【初学者系列】目标检测算法YOLO原理解读

2019 年 8 月 23 日 专知

【导读】目标检测分两大门派:single-shot detectors以及two-stage detectors。前者注重检测的速度,后者注重检测的精度,当然后者所用的训练时间长。yolo属于前者,今天这篇文章带大家了解一下yolo的原理。


图一:yolo检测系统

01

原理解读

图二:yolo原理图

由图可以看出,yolo网络有24个卷积层和2个全连接层,其中,卷积层用来提取图像特征,全连接层用来预测图像位置和类别概率值。

图三:网络模型

YOLO将物体检测作为回归问题求解,它将输入图像分成SxS个格子,每个格子输出B个bounding box(包含物体的矩形区域)信息,以及C个物体属于某种类别的概率信息。Bounding box信息包含5个数据值,分别是x,y,w,h,和confidence。因此,YOLO网络最终的全连接层的输出维度是 S*S*(B*5 + C)

图四:yolo网络的输出的网格

其中,confidence表示:cell预测的bounding box包含一个物体的置信度有多高并且该bounding box预测准确度有多大,用公式表示为:

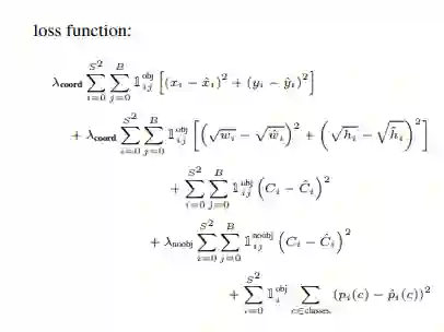
这里,我们再讨论一下yolo的损失函数。论文中损失函数定义为:

我在网上找了一些图片解释:

参考链接:

https://blog.csdn.net/gzs0927/article/details/78308786

并不是网络的所有输出都要计算loss,具体地说:


有物体中心落入的cell,需要计算分类损失,两个predictor都要计算置信度损失,预测的bounding box与groud truth IOU较大的那个predictor需要计算xywh损失。


最关键的部分,没有物体中心落入的cell,只需要计算置信度(confidence)损失。


原始论文地址:

https://arxiv.org/abs/1506.02640



-END-

专 · 知


专知,专业可信的人工智能知识分发,让认知协作更快更好!欢迎登录www.zhuanzhi.ai,注册登录专知,获取更多AI知识资料!

欢迎微信扫一扫加入专知人工智能知识星球群,获取最新AI专业干货知识教程视频资料和与专家交流咨询

请加专知小助手微信(扫一扫如下二维码添加),加入专知人工智能主题群,咨询技术商务合作~

专知《深度学习:算法到实战》课程全部完成!560+位同学在学习,现在报名,限时优惠!网易云课堂人工智能畅销榜首位!

点击“阅读原文”,了解报名专知《深度学习:算法到实战》课程

登录查看更多
5

相关内容

Yolo算法,其全称是You Only Look Once: Unified, Real-Time Object Detection,You Only Look Once说的是只需要一次CNN运算,Unified指的是这是一个统一的框架,提供end-to-end的预测,而Real-Time体现是Yolo算法速度快。
深度学习目标检测方法及其主流框架综述
专知会员服务
148+阅读 · 2020年6月26日
【文献综述】深度学习目标检测方法及其主流框架综述
专知会员服务
119+阅读 · 2020年6月26日
模型优化基础,Sayak Paul,67页ppt
专知会员服务
77+阅读 · 2020年6月8日
一份循环神经网络RNNs简明教程,37页ppt
专知会员服务
173+阅读 · 2020年5月6日
3D目标检测进展综述
专知会员服务
193+阅读 · 2020年4月24日
专知会员服务
164+阅读 · 2020年4月21日
【旷视出品】细粒度图像分析综述
专知
15+阅读 · 2019年7月11日
YOLO简史
计算机视觉life
27+阅读 · 2019年3月7日
理解 YOLO 目标检测
AI研习社
22+阅读 · 2018年11月5日
ECCV 2018 | CornerNet:目标检测算法新思路
极市平台
13+阅读 · 2018年8月11日
一文读懂目标检测:R-CNN、Fast R-CNN、Faster R-CNN、YOLO、SSD
七月在线实验室
11+阅读 · 2018年7月18日
YOLO算法的原理与实现
机器学习研究会
43+阅读 · 2018年1月19日
YOLO,一种简易快捷的目标检测算法
AI研习社
5+阅读 · 2018年1月11日
Arxiv
5+阅读 · 2019年4月8日
Auto-Context R-CNN
Arxiv
4+阅读 · 2018年7月8日
Arxiv
8+阅读 · 2018年5月17日
Arxiv
5+阅读 · 2018年4月17日
Arxiv
5+阅读 · 2016年12月29日
VIP会员
最新内容
《美陆军条例:陆军指挥政策(2026版)》
专知会员服务
6+阅读 · 今天8:10
《军用自主人工智能系统的治理与安全》
专知会员服务
5+阅读 · 今天8:02
《系统簇式多域作战规划范畴论框架》
专知会员服务
8+阅读 · 4月20日
高效视频扩散模型:进展与挑战
专知会员服务
4+阅读 · 4月20日
乌克兰前线的五项创新
专知会员服务
8+阅读 · 4月20日
 军事通信系统与设备的技术演进综述
专知会员服务
7+阅读 · 4月20日
《北约标准:医疗评估手册》174页
专知会员服务
6+阅读 · 4月20日
相关VIP内容
深度学习目标检测方法及其主流框架综述
专知会员服务
148+阅读 · 2020年6月26日
【文献综述】深度学习目标检测方法及其主流框架综述
专知会员服务
119+阅读 · 2020年6月26日
模型优化基础,Sayak Paul,67页ppt
专知会员服务
77+阅读 · 2020年6月8日
一份循环神经网络RNNs简明教程,37页ppt
专知会员服务
173+阅读 · 2020年5月6日
3D目标检测进展综述
专知会员服务
193+阅读 · 2020年4月24日
专知会员服务
164+阅读 · 2020年4月21日
相关资讯
【旷视出品】细粒度图像分析综述
专知
15+阅读 · 2019年7月11日
YOLO简史
计算机视觉life
27+阅读 · 2019年3月7日
理解 YOLO 目标检测
AI研习社
22+阅读 · 2018年11月5日
ECCV 2018 | CornerNet:目标检测算法新思路
极市平台
13+阅读 · 2018年8月11日
一文读懂目标检测:R-CNN、Fast R-CNN、Faster R-CNN、YOLO、SSD
七月在线实验室
11+阅读 · 2018年7月18日
YOLO算法的原理与实现
机器学习研究会
43+阅读 · 2018年1月19日
YOLO,一种简易快捷的目标检测算法
AI研习社
5+阅读 · 2018年1月11日
Top
微信扫码咨询专知VIP会员