负样本为王: 评Facebook的向量化召回算法

2020 年 8 月 3 日 机器学习与推荐算法
有人的地方就会有江湖,就会有鄙视链存在,推荐系统中也不例外。排序、召回,尽管只是革命分工不同,但是我感觉待遇还是相差蛮大的。
  • 排序
    • 排序,特别是精排,处于整个链条的最后一环,方便直接对业务指标发力。比如优化时长,只要排序模型里,样本加个权就可以了。
    • 排序由于候选集较小,所以有时间使用复杂模型,各种NN,各种Attention,能加的,都给它加上,逼格顿时高大上了许多。
    • 用于排序的基础设施更加完善,特征抽取、指标监控、线上服务都相对成熟。
  • 召回
    • 一个系统中不可能只有一路召回,平日里相互竞争,召回结果重合度高,导致单路召回对大盘的影响有限;好处是,相互冗余,有几路出问题,也不至于让排序饿肚子。
    • 召回处于整体推荐链条的前端,其结果经过粗排、精排两次筛选,作用于最终业务指标时,影响力就大大减弱了。
    • 受限于巨大的候选集和实时性要求,召回模型的复杂度受限,不能上太复杂的模型。平日里,最简单的基于统计的策略,比如ItemCF/UserCF表现就很不错,改进的动力也不那么急迫。
    • 用于召回的基础设施不完善。比如,接下来,我们会提到,召回建模时,需要一些压根没有曝光过的样本。而线上很多数据流,设计时只考虑了排序的要求,线上的未曝光样本,线下不可能获取到。

总之,我感觉,排序更受关注,很多问题被研究得更透彻。而召回,尽管"召回不存,排序焉附",地位相当重要,但是受关注少,有好多基本问题还没有研究清楚。比如接下来,我们要谈到的,诸如“拿什么样的样本训练召回模型”这样的基本问题,很多人还存在误区,习惯性照搬排序的方法,适得其反

在这种情况下,2020年Facebook最新的KDD2020论文《Embedding-based Retrieval in Facebook Search》(EBR)更显难能可贵,值得每个做召回算法的同行仔细阅读。正所谓“实践出真知”,文中涉及的部分问题,哪怕你有推荐算法经验但只做过排序(比如一年前的我),都压根不会意识到,更不能给出解决方案。而在你实践过召回算法,特别是向量化召回之后,方能感觉到这篇文章切中召回工作中的痛点,“对症下药”。

所以,今天我将解读一下Facebook EBR这篇经典论文。论文解读不是简单的翻译(这年头,谁还看不懂个英文呢?),而是结合自己的亲身实践,把论文中一笔带过的地方讲透,补充论文中忽略的细节,列举针对相同问题业界其他的解决方案,算是论文原文的一个补充。

简述Facebook EBR模型

这篇论文非常全面,涵盖了一个召回从样本筛选、特征工程、模型设计、离线评估、在线Serving的全流程。但在我看来,并非每部分都是重点。论文中的某些做法就是召回算法的标配。在详细介绍论文EBR的重点之前,我还是将这个模型简单描述一下。
  • 模型

    • 老生常谈的双塔模型。双塔避免底层就出现特征交叉,方便拆分模型使doc embedding进入FAISS。
    • 双塔模型不是唯一的,只要<user,doc>的匹配得分能够表达成user embedding/doc embedding内积或cosine的形式,比如FM,都适用于召回。
  • Loss

    • ‍‍ 文中使用了Pairwise Hinge Loss的形式,loss=max(0,margin-<u,d+>+<u,d->)。即同一个用户与“正文章”(点击过的文章)的匹配度<u,d+>,要比用户与“负文章”(怎么选择负文章就是召回的关键)的匹配度<u,d->高于一定的阈值。
    • 尽管不同召回算法有不同的loss,但是背后基于Pairwise LTR的思想都是共通,这一点与排序时采用binary cross entropy loss有较大的不同:

    • 1. 比如Youtube/DSSM模型使用(Sampled) Softmax。但经过Negative Sampling之后,同样是针对同一个用户,一个d+要配置若干个d-,与Pairwise思路类似。

      2. 而想让u在d+上的概率最高,同样要求分子<u,d+>尽可能大,而分母所有的<u,d->尽可能小,与LTR的思路类似。
    • 但是,根据我的实践经验,使用BPR loss=log(1+exp(<u,d->-<u,d+>)),效果要比这里的Pairwise Hinge Loss好:
    • 1. 文中也说了margin对于模型效果影响巨大,BPR loss少了一个需要调整的超参。
      2. Hinge loss中,<u,d+>-<u,d->大于margin后,对于loss的贡献减少为0。而BPR则没有针对<u,d+>-<u,d->设定上限,鼓励优势越大越好。
  • 离线评估

    • 由于线上AB测度,周期长,易受外界影响。因此,在线上AB测试之前,我们需要进行充分的离线评估,减少实验的时间成本。

    • 文中所使用的方法是,拿Top K召回结果与用户实际点击做交集,然后计算precision/recall

    • Airbnb所使用的方法是看“用户实际点击”在“召回结果”中的平均位置

    • 实际上不同于排序,召回的离线评测更加难做,因为召回的结果未被用户点击,未必说明用户不喜欢,而可能是由于该召回结果压根没有给用户曝光过

    • 根据我的亲身实践,无论是precision/recall还是平均位置,和实际线上结果之间还是存在一定gap。曾经发生过,新模型的离线评测结果没有显著提升,但是上线后去发现提升明显。所以,缺乏置信度高的离线评测手段仍然是召回工作中的痛点

  • 特征: 因项目而异,可借鉴的地方不多
  • FAISS调优 毕竟与Faiss师出同门,非常宝贵的调参经验。但是受篇幅所限,就不在这里过多展开了。

重中之重是"筛选(负)样本"

简单描述之后,才进入本文的华彩段落,即Training Data Mining。单单Mining一个词,感觉就比Sample Filtering高大上了许多,也让你感觉到这件工作的艰巨,远不是“过滤脏数据”那么简单。本文最精彩的部分就是对样本的筛选。如果说排序是特征的艺术,那么召回就是样本的艺术,特别是负样本的艺术。样本选择错了,那么上述的模型设计、特征工程,只能是南辕北辙,做得越卖力,错得越离谱。本文在“样本筛选”上的贡献有三:

  • 破除“召回照搬排序”的迷信,明确指出,不能(只)拿“曝光未点击”做负样本

  • 提出了easy negative/hard negative的样本分级思路

  • 提出了增强hard negative的思路(也不算首创了,和百度Mobius的思路几乎一模一样,也算英雄所见略同了)

本文的另外两个贡献也算是“样本筛选”的引申:
  • 全链路优化中提出将召回结果交给人工审核,不过是增强hard negative的一个手段
  • 多模型整合,也算是hard negative除了“增强样本”之外的另一种利用方式。而且不同模型也是按照negative samples的难度来分级的

为什么不能(只)拿"曝光未点击"做负样本

我曾经做过Youtube召回,当时就特别不理解为什么Youtube不用“曝光未点击”做负样本,而是拿抽样结果做负样本。而且这样做的还不仅仅Youtube一家,Microsoft的DSSM中的负样本也是随机抽取来的。两篇文章都没说明这样选择负样本的原因。

当时,我只有排序方面的经验,而排序是非常讲究所谓的“真负”样本的,即必须拿“曝光未点击”的样本做负样本。为此,还有所谓above click的作法,即只拿点击文章以上的未点击文章做负样本。所以,排序思维根深蒂固的我,觉得拿“曝光未点击”做负样本,简直是天经地义,何况还那么有诱惑力

  • “曝光未点击”是用户偏好的“真实”(cross finger)反馈。而随机抽取的,可能压根就没有曝光过,不能断定用户就一定不喜欢。
  • “曝光未点击”的数量有限,处理起来更快
  • 用“曝光未点击”数据,能够复用排序的data pipeline,很多数据都已经处理好了,无须重新开发和生成
  • 碰上“万能”的FM模型,拿曝光数据训练出来的模型,既能做排序,又能做召回,岂不美哉🙄

所以,当我第一次实践Youtube算法时,直接拿“曝光未点击”样本做负样本,训练出来的模型,离线AUC达到0.7+,做为一个特征简化的召回模型,已经算是非常高了,但是线上表现一塌糊涂。离线评测时,发现召回的物料与用户画像、用户点击历史,完全没有相关性。而当我抱着“照着论文画瓢”拿随机采样的样本做负样本,线上结果却非常好。

何也???其实,是因为我自以为是的做法,违反了机器学习的一条基本原则,就是离线训练数据的分布,应该与线上实际应用的数据,保持一致

以前,我们谈到召回与排序的不同,往往只强调速度,即因为召回的候选集更大,所以要求速度更快,所以模型可以简单一些。这是只知其一。另一个方面,起码之前是我没有深刻意识到的,就是

  • 排序其目标是“从用户可能喜欢的当中挑选出用户最喜欢的”,是为了优中选优。与召回相比,排序面对的数据环境,简直就是温室里的花朵
  • 召回是“是将用户可能喜欢的,和海量对用户根本不靠谱的,分隔开”,所以召回在线上所面对的数据环境,就是鱼龙混杂、良莠不齐

所以,要求喂入召回模型的样本,既要让模型见过 最匹配的<user,doc>,也要让模型见过 最不靠谱的<user,doc> ,才能让模型达到" 开眼界、见世面 "的目的,从而在“大是大非”上不犯错误。

  • 最匹配的<user,doc>,没有异议,就是用户点击的样本

  • 最不靠谱的<user,doc>,是“曝光未点击”样本吗?显然不是 。这里牵扯到一个推荐系统里常见的bias,就是我们从线上日志获得的训练样本,已经是上一版本的召回、粗排、精排替用户筛选过的,即 已经是对用户“比较靠谱”的样本了。拿这样的样本训练出来的模型做召回,一叶障目,只见树木,不见森林

就好比:一个老学究,一辈子待在象牙塔中,查古籍,访高人,能够一眼看出一件文物是“西周”的还是“东周”的。但是这样的老学究,到了潘家园,却很可能打眼,看不出一件文物是“上周”的。为什么?他一辈子只见过“老的”和“更老的”,“新的”?被象牙塔那阅人无数的门卫给屏蔽了,他压根就没见过。

拿随机采样做负样本

所以文章中描述的基本版本就是拿点击样本做正样本,拿随机采样做负样本。因为线上召回时,候选库里大多数的物料是与用户八杆子打不着的,随机抽样能够很好地模拟这一分布。

但是文章中没有说明随机抽样的概率,千万不要以为是在整个候选库里等概率抽样

  • 在任何一个推荐系统中,“八二定律”都是不可避免的,也就是少数热门物料占据了绝大多数的曝光与点击
  • 这样一来,正样本被少数热门物料所绑架,导致所有人的召回结果都集中于少数热门物料,完全失去了个性化。
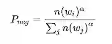
  • 因此,当热门物料做正样本时,要降采样,减少对正样本集的绑架。比如,某物料成为正样本的概率如下,其中z(wi)是第i个物料的曝光或点击占比
  • 当热门物料做负样本时,要适当过采样,抵消热门物料对正样本集的绑架;同时,也要保证冷门物料在负样本集中有出现的机会。比如,某物料成为负样本的概率如下,其中n(w)是第i个物料的出现次数,而一般取0.75

NLP背景的同学看以上两个采样公式是不是有点眼熟?没错,它们就是word2vec中所采用的采样公式。没错,word2vec也可以看成一个召回问题,由center word在整个词典中召回context word

但是,使用随机采样做负样本,也有其缺点,即与d+相比,d-与user太不匹配了。这样训练出来的模型,只能学到粗粒度上的差异,却无法感知到细微差别。就好比,一个推荐宠物的算法,能够正确做到向爱狗人士推荐狗,向爱猫人士推荐猫,但是在推荐狗的时候,无法精确感受到用户偏好上的细微差别,将各个犬种一视同仁地推出去。这样的推荐算法,用户也不会买账。

挖掘Hard Negative增强样本

的匹配度分成三个档次

  • 匹配度最高的,是以用户点击为代表的,那是正样本。
  • 匹配度最低的,那是随机抽取的。能被一眼看穿,没难度,所谓的easy negative,达不到锻炼模型的目的。
  • 所以要选取一部分匹配度适中的,能够增加模型在训练时的难度,让模型能够关注细节,这就是所谓的hard negative

如何选取hard negative,业界有不同的做法。Airbnb在《Real-time Personalization using Embeddings for Search Ranking at Airbnb》一文中的做法,就是根据业务逻辑来选取hard negative

  • 增加与正样本同城的房间作为负样本,增强了正负样本在地域上的相似性,加大了模型的学习难度
  • 增加“被房主拒绝”作为负样本,增强了正负样本在“匹配用户兴趣爱好”上的相似性,加大了模型的学习难度
当业务逻辑没有那么明显的信号时,就只能依靠模型自己来挖掘。这也是本文与百度Mobius的作法,二者的作法极其相似,都是用上一版本的召回模型筛选出"没那么相似" 对,作为额外负样本,训练下一版本召回模型
  • 怎么定义“没那么相似”?文章中是拿召回位置在101~500上的物料。排名太靠前那是正样本,不能用;太靠后,与随机无异,也不能用;只能取中段。

  • 上一个版本的召回模型作用于哪一个候选集上?文章中提供了online和offline两个版本。online就是一个batch中所有user与所有d+的cross join,这一点就与Mobius几乎一模一样了。

  • offline的时候,需要拿上一版本的召回模型过一遍历史数据,候选集太大,需要用到基于FAISS的ANN。

可能有人还有疑问,这样选择出来的hard negative已经被当前模型判断为“没那么相似”了,那拿它们作为负样本训练模型,还能提供额外信息吗?能起到改善模型的作用吗?我觉得,

  • 一来,这是一个“量变”变“质变”的过程。在上一版召回模型中,这批样本只是“相似度”比较靠后而已;而在训练新模型时,直接划为负样本,从“人民内部矛盾”升级为"敌我矛盾",能够迫使模型进一步与这部分hard negative“划清界限”
  • 二来,毕竟是百度和Facebook两家团队背书过的方案,还是值得一试。

不过需要特别强调的是,hard negative并非要替代easy negative,而是easy negative的补充。在数量上,负样本还是以easy negative为主,文章中经验是将比例维持在easy:hard=100:1。毕竟线上召回时,库里绝大多数的物料是与用户八杆子打不着的easy negative,保证easy negative的数量优势,才能hold住模型的及格线。

不同难度的模型融合

上一节只是从“样本增强”的角度来利用hard negative。还有一种思路,就是用不同难度的negative训练不同难度的模型,再做多模型的融合。
  • 并行融合

不同难度的模型独立打分,最终取Top K的分数依据是多模型打分的加权和(各模型的权重是超参,需要手工调整):

但是线上召回时,为了能够使用FAISS,必须将多个模型产出的embedding融合成一个向量。做法也非常简单,将权重乘在user embedding或item embedding一侧,然后将各个模型产出的embedding拼接起来,再喂入FAISS。这样做,能够保证拼接向量之间的cosine,与各单独向量cosine之后的加权和,成正比。

easy model肯定是拿随机采样训练出来的模型,这个没有异议。问题是hard model是哪一个?
  • 文章中指出,使用“曝光未点击”作为hard negative训练出来的hard model,离线指标好,但是线上没有效果
  • 反而,使用挖掘出来的hard negative训练出来的hard model,也easy model融合的效果最好。
  • 串行融合

其实就是粗排, 候选物料先经过easy model的初筛,再经过hard model的二次筛选,剩余结果再交给下游,更复杂粗排或是精排。
根据文章中的经验,使用“曝光未点击”做hard negative训练出来的hard model同样没有效果,反而是挖掘出来的hard negative训练出来的hard model做二次筛选更加有效。

全链路优化

这一节切切实实cover到了我们召回工作中的痛点,就是新的召回算法,往往不受ranker的待见
  • ranker是在已有召回算法筛选过的数据的基础上训练出来的,日积月累,也强化了某种刻板印象,即<user,doc>之间的匹配模式,只有符合某个老召回描述的匹配模式,才能得到ranker的青睐,才有机会曝光给用户,才能排在容易被用户点击的好位置

  • 新召回所引入的<user,doc>之间的匹配模式,突破了ranker的传统认知,曝光给用户的机会就不多。即使曝光了,也会被ranker排在不讨喜的位置,不太容易被用户点击。

  • 这就形成一个恶性循环,新召回被ranker歧视,后验指标不好看,让ranker歧视的理由更加充分,然后曝光的机会更小,排到的位置更差。

但是本文针对这一问题的解决方案有限:
  • 将各路召回的打分作为特征,加入到训练ranker的过程中。但是,这改变不了新召回是少数派的现实,新召回的打分作为特征在训练样本中的占比有限,发挥的作为也可能有限

  • 将召回结果交人工审核,发现bad case,增强下一版本的训练样本。这就是一种人工寻找hard negative的方式,不太现实。

总而言之,各路召回之间的重叠、竞争,召回与排序之间的“相爱相杀”,将会是推荐系统内一个无解的永恒话题。

"曝光未点击"就是鸡肋

最后说一下“曝光未点击”样本。在排序中,“曝光未点击”是要被严格筛选的“真负”样本,对于排序模型的成败,至关重要。而到了召回中,无论是根据我自己的亲身实践还是Facebook的经验,“曝光未点击”样本都是妥妥的鸡肋,“食之无味,弃之可惜”
  • 前面说了,“曝光未点击”不能单独拿来做负样本。

  • “曝光未点击”作为hard negative增强训练集,和easy negative一起训练出一个模型,亲验线上没任何提升。

  • “曝光未点击”毕竟经过召回、粗排、精排,说明与用户还是比较匹配的,能否作为正样本?我也有过类似的想法,但是Facebook的论文告诉我,没啥效果。(“曝光未点击”能否作为权重较小的正样本?)

  • Facebook论文指出,拿“曝光未点击”训练出来的hard model,与easy model无论是串行融合还是并行融合(粗排),都没啥效果,这也被我们的实验结论所印证。

导致“曝光未点击”成为鸡肋的原因,可能是由于它的两面性:
  • 它们经过上一轮召回、粗排、精排的层层筛选,推荐系统以为用户会喜欢它们。
  • 而用户的行为表明了对它们的嫌弃。(当然用户“不点击"也包含很多噪声,未必代表用户不喜欢)
“曝光未点击”样本的两面性,使它们既不能成为合格的正样本,也不能成为合格的负样本。唉,“大是大非”面前,“骑墙派”总是不受欢迎的😕

总结

很高兴能看到一篇论文,契合了你之前的实践和经验,不由得生出“英雄所见略同”的慨叹,特别是在召回这一重要但是受关注较少的领域。

我给本文起名为"负样本为王",就是想传递这样的观点:如果说排序是特征的艺术,那么召回就是样本的艺术,特别是负样本的艺术。负样本的选择对于召回算法的成败是决定性的:

  • 选对了,你就hold住了及格线。之后的模型设计、Loss设计、特征工程、Serving优化不过是锦上添花。
  • 选错了,之后的模型设计、Loss设计、特征工程、Serving优化都是南辕北辙,无本之木,平添无用功罢了。
至于怎么选对样本,Facebook的这篇论文是难得的来自一线实践的经验之谈,值得每个做召回的算法同行认真阅读。

推荐阅读

推荐系统结合知识图谱简单总结

用知识图谱增强推荐系统的三种模型结构

注意力机制在推荐系统应用中的总结

RSPapers | 对话推荐系统论文合集
喜欢的话点个在看吧👇
登录查看更多
1

相关内容

【ACMMM2020】小规模行人检测的自模拟学习
专知会员服务
15+阅读 · 2020年9月25日
专知会员服务
23+阅读 · 2020年9月8日
【KDD2020-UCLA-微软】GPT-GNN:图神经网络的预训练
专知会员服务
63+阅读 · 2020年8月19日
【CVPR2020】用多样性最大化克服单样本NAS中的多模型遗忘
推荐召回算法之深度召回模型串讲
AINLP
22+阅读 · 2019年6月14日
PFLD:简单高效的实用人脸关键点检测算法
PaperWeekly
20+阅读 · 2019年4月17日
DNN在搜索场景中的应用
机器学习算法与Python学习
8+阅读 · 2018年6月7日
爆料 | 解析阿里妈妈如何将深度学习应用在广告、推荐及搜索业务
机器学习算法与Python学习
5+阅读 · 2018年5月14日
推荐算法:Match与Rank模型的交织配合
从0到1
15+阅读 · 2017年12月18日
爱奇艺个性化推荐排序实践
机器学习研究会
7+阅读 · 2017年11月12日
特征工程的特征理解(一)
机器学习研究会
10+阅读 · 2017年10月23日
Arxiv
12+阅读 · 2020年6月20日
Arxiv
5+阅读 · 2019年10月31日
VIP会员
最新内容
战略前沿人工智能的再思考(中文)
专知会员服务
5+阅读 · 5月29日
《量化地基防空系统间接效应的博弈论方法》
专知会员服务
5+阅读 · 5月29日
“史诗怒火行动”中美军损失的作战飞机
专知会员服务
5+阅读 · 5月29日
ICML 2026 | 理解上下文持续学习中的泛化与遗忘
专知会员服务
5+阅读 · 5月28日
Agent Harness综述:大模型智能体执行器工程全景
专知会员服务
15+阅读 · 5月28日
《基于理论的威慑效能评估》
专知会员服务
8+阅读 · 5月28日
相关资讯
推荐召回算法之深度召回模型串讲
AINLP
22+阅读 · 2019年6月14日
PFLD:简单高效的实用人脸关键点检测算法
PaperWeekly
20+阅读 · 2019年4月17日
DNN在搜索场景中的应用
机器学习算法与Python学习
8+阅读 · 2018年6月7日
爆料 | 解析阿里妈妈如何将深度学习应用在广告、推荐及搜索业务
机器学习算法与Python学习
5+阅读 · 2018年5月14日
推荐算法:Match与Rank模型的交织配合
从0到1
15+阅读 · 2017年12月18日
爱奇艺个性化推荐排序实践
机器学习研究会
7+阅读 · 2017年11月12日
特征工程的特征理解(一)
机器学习研究会
10+阅读 · 2017年10月23日
Top
微信扫码咨询专知VIP会员