篇幅达2840页、目录就有31页,这位华人小哥的博士论文堪比教材

2021 年 1 月 25 日 机器之心

机器之心报道

作者:杜伟、陈萍

一篇长达 2840 页的博士论文,都是关于矩阵理论的,可以当教材了。


一篇论文的篇幅竟然多达数千页,比很多教材都要厚,这简直无法想象。不过,学术界的「能人异士」层出不穷,德州大学奥斯汀分校的 CS 博士生 Zhao Song 就做到了。

这是一篇 2019 年 8 月提交的博士论文,总篇幅达到了 2840 页,其中目录就占了 31 页。此外在致谢部分,论文作者还以整整 5 页的篇幅感谢了合作者、提供宝贵意见以及读博期间帮助过他的人。


论文地址:https://repositories.lib.utexas.edu/bitstream/handle/2152/80715/SONG-DISSERTATION-2019.pdf?sequence=1&isAllowed=y

不过,作者在论文第 1 页做了免责声明,表示:「这篇论文不符合德州大学奥斯汀分校当前的写作格式指南,论文仅供参考使用。」


下面让我们简单了解下这篇巨长的博士论文到底讲了些什么。

2840 页,这篇博士论文讲了什么

矩阵(matrix)在很多理论计算机科学和机器学习问题中发挥着至关重要的作用。在这篇博士论文中,作者旨在提供对矩阵的更好理解,并且文中的很多见解对古老的、已经得到充分研究的算法问题带来了改进。

具体来讲,作者从三个层面对计算机科学和机器学习领域的矩阵展开了研究。

首先,他探究了 矩阵在优化算法中的作用 。作者研究了大量的矩阵优化问题,并针对线性规划、经验风险最小化、常微分方程和深度神经网络提供了新的求解方法和结果。其中,在线性规划优化问题中,作者提出了一种在当前矩阵乘法时间上运行的新算法,并表示 gaisuan「解决了停滞了三十年之久的研究障碍」。此外,该算法可以泛化至多种多样的凸优化问题,即经验风险最小化问题。具体算法如下所示:


然后,他探究了 随机矩阵中的集中不等式问题 。具体来讲,作者将大量的切尔诺夫(Chernoff)类型的标量集中不等式和斯宾塞(Spencer)类型的差异定理泛化到矩阵中。

标量随机变量集中的切尔诺夫边界是随机算法分析中的基本工具。过去十年,切尔诺夫边界的矩阵泛化得到广泛应用,但这种泛化存在着一定的限制,并且是否可以消除这些限制的问题也悬而未决。通过提供大量更宽松独立性假设条件下新的矩阵切尔诺夫边界,作者对这一问题给出了肯定的答案。

如下为定理 8.1.1:k 均匀强瑞利分布(Strongly Rayleigh Distribution)的矩阵切尔诺夫边界。


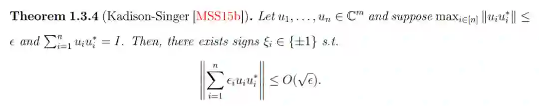
斯宾塞定理是差异理论中的一个著名结果,但如何将斯宾塞定理泛化至矩阵设置中这个重要问题却没有得到解决。作者在这方面取得了一些进展,并证明了在某些限制设置条件下斯宾塞定理可以实现矩阵泛化。并且,文中的结果可以泛化至著名的卡迪森 - 辛格猜想(Kadison-Singer conjecture)问题。

如下为定理 1.3.4:卡迪森 - 辛格问题。


最后,他提出了一系列 求解矩阵问题的新算法 。新算法大致可以分为两类:矩阵分解问题和结构化重建问题。在矩阵分解算法上,针对各种低秩矩阵分解,作者提出了新的算法,包括一些新的固定参数可处理的算法;在结构化重建算法上,针对一些具有结构矩阵的重建任务,给出了新的算法。

例如,作者重新考虑了 L2/L2 的压缩感知问题,提出了编码速度更快和列稀疏更小的算法。此外,作者还给出了针对傅里叶变换(Fourier transform)的快速算法等。

作者介绍


个人主页:https://simons.berkeley.edu/people/zhao-song

论文作者 Zhao Song 本科毕业于西蒙菲沙大学,获得了计算机科学学士学位,博士毕业于德克萨斯大学奥斯汀分校计算机科学系,由 Eric Price 教授指导。在进入德克萨斯大学之前,Zhao Song 曾是哈佛大学的访问学者,也在 IBM 研究中心实习过。

Zhao Song 的研究领域广泛,涉及机器学习、理论计算机科学和数学,如深度学习理论、对抗样本、强化学习、线性回归、矩阵 / 张量分解、线性规划、傅立叶变换等。论文被引用次数超过 2000 次:


参考链接:
https://scholar.google.com/citations?user=yDZct7UAAAAJ&hl=en
https://dblp.org/pid/76/4051-2.html

百万级文献分析,十万字深入解读
2020-2021 全球AI技术发展趋势报告

报告内容涵盖人工智能顶会趋势分析、整体技术趋势发展结论、六大细分领域(自然语言处理、计算机视觉、机器人与自动化技术、机器学习、智能基础设施、数据智能技术、前沿智能技术)技术发展趋势数据与问卷结论详解,最后附有六大技术领域5年突破事件、Synced Indicator 完整数据。

识别下方二维码,立即购买报告。

© THE END 

转载请联系本公众号获得授权

投稿或寻求报道:[email protected]

登录查看更多
0

相关内容

论文(Paper)是专知网站核心资料文档,包括全球顶级期刊、顶级会议论文,及全球顶尖高校博士硕士学位论文。重点关注中国计算机学会推荐的国际学术会议和期刊,CCF-A、B、C三类。通过人机协作方式,汇编、挖掘后呈现于专知网站。
专知会员服务
84+阅读 · 2021年5月4日
【经典书】计算理论导论,482页pdf
专知会员服务
86+阅读 · 2021年4月10日
124页哈佛数学系本科论文,带你了解流形学习的数学基础
专知会员服务
45+阅读 · 2020年12月23日
【布朗大学David Abel博士论文】强化学习抽象理论,297页pdf
专知会员服务
75+阅读 · 2020年12月7日
专知会员服务
143+阅读 · 2020年12月3日
还在修改博士论文?这份《博士论文写作技巧》为你指南
【经典书】机器学习高斯过程,266页pdf
专知会员服务
200+阅读 · 2020年5月2日
【重磅】61篇NIPS2019深度强化学习论文及部分解读
机器学习算法与Python学习
10+阅读 · 2019年9月14日
AAAI 2019 四个杰出论文奖论文揭晓
算法与数学之美
5+阅读 · 2019年5月11日
从零推导支持向量机 (SVM)
AI科技评论
10+阅读 · 2019年2月7日
论文浅尝 | 用对抗学习做知识表示(NAACL2018)
开放知识图谱
5+阅读 · 2019年1月2日
SVM大解密(附代码和公式)
AI100
6+阅读 · 2018年4月7日
论文结果难复现?本文教你完美实现深度强化学习算法DQN
中国人工智能学会
5+阅读 · 2017年11月24日
Arxiv
0+阅读 · 2021年5月28日
Arxiv
0+阅读 · 2021年2月5日
A Modern Introduction to Online Learning
Arxiv
21+阅读 · 2019年12月31日
VIP会员
最新内容
技术、多域威慑与海上战争(报告)
专知会员服务
2+阅读 · 今天15:04
“在云端防御”:提升北约数据韧性(报告)
专知会员服务
1+阅读 · 今天14:54
人工智能及其在海军行动中的整合(综述)
专知会员服务
1+阅读 · 今天14:07
美军MAVEN项目全面解析:算法战架构
专知会员服务
16+阅读 · 今天8:36
从俄乌战场看“马赛克战”(万字长文)
专知会员服务
10+阅读 · 今天8:19
相关VIP内容
专知会员服务
84+阅读 · 2021年5月4日
【经典书】计算理论导论,482页pdf
专知会员服务
86+阅读 · 2021年4月10日
124页哈佛数学系本科论文,带你了解流形学习的数学基础
专知会员服务
45+阅读 · 2020年12月23日
【布朗大学David Abel博士论文】强化学习抽象理论,297页pdf
专知会员服务
75+阅读 · 2020年12月7日
专知会员服务
143+阅读 · 2020年12月3日
还在修改博士论文?这份《博士论文写作技巧》为你指南
【经典书】机器学习高斯过程,266页pdf
专知会员服务
200+阅读 · 2020年5月2日
相关资讯
【重磅】61篇NIPS2019深度强化学习论文及部分解读
机器学习算法与Python学习
10+阅读 · 2019年9月14日
AAAI 2019 四个杰出论文奖论文揭晓
算法与数学之美
5+阅读 · 2019年5月11日
从零推导支持向量机 (SVM)
AI科技评论
10+阅读 · 2019年2月7日
论文浅尝 | 用对抗学习做知识表示(NAACL2018)
开放知识图谱
5+阅读 · 2019年1月2日
SVM大解密(附代码和公式)
AI100
6+阅读 · 2018年4月7日
论文结果难复现?本文教你完美实现深度强化学习算法DQN
中国人工智能学会
5+阅读 · 2017年11月24日
Top
微信扫码咨询专知VIP会员