基于影像组学的肿瘤生物特征无创评估研究取得进展

2018 年 11 月 21 日 中国生物技术网

  近年来,我国肿瘤发病率明显上升,恶性肿瘤位于我国城市居民主要疾病死亡率首位。肿瘤防治工作具有重大社会意义与科学价值。准确解析肿瘤免疫组化、基因表达、淋巴结转移、分化水平等各项生物特征有助于最佳治疗方案的选择,直接决定着预后转归的评估。

  目前临床获取表达肿瘤生物特征的分子标记物需要借助手术或穿刺活检侵入性采样,只能单点单次采集,无法全面描述肿瘤组织的时间与空间异质性。影像学作为临床常用诊断工具,可无创、实时、重复地获取肿瘤形态与空间异质性信息,拥有指导肿瘤治疗及疗效评估的巨大潜能。随着模式识别、机器学习等大数据分析技术与医学影像辅助诊断的有机融合,影像组学应运而生,借助影像组学分析手段,可从现有医学影像中提取海量特征,有效解决肿瘤异质性难以定量评估的难题,从而构建肿瘤生物特征无创评估模型。目前影像组学研究通常仅关注某一个肿瘤生物特征,然而肿瘤生成、转移、治疗反应受多种肿瘤生物特征共同影响,因此,在同一人群中同时开展多项肿瘤生物特征评估具有重要意义。此外,在现有影像组学分析建模流程中,亟需确定特征筛选方法与分类建模方法的最佳组合以获取最佳评估效果。

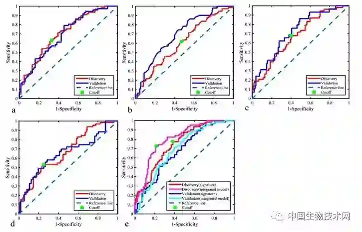
  中国科学院苏州生物医学工程技术研究所高欣、夏威、张睿等人联合中山大学附属第六医院放射科孟晓春主任团队,以直肠癌为实验对象,开展了基于多模态磁共振影像组学的肿瘤生物特征无创评估研究。该研究获取了345例直肠癌患者多模态磁共振影像数据及肿瘤生物特征(包括Ki-67、HER-2等免疫组化指标,淋巴结转移,KRAS-2基因突变、肿瘤分化),采用影像组学建模方法,从多模态磁共振影像中提取了2534个影像组学特征,经过特征冗余性与可重复性筛选,组合两种特征排序方法(Wilcoxon单变量特征排序与MRMR多变量特征排序)与三种分类建模方法(随机森林、支持向量机、LASSO回归),构建了直肠癌肿瘤生物无创评估模型。研究结果表明,所建模型对肿瘤生物特征具有较好的评估效果(AUC=0.651~0.720,见图1),模型中均包含各模态影像特征,表明各模态磁共振影像具有较好的互补性,此外,MRMR多变量特征筛选与LASSO回归的组合取得了4个肿瘤生物特征的最佳评估效果,表明该方法在影像组学分析中具有一定优势。所建模型可依据患者的磁共振影像给出影像组学打分,便于临床直观评估患者的肿瘤生物特征(见图2),具有较好的临床应用前景。

  相关研究结果发表于European Radiology,其中孟晓春与夏威是并列第一作者。

  论文信息:Xiaochun Meng#, Wei Xia#, Peiyi Xie, Rui Zhang, Wenru Li, Mengmeng Wang, Fei Xiong, Yangchuan Liu, Xinjuan Fan, Yao Xie, Xiangbo Wan, Kangshun Zhu, Hong Shan, Lei Wang*, Xin Gao*,Preoperative Radiomic Signature based on Multiparametric Magnetic Resonance Imaging for Noninvasively Evaluation of Biological Characteristics in Rectal Cancer, European Radiology, 14Sep 2018.

 

  图1. 影像组学模型的ROC曲线。a. HER-2; b. Ki-67;c. 肿瘤分化; d. KRAS-2; e. 淋巴结转移。其中横轴为特异度,纵轴为灵敏度,训练集(红线)与测试集(蓝线)的ROC曲线匹配程度较好,表明模型在训练集与测试集上具有较好的一致性。

 


  图2. 患者术前多模态磁共振影像与对应的影像组学分数。依据模型给出的影像组学分数与截断值(Cutoff),可评估患者的肿瘤生物特征情况。

中国生物技术网诚邀生物领域科学家在我们的平台上,发表和介绍国内外原创的科研成果。

注:国内为原创研究成果或评论、综述,国际为在线发表一个月内的最新成果或综述,字数500字以上,并请提供至少一张图片。投稿者,请将文章发送至[email protected]

本公众号由中国科学院微生物研究所信息中心承办

微信公众号:中国生物技术网

回复关键词热点”可阅读热点专题文章,包括“施一公”、“肠道菌群”、“肿瘤”、“免疫”和“健康”

近期热文TOP15(统计周期:2017.2.1-2017.12.20)

直接点击文字即可浏览!

1、补牙或将成为历史?

2、科学你慢慢学,中医我先治病去了

3、科学告诉你应该多久洗一次澡

4、新证据:喝咖啡能延长寿命! 

5、据说,这是生物医学硕士博士生的真实的生活写照
6、一顿早餐到底有多重要?
7、情商也是把双刃剑!高情商或让你更脆弱
8、施一公:压死骆驼的最后一根稻草,是鼓励科学家创业!
9、“科学禁食法”真能降低重大疾病风险
10、睡眠科学家揭示出8种睡好觉的秘诀

11、有志者事竟成!2型糖尿病成功被逆转

12、每周两半小时,任何形式的锻炼都可以使你更长寿

13、喝醉以后,你以为睡一觉就没事儿了?!

14、仰卧起坐等或将成为延寿运动? 

15、冥想、瑜伽、太极等不仅能够改善身心健康...



登录查看更多
1

相关内容

具有动能的生命体。
高效医疗图像分析的统一表示
专知会员服务
36+阅读 · 2020年6月23日
最新《医学图像深度语义分割》综述论文
专知会员服务
97+阅读 · 2020年6月7日
基于深度学习的多标签生成研究进展
专知会员服务
147+阅读 · 2020年4月25日
【学科交叉】抗生素发现的深度学习方法
专知会员服务
25+阅读 · 2020年2月23日
【华侨大学】基于混合深度学习算法的疾病预测模型
专知会员服务
97+阅读 · 2020年1月21日
中科院赵地:深度学习在 4 大超声影像中的应用
AI掘金志
9+阅读 · 2017年12月17日
基于深度学习的肿瘤图像分割研究取得进展
中科院之声
17+阅读 · 2017年9月17日
Phase-aware Speech Enhancement with Deep Complex U-Net
Arxiv
8+阅读 · 2018年11月27日
VIP会员
最新内容
人工智能在战场行动中的演进及伊朗案例
专知会员服务
0+阅读 · 26分钟前
美AI公司Anthropic推出网络安全模型“Mythos”
专知会员服务
0+阅读 · 36分钟前
【博士论文】面向城市环境的可解释计算机视觉
专知会员服务
0+阅读 · 37分钟前
大语言模型的自改进机制:技术综述与未来展望
专知会员服务
0+阅读 · 44分钟前
《第四代军事特种作战部队选拔与评估》
专知会员服务
1+阅读 · 今天6:23
不对称优势上升:自主系统如何强化海上拒止
专知会员服务
1+阅读 · 今天5:51
相关VIP内容
高效医疗图像分析的统一表示
专知会员服务
36+阅读 · 2020年6月23日
最新《医学图像深度语义分割》综述论文
专知会员服务
97+阅读 · 2020年6月7日
基于深度学习的多标签生成研究进展
专知会员服务
147+阅读 · 2020年4月25日
【学科交叉】抗生素发现的深度学习方法
专知会员服务
25+阅读 · 2020年2月23日
【华侨大学】基于混合深度学习算法的疾病预测模型
专知会员服务
97+阅读 · 2020年1月21日
Top
微信扫码咨询专知VIP会员