这个困扰流体力学100年的公式被找出,作者之一为北航教授、北大校友

2021 年 11 月 30 日 量子位
萧箫 发自 凹非寺
量子位 报道 | 公众号 QbitAI

困扰了流体力学领域一个接近100年的公式,终于被科学家们完整地找出来了。

这个公式与流体中的一种复杂的流动状态湍流有关,与之对应的是层流现象。

湍流问题非常复杂,是物理力学中最难的几个问题之一,量子力学创始人之一海森堡就曾经说过:

我要带着两个问题去见上帝:相对论和湍流。我相信上帝只对第一个问题有了答案。

湍流中的一个研究方向,是探索它在边界层的运动。像水流急速冲刷玻璃板表面时,和玻璃板表面相互作用形成的湍流,就叫边界层湍流。

1920年,科学家们发现了边界层湍流这一现象,但却一直没能求出精确描述它的公式。

终于,在100年之后,来自UC圣芭芭拉分校、奥斯陆大学和北航的几名科学家们,解决了一个关键问题后,最终完整地推导出了边界层湍流的描述公式。

目前,研究已经发表在《物理评论研究》上。

边界层湍流长啥样?

首先我们需要弄明白,边界层湍流究竟是什么。

湍流是我们日常生活中一个非常常见的现象,像香烟放出的烟雾、空气的流动、河水的急流都属于这类现象。

这种现象非常复杂,目前仅靠数学方法解非线性方程(描述控制湍流运动的Navier-Stokes方程)的方法,还没有取得太大的进展。

然而,人们在造飞机、研究轮船汽车时又极其需要减小湍流带来的摩擦阻力,因此他们从工程应用上开始对湍流分门别类,具体问题进行具体研究。

湍流分为好几种类型,包括各向同性湍流和剪切湍流。

具体到剪切湍流中,又包括自由剪切湍流(射流、混合层、远场尾流)和壁湍流(槽道、圆管、边界层)。

其中,边界层湍流是壁湍流(wall turbulence)的一种,描述的是流体在靠近壁面时,与壁面相互作用产生的湍流。

例如,匀速运动的流体在经过一面墙壁后,会先形成一层稳定的层流边界层(图中蓝色部分),再形成湍流边界层(图中红色部分)

早在1920年,科学家们就已经发现了边界层湍流的四个区域,并且已经给出了一个速度变化曲线。

如下图,这四个区域包括粘性层(viscous sublayer)、缓冲层(buffer layer)、惯性层(inertial sublayer)和尾流层(defect layer),流体平均速度依次变大。

从图中可见,流体的平均速度变化会在惯性层中转变为一种对数函数变化的形式。

一方面,尽管测量得到了流体在不同区域速度变化的情况,科学家们仍然感到非常困惑:这个对数函数到底该怎么解释呢?

尤其是其中惯性层速度变化呈现出的对数函数规律,更是让科学家们百思不得其解。他们不仅无法理解这个对数函数是怎么出现的,更无法用精确的公式去描述这一现象。

另一方面,平均速度变化的方差,也在不同区域之间出现了不一样的情况(下图蓝色为方差变化情况)

这些年来,科学家们一直在致力于从这两个问题中找到求解边界层湍流的突破口。

这个突破口就是涡流。

推导出边界层湍流精确公式

由于涡流可以用有规律的数学模型来描述,而湍流又属于涡流,因此科学家们想到了研究边界层上各种涡流的现象与规律,来对湍流进行研究。

涡流,流体顺着某个方向环绕直线或曲线轴进行运动的方式。

1970年左右,澳洲科学家Albert Alan Townsend表示,边界层湍流的这个平均速度曲线,应该受附着在边界上涡流的影响。

2010年,伊利诺伊大学香槟分校的数学家们,进一步地对于附着在边界上的这些涡流进行了描述,并解释了这些涡流如何将能量从边界转移到流体中。

……

一系列研究下来,科学家们发现,较小的涡流能给延伸到惯性层的大涡流提供能量,从而解释了对数函数的出现。

然而,除了附着在边界上的涡流,流体中还存在一些分离涡流。

时间快进到2020年,来自UC圣塔芭芭拉分校、奥斯陆大学和北航的几名教授与研究生们,在一项研究中推导出了这类分离涡流的公式。

他们在研究中发现,分离涡流公式的得出,对于整个边界层湍流公式的推导非常有帮助,就像是填上了边界层湍流公式描述中的一块重要拼图。

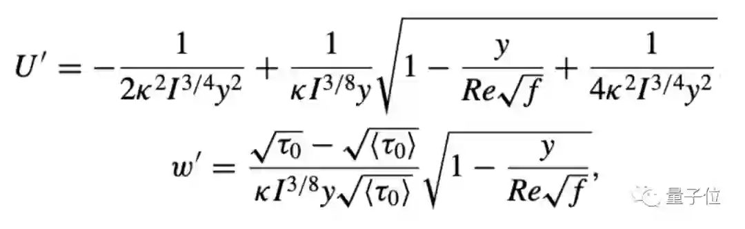
团队将过去的研究与这次发现结合在一起,推导出了边界层湍流平均速度曲线的描述公式(还有方差的数学公式)

这也意味着复杂的边界层湍流现象,终于有一系列明确的数学公式来对它进行描述了。

其中U和w²分别表示平均速度和方差,下面两个导数公式需要根据条件来求积分(方差再进行平方),来计算出最终结果,公式中的相应参数都已经被科学家们推算出来。

研究人员们用实验数据(从墨尔本大学风洞实验室获得)与理论公式推导的结果进行了对比,结果非常接近。

这项突破,对于不少工业项目的研究非常有帮助,例如超音速民航机和空天飞机的研制,就需要对超音速边界层的湍流有更深入的了解,又例如,可以用于精确计算边界层湍流,来最大程度上降低摩擦阻力等等。

作者介绍

Björn Birnir,加州大学圣塔芭芭拉分校数学系教授,研究方向是随机非线性偏微分方程与湍流、偏微分方程的动力系统理论等。

Luiza Angheluta,奥斯陆大学助理教授,研究方向是流体力学、统计物理和复杂系统等。

John Kaminsky,加州大学圣塔芭芭拉分校研究生,研究方向是流体力学中的湍流和随机偏微分方程。

陈曦,北京航空航天大学流体所教授、博导,2006年毕业于北大力学系,此后硕博连读,并于2012年获得北京大学流体力学博士。

这几年,陈曦也和Björn Birnir教授在边界层湍流上有过合作研究论文,这次应当是在边界层湍流领域上的一大突破。

值得一提的是,北大数学系“韦神”韦东奕,主要研究方向也是流体力学,曾经研究过控制湍流运动的“Navier-Stokes方程”。

北大在流体领域的人才,也是层出不穷了。

论文地址:
https://journals.aps.org/prresearch/abstract/10.1103/PhysRevResearch.3.043054

参考链接:
[1]http://www.ase.buaa.edu.cn/info/1079/10441.htm

[2]https://ccpt.cnki.net/kcms/detail/detail.aspx?filename=CHQB20130409T010&dbcode=CRJT_CCND&dbname=CCNDLAST2013&v=
[3]https://www.news.ucsb.edu/2021/020467/clear-description-turbulent-water
[4]https://birnir.math.ucsb.edu/
[5]https://www.mn.uio.no/compsci/english/people/supervisors/angheluta.html
[6]http://web.math.ucsb.edu/~jkaminsky/index.html

量子位 QbitAI · 头条号签约作者

վ'ᴗ' ի 追踪AI技术和产品新动态

一键三连「分享」「点赞」和「在看」

科技前沿进展日日相见 ~


登录查看更多
0

相关内容

谷歌大牛Jeff Dean单一作者撰文:深度学习研究的黄金十年
Nature论文: DeepMind用AI引导直觉解决数学猜想难题
专知会员服务
31+阅读 · 2021年12月2日
专知会员服务
111+阅读 · 2021年7月18日
专知会员服务
99+阅读 · 2020年10月30日
专知会员服务
16+阅读 · 2020年7月27日
北大数学“黄金一代”今何在?
量子位
0+阅读 · 2022年4月4日
从哈勃到韦伯,「宇宙之眼」是怎样炼成的?
3D模型“换皮肤”有多简单?也就一句话的事
量子位
0+阅读 · 2021年12月29日
这个机器人一个表情,看过的人不寒而栗
量子位
0+阅读 · 2021年12月4日
国家自然科学基金
0+阅读 · 2014年12月31日
国家自然科学基金
0+阅读 · 2013年12月31日
国家自然科学基金
0+阅读 · 2012年12月31日
国家自然科学基金
0+阅读 · 2011年12月31日
国家自然科学基金
0+阅读 · 2011年12月31日
国家自然科学基金
0+阅读 · 2011年12月31日
国家自然科学基金
0+阅读 · 2011年12月31日
国家自然科学基金
0+阅读 · 2009年12月31日
国家自然科学基金
1+阅读 · 2008年12月31日
国家自然科学基金
0+阅读 · 2008年12月31日
Arxiv
0+阅读 · 2022年4月18日
Arxiv
10+阅读 · 2021年11月10日
Arxiv
20+阅读 · 2020年6月8日
Deep Face Recognition: A Survey
Arxiv
18+阅读 · 2019年2月12日
VIP会员
最新内容
美军MAVEN项目全面解析:算法战架构
专知会员服务
8+阅读 · 今天8:36
从俄乌战场看“马赛克战”(万字长文)
专知会员服务
6+阅读 · 今天8:19
最新“指挥控制”领域出版物合集(16份)
专知会员服务
13+阅读 · 4月12日
面向军事作战需求开发的人工智能(RAIMOND)
专知会员服务
19+阅读 · 4月12日
远程空中优势:新一代超视距导弹的兴起
专知会员服务
4+阅读 · 4月12日
大语言模型溯因推理的统一分类学与综述
专知会员服务
5+阅读 · 4月12日
相关基金
国家自然科学基金
0+阅读 · 2014年12月31日
国家自然科学基金
0+阅读 · 2013年12月31日
国家自然科学基金
0+阅读 · 2012年12月31日
国家自然科学基金
0+阅读 · 2011年12月31日
国家自然科学基金
0+阅读 · 2011年12月31日
国家自然科学基金
0+阅读 · 2011年12月31日
国家自然科学基金
0+阅读 · 2011年12月31日
国家自然科学基金
0+阅读 · 2009年12月31日
国家自然科学基金
1+阅读 · 2008年12月31日
国家自然科学基金
0+阅读 · 2008年12月31日
Top
微信扫码咨询专知VIP会员