【紫冬声音】尬聊求解:多任务联合学习框架

2018 年 4 月 19 日 中国自动化学会

下面,

请允许紫冬君不厚道地

转播一则

灾难现场

。。。


N+1分钟后......



手滑星人求解


从技术角度分析,以上笑(惨)话(剧)主要由输入法联想功能对用户下一词的预判失误引发。这一问题能不能得到解决呢?

自动化所提出一种新的用于对话理解的多任务联合学习框架,同时对用户意图和语义槽标签进行预测,精准预判用户下一步即将输入词的词性;并通过共享LSTM层,充分利用不同任务间的相关性,实现彼此间相互促进提升。ATIS数据集实验表明该框架在多项常用指标上已达到最优水平。

对话理解原理解密

对话理解(Spoken Language Understanding, SLU)是对话系统的重要组件,主要包括意图识别(Intent Determination)和语义槽填充(Slot Filling)两个任务。


意图识别指的是确定用户的意图,可以视作分类问题。传统方法多使用最大熵模型(Maximum Entropy)或线性支持向量机(LinearSVM)来处理这一问题。语义槽填充指的是提取用户话语中的语义成分,可以视作序列标注问题。传统机器学习方法一般使用隐马尔科夫模型(HMM)或条件随机场(CRF)来处理这一问题。两项任务通常分别进行。这两项任务通常在对话理解系统中同时出现,并且都基于对用户话语中语义含义的理解,因此它们可能会共享相同的信息。


近日,对槽填充任务和意图识别任务进行联合学习(Joint Learning)被实验证明有效本文提出的框架在对两项任务进行联合学习的基础上,将词性预测作为辅助任务,并在预测过程中使用意图信息和语义成分信息。通过这样的机制,在模型训练时引入了额外的语义信息,因此可以更好地训练神经网络。

多任务联合学习框架

该框架由嵌入层、LSTM层、槽填充层(Slot Filling Layer, SFL)、意图识别层(Intent Determination Layer, IDL)及词性预测层(POS Prediction Layer)组成。


在获取到用户输入词后,嵌入层将词映射到向量空间,获取代表语义信息的词向量。当前的词向量和上一时刻的意图标签、槽标签一同作为LSTM层的输入,并输出代表当前状态的语义表示。


意图识别层和槽填充层使用当前状态的语义表示作为输入,并分别获得当前时刻的意图标签和语义槽标签。这两层具有相似的结构,均由一个多层前馈神经网络和一个柔性最大激活函数(Softmax)构成。当前时刻的意图标签和语义槽标签连接(Concatenate)后,作为上下文信息传递给下一时刻得LSTM层。


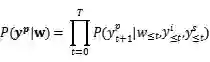
词性预测层也由多层前馈神经网络和柔性最大激活函数构成,并且将当前时刻的语义表示、意图标签和语义槽标签同时作为输入,预测下一时刻用户输入词的词性。使用分别代表真实的词性标签、意图标签和语义槽标签(图中使用代表预测获得的标签),根据链式法则,词性标签序列的概率可以表示成如下的形式:(其中,表示时刻之前的所有词)


实验检测看“疗效”

我们在ATIS(Airline Travel Information Systems)数据集上进行实验,结果表明:该框架在多项常用指标上达到了最优水平(State-of-the-art)


ATIS数据集由航空旅行信息系统收集的真实对话构成,在SLU研究中被广泛使用。该数据集包含4978条对话、127种不同的槽标签和18种不同的意图标签。为了方便比较,我们使用三种指标来衡量实验效果:意图识别错误率(Intent Error Rate)、槽填充F1值和语言模型复杂度(LM PPL)。

实验结果可以看到,本框架(第16、17行)在意图识别错误率和语言模型复杂度两个指标上优于所有其他模型;槽填充F1值超过了所有联合学习模型(第6至15行),略低于独立槽填充模型(第4行)。考虑到联合学习框架可以同时对多个任务进行训练,提供了极大便利,我们认为该框架的整体表现是十分优秀的。


小结

本文提出的用于自然语言理解的多任务联合学习框架,将预测用户意图标签和语义槽标签作为主任务,将预测下一个词的词性标签作为辅助任务;通过共享的LSTM层,该框架可以充分利用不同任务之间的相关性,实现彼此间相互促进提升。


来源:中国科学院自动化研究所

往期文章推荐

人工智能名人堂第49期 | 斯坦福研究院名人堂成员:Peter E. Ha

🔗【学会新闻】2018国家机器人发展论坛暨RoboCup机器人世界杯中国赛在柯桥开幕

🔗【2018国家机器人发展论坛专题论坛之一】医疗机器人专题论坛在绍兴成功举办

🔗【2018国家机器人发展论坛专题论坛之二】教育机器人专题论坛在绍兴柯桥成功举办

🔗【2018国家机器人发展论坛专题论坛之四】AI机器人应用创新论坛在绍兴柯桥成功举办

🔗【CAC2018】2018中国自动化大会征文通知(内含大会网址)

🔗 【重要通知】关于2018年度CAA科学技术奖励推荐工作的通知

🔗 【重要通知】关于征集全国学会优秀改革案例的第二轮通知

人工智能名人堂第49期 | 斯坦福研究院名人堂成员:Peter E. Ha🔗 【通知】关于开展第四届中国自动化学会青年科学家奖推荐工作的通知

人工智能名人堂第49期 | 斯坦福研究院名人堂成员:Peter E. Ha🔗 【通知】关于开展2018年CAA优秀博士论文奖励及推荐工作的通知

🔗 【征文通知】2018中国智能车大会征文通知

登录查看更多
5

相关内容

【ICML2020】持续终身学习的神经主题建模
专知会员服务
40+阅读 · 2020年6月22日
基于多头注意力胶囊网络的文本分类模型
专知会员服务
79+阅读 · 2020年5月24日
专知会员服务
100+阅读 · 2020年2月20日
Interspeech 2019 | 基于多模态对齐的语音情感识别
AI科技评论
24+阅读 · 2019年9月21日
学会原创 | 自然语言的语义表示学习方法与应用
中国人工智能学会
11+阅读 · 2019年3月7日
【紫冬声音】基于人体骨架的行为识别
中国自动化学会
17+阅读 · 2019年1月30日
论文浅尝 | 基于多原型mention向量的文本-实体联合学习
R语言之数据分析高级方法「时间序列」
R语言中文社区
17+阅读 · 2018年4月24日
【团队新作】连续情感识别,精准捕捉你的小情绪!
中国科学院自动化研究所
16+阅读 · 2018年4月17日
专栏 | Bi-LSTM+CRF在文本序列标注中的应用
机器之心
14+阅读 · 2018年1月3日
Arxiv
6+阅读 · 2019年4月4日
Arxiv
10+阅读 · 2018年4月19日
Arxiv
3+阅读 · 2018年3月28日
Arxiv
13+阅读 · 2018年1月20日
VIP会员
最新内容
以色列-美国-伊朗战争中的无人机:关键要点
专知会员服务
0+阅读 · 18分钟前
《Palantir任务保障性软件安全标准(MA-S2)》
专知会员服务
2+阅读 · 33分钟前
基于声学的无人机检测技术综述
专知会员服务
3+阅读 · 45分钟前
《当代混合战争分析框架:俄乌战争经验教训》
专知会员服务
3+阅读 · 今天13:11
战略前沿人工智能的再思考(中文)
专知会员服务
7+阅读 · 5月29日
《量化地基防空系统间接效应的博弈论方法》
专知会员服务
5+阅读 · 5月29日
“史诗怒火行动”中美军损失的作战飞机
专知会员服务
6+阅读 · 5月29日
ICML 2026 | 理解上下文持续学习中的泛化与遗忘
专知会员服务
5+阅读 · 5月28日
相关资讯
Interspeech 2019 | 基于多模态对齐的语音情感识别
AI科技评论
24+阅读 · 2019年9月21日
学会原创 | 自然语言的语义表示学习方法与应用
中国人工智能学会
11+阅读 · 2019年3月7日
【紫冬声音】基于人体骨架的行为识别
中国自动化学会
17+阅读 · 2019年1月30日
论文浅尝 | 基于多原型mention向量的文本-实体联合学习
R语言之数据分析高级方法「时间序列」
R语言中文社区
17+阅读 · 2018年4月24日
【团队新作】连续情感识别,精准捕捉你的小情绪!
中国科学院自动化研究所
16+阅读 · 2018年4月17日
专栏 | Bi-LSTM+CRF在文本序列标注中的应用
机器之心
14+阅读 · 2018年1月3日
Top
微信扫码咨询专知VIP会员