-Driving Cars: A Survey
Arxiv
41+阅读 · 2019年1月14日
Arxiv
5+阅读 · 2018年4月17日
Arxiv
7+阅读 · 2018年1月10日
VIP会员
最新内容
面向军事作战需求开发的人工智能(RAIMOND)
专知会员服务
1+阅读 · 36分钟前
软件定义多域战术网络:基础与未来方向(综述)
水下战战术决策中的气象与海洋预报(50页报告)
远程空中优势:新一代超视距导弹的兴起
专知会员服务
1+阅读 · 今天14:45
大语言模型溯因推理的统一分类学与综述
专知会员服务
0+阅读 · 今天12:07
美/以-伊战争:停火与后续情景与影响分析
专知会员服务
3+阅读 · 4月11日
相关VIP内容
最新《深度学习自动驾驶》技术综述论文,28页pdf
专知会员服务
156+阅读 · 2020年6月14日
基于视觉的三维重建关键技术研究综述
专知会员服务
166+阅读 · 2020年5月1日
3D目标检测进展综述
专知会员服务
193+阅读 · 2020年4月24日
【综述】自动驾驶领域中的强化学习,附18页论文下载
专知会员服务
176+阅读 · 2020年2月8日
专知会员服务
87+阅读 · 2019年12月13日
2019年人工智能行业现状与发展趋势报告,52页ppt
专知会员服务
124+阅读 · 2019年10月10日
相关资讯
深度学习技术在自动驾驶中的应用
智能交通技术
26+阅读 · 2019年10月27日
自动驾驶高精度定位如何在复杂环境进行
智能交通技术
18+阅读 · 2019年9月27日
自动驾驶技术解读——自动驾驶汽车决策控制系统
智能交通技术
30+阅读 · 2019年7月7日
计算机视觉方向简介 | 视觉惯性里程计(VIO)
计算机视觉life
64+阅读 · 2019年6月16日
自动驾驶汽车技术路线简介
智能交通技术
15+阅读 · 2019年4月25日
自动驾驶车载激光雷达技术现状分析
智能交通技术
17+阅读 · 2019年4月9日
Top
微信扫码咨询专知VIP会员