评价过万的“爆款”也坑爹?网购达人们,别被总数冲昏了头

2017 年 10 月 20 日 果壳网 性感的小脚脖

作者:性感的小脚脖

编辑:odette


精通网购的人越来越多,大家都习惯了这个更“透明”的购物环境:东西买不买,先看看评价怎么样。评价数多不多?好评有多少?眼睛划拉一遍,一件商品的好坏在我们心中也有了拿捏。

然而,近期一项发表于《心理科学》(Psychological Science)的研究[1]却显示,普通消费者对待商品评价的方式,可能会导致大家做出不理性的购买决定。这项研究的第一作者是斯坦福大学心理系博士后德里克•包威尔(Derek Powell)。

图片来源:123rf.com.cn正版图片库

这个研究发现,人们在网购中过于看重一件商品有没有足够多的评价数,而相对看轻这件商品的评分有多高。换句话说,在相同的条件下,消费者更加青睐销量可观的“爆款”(尽管评价数多,但评分却可能较低),而不愿为那些“叫好而不叫座”的商品打开荷包

然而,商品评价数与其质量好坏并无直接关系。相反,一个拥有大量评价的低分商品,比一个仅有少量评价的低分商品,分数要“低”得更为稳定一些。因此,过于看重评价数,可能会让我们买到一件糟糕的商品。


“爆款”还是“好评”

消费者喜欢哪一个?

在开始实验之前,研究者先从亚马逊网站上收集了356619件商品的共计15655439条评价,这些商品主要来自手机、电器、餐厨、健康与美容四个类别。

通过分析这些现实中的数据,研究者完成了两项工作。首先,他们证明了一件商品的流行度(即评价数)与其本身的质量和消费者满意度(即评分)之间没有什么关系。其次,通过贝叶斯建模的方式,研究者推算出了一个理性的消费者在不同的评价数和评分基础上“应该”做出什么样的决策。这样,他们就为可能出现的不同实验结果提供了一个可供比照的标准。

随后,研究者招募了138名成年被试,让他们在一系列配对商品之间评估自己更愿意买哪一件。其中一件商品只有较少的评价数(大约25个),评分在2.7~4.6分之间波动;另一件商品则有大量的评价(大约150个),并且它的评分在一半的情况下要高于评价少的商品,而在另一半的情况下则评分更低。

被试需要在一系列配对商品之间评估自己更愿意买哪一个,每个商品都有“评价数”与“评分”两个维度。例如,左边的商品H的评价数有145条,评分是2.7;右边的商品F的评价数有20条,评分是2.4。图片来源:文献[1]

研究者关心的是,被试在评价数与评分各异的商品之间会如何选择。结果发现,被试对评价数多的商品存在很明显的偏好

当两个配对商品的评分都较高时(4.6分),被试选择评价数多的商品的概率接近95%。这一结果比较符合我们的直觉,那些评价好销量又多的商品,我们确实更愿意购买它们。

但有趣的是,如果两个商品的评分都很低(2.7分*),被试仍然有接近90%的概率会选择评价数多的那一个。


*注:研究者分析了亚马逊上的真实数据,发现不同类别商品的平均评分在3.73~4.10之间波动,其中手机类3.73分,电器类3.92分,餐厨类4.09分,健康与美容类4.10分。因此,2.7分是一个比较低的评分。

这个事情就非常诡异了。要知道,“由150个评价得到的低分”与“仅由25个评价得到的低分”,虽然评价都不高,却有着本质区别。依据统计学原理,前者由于样本量大,因此所得到的是一个非常稳定的“差评”;而后者由于样本小,“差”的结果有可能只是误差导致

换句话说,基于大量消费者评价的差评商品,一定会很差;而基于少量消费者评价的差评商品,则可能很差也可能还行

——然后买家宁愿选择“稳定的差”,也不愿意冒险选择“可能只是误差的差”啊??

然而,更糟糕的情况是,相比于2.7分的低分商品,一件商品只要评价数足够多,哪怕评分更低(2.4分),被试还是会有超过40%的概率选择它。可见,消费者在网购中对爆款的偏好是较为明显的。


人们为什么热爱“爆款”?

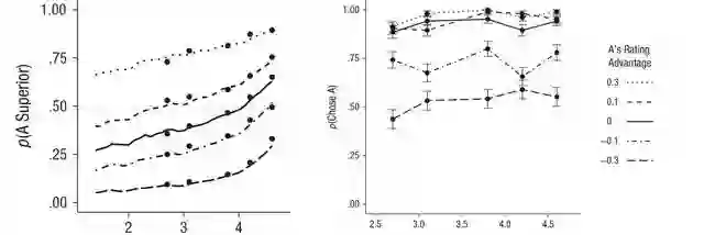
在整个实验中,贝叶斯模型对被试行为的拟合度只有0.17,也就是说,他们在实验中的实际表现,与模型所得到的“利益最大化”的答案相去甚远。

此图描述了评价数多(150条)的商品的情况,左侧为基于贝叶斯模型推出的理性决策模式,右图为被试在任务中的实际决策模式。横坐标为商品评分,纵坐标为消费者选择此商品的概率。图中展示了此商品和另一个评价较少商品的评分之差为0.3、0.1、0、-0.1、-0.3五种情况下,理想和实际的决策模式。图片来源:文献[1]

包威尔认为,消费者是受到社会线索的影响,才会变得像羊群一样跟从同伴的选择,而这些线索就是一件商品有多少人评价。

社会学习理论表明,人们会有意无意地通过观察、模仿其他人的行为,来帮助自己解决问题。社会学习不仅能让我们在短时间内快速获得较为可靠的解决方案,还能在一定程度上规避环境中可能存在的风险[2]。这是一种“不学而能”的能力,也有深刻的进化意义[3]。因此,人们做决策时的第一直觉是跟着其他人走,这么做是一个相对安全的选项。而选择少有人走的路所产生的焦虑感,也会驱使人们调转方向跟着其他人走。


消费者在网购中所表现出的偏好评价数的倾向,便是社会学习的结果。他们会将流行(评价数多)的商品视为“好”商品,而忽视评价数对于消费决策的真正用处——衡量一件商品评分的稳定性:评分所基于的评价数越多,那么这个商品的评分则越稳定。

因此,下次剁手时,你大概应该把自己从对评价数的执着中解救出来,而要同时考虑评价数与评分这两个指标。一个评价数多且评分高的商品,自然是极好的;但一个评价数多却评分低的商品,也肯定是实实在在的糟糕

(编辑:odette)

参考文献

  1. Powell, D., Yu, J., Dewolf, M., &Holyoak, K. J. (2017). The love of large numbers: a popularity bias in consumer choice. Psychological Science, 28(10), 1432-1442. 

  2. Bandura, A. (2000). Social learning theory. Journal of Human Behavior in the Social Environment, 1(1), 33-52.

  3. Castro, L., & Toro, M. A. (2004). The evolution of culture: from primate social learning to human culture. Proceedings of the National Academy of Sciences of the United States of America, 101(27), 10235-10240.

一个AI

只要总的评价数够多,哪怕差评率高一点买家也还是会掏腰包的。

——各位网店店主,都明白了吗?


本文来自果壳网,谢绝转载

如有需要请联系[email protected]

(欢迎转发到朋友圈~)


果壳网

ID:Guokr42

果壳整天都在科普些啥啊!

吓得我二维码都歪了!


为啥这样的二维码也能扫?

扫码发送【二维码】告诉你原理~



登录查看更多
0

相关内容

【ICMR2020】持续健康状态接口事件检索
专知会员服务
18+阅读 · 2020年4月18日
【WWW2020-微软】理解用户行为用于文档推荐
专知会员服务
36+阅读 · 2020年4月5日
自回归模型:PixelCNN
专知会员服务
29+阅读 · 2020年3月21日
近期必读的6篇AI顶会WWW2020【推荐系统】相关论文
专知会员服务
57+阅读 · 2020年2月25日
【CCL 2019】2019信息检索趋势,山东大学教授任昭春博士
专知会员服务
30+阅读 · 2019年11月12日
只需单击三次,让中文GPT-2为你生成定制故事
机器之心
8+阅读 · 2019年11月12日
交通评价指标概略
智能交通技术
15+阅读 · 2019年7月21日
招行高端卡套路深!“理财办卡”坑了多少人?
凤凰财经
3+阅读 · 2018年12月30日
刘强东人设崩了,京东没崩
PingWest品玩
6+阅读 · 2018年11月20日
两套经典的用户画像
产品100干货速递
26+阅读 · 2018年6月19日
机器学习-我妈妈也能看懂的入门篇
深度学习世界
4+阅读 · 2018年5月16日
Arxiv
3+阅读 · 2018年10月18日
Arxiv
5+阅读 · 2017年12月14日
Arxiv
4+阅读 · 2017年10月30日
VIP会员
最新内容
人工智能在战场行动中的演进及伊朗案例
专知会员服务
4+阅读 · 4月18日
美AI公司Anthropic推出网络安全模型“Mythos”
专知会员服务
2+阅读 · 4月18日
【博士论文】面向城市环境的可解释计算机视觉
大语言模型的自改进机制:技术综述与未来展望
《第四代军事特种作战部队选拔与评估》
专知会员服务
1+阅读 · 4月18日
相关VIP内容
相关资讯
只需单击三次,让中文GPT-2为你生成定制故事
机器之心
8+阅读 · 2019年11月12日
交通评价指标概略
智能交通技术
15+阅读 · 2019年7月21日
招行高端卡套路深!“理财办卡”坑了多少人?
凤凰财经
3+阅读 · 2018年12月30日
刘强东人设崩了,京东没崩
PingWest品玩
6+阅读 · 2018年11月20日
两套经典的用户画像
产品100干货速递
26+阅读 · 2018年6月19日
机器学习-我妈妈也能看懂的入门篇
深度学习世界
4+阅读 · 2018年5月16日
Top
微信扫码咨询专知VIP会员