成为VIP会员查看完整内容
VIP会员码认证
首页
主题
会员
服务
注册
·
登录
0
Yann LeCun深度学习公开课4万字笔记,125页干货都在这了
专知AI搜索
2022 年 7 月 9 日
新智元
新智元报道
编辑:David 好困
【新智元导读】
Yann LeCun大师课程,搭配120页笔记食用效果更佳。
喜欢深度学习?最好的方法就是在线课程。
这里推荐图灵奖得主、纽约大学教授Yann LeCun主讲的在线课程。
该课程最重要的优点是,它集成了LeCun对深度学习的思考。通过这门课,学习者可以了解深度学习的现状,特别是关于自监督学习、挑战、提议的解决方案和未来计划。
课程地址:
https://www.youtube.com/playlist?list=PLLHTzKZzVU9e6xUfG10TkTWApKSZCzuBI
要说这门课主要的「缺点」?
可能就是LeCun的教学风格不像吴恩达那样对学生友好,但过了一段时间,你就会渐渐习惯,而且回报远远大于成本。
三选一,为什么选NYU的?
前一段时间开始,我一直在寻找一个好的在线深度学习课程,最终选出的三门课包括:
纽约大学深度学习课程 SP21(Yann LeCun主讲)
斯坦福大学深度学习课程 CS231N(李飞飞主讲)
Coursera 深度学习课程 (吴恩达主讲)
当然,这三门课都是无需多言的DL精品课程,主讲人都是AI业界鼎鼎大名的计算机科学家,如果你有时间可以都学,但如果时间有限,就需要做出选择。
三大名家课程中,为什么选NYU的?
一个非常重要的原因就是,NYU的课程讲了自监督学习。
上面这三门课,以及你在网上能找到的其他大部分课程,都包含了很多共同的内容,比如反向传播、CNN、RNN、GAN、Transformer、分类实例和一些实用技巧等。
无论什么课程,你都会听到这些东西,只是可能教学风格偏好不同。
不过在大多数课程中,一般主要是讲是监督学习。
而纽约大学的课程更专注于自监督学习,Yann LeCun认为,自监督学习是AI未来的一个基本支柱。
本课程有两位导师,Yann LeCun本人和Alfredo Canziani分别专注于理论和实践。Yann LeCun无需介绍,Alfredo是纽约大学的计算机科学的助理教授。
该课程内容非常广泛,涵盖了很多东西,大部分时间的深度也足够。课程时长大约50个小时,信息点密集。
这是一场马拉松,而不是一场短跑。
Alfredo为这门课开了个Github页面,里面有很多资源,包括一些超级有用的jupyter notebook和可运行的代码,并列出了为期15周的学习计划。
他甚至还对youtube视频下的评论做了回应。还有来自FAIR实验室(Facebook人工智能研究实验室)的客座讲师,介绍他们在CV和NLP方面的最新工作。
课程主题
课程的主题之一是处理不确定性的方法。
LeCun的观点是,智能体的一个基本组成部分,是其做出良好预测的能力。
这需要一个世界模型,一个能够接收世界状态和行动的模块,并能预测世界的一些未来状态。
不过,建立这些模型的一个主要挑战是,世界是随机的,包含很多不确定性。一个典型的例子是坠落的铅笔。如果把一支铅笔直立在桌子上,让它掉下来,无法预测它到底会落在哪里。
现在我们对世界的状态没有完整的了解,所以无法做一个确定性的决定。在这些情况下,一个输入有许多貌似合理的输出。在世界的某个状态之下,下一步可能跟着几个可信的未来状态之一。
那么,我们怎样才能在深度学习中处理这个问题
呢?这就是基于能量的模型所要解决的问题。处理不确定性。更确切地说,学习在不确定性下做良好的预测。
而同样重要的是,智能体应该能够主要通过观察来学习这个世界模型,就像动物所做的那样,使用无标签的数据。这就是为什么自监督学习如此重要的原因。
标签来自于观察。你预测下一个状态,等待,下一个状态出现,你就有了你的标签。或者你隐藏了一个句子的部分内容,然后试图预测作为标签的缺失单词。
根据LeCun的说法,要处理不确定性,预测世界模型的最佳途径,是用非反常的正则化方法训练的联合嵌入架构。如果你上了LeCun的这门课,就会理解为什么、怎么训练。
这是2018年的一个项目。在这个项目中,智能体在像素空间中进行预测,这要求对世界的学习表征必须包含很多细节,以便能够预测一个完整的视频帧。
相反,使用一个在表征空间中预测的世界模型会更好,因为表征空间的维度更低,所以不必学习预测所有不相关的细节。
另一个在课程中没有提到的,是分层的JEPA模型(联合嵌入预测架构),这是LeCun提出的用于创建自主智能体的新建议。
新的智能体在表示空间中进行预测,可以制定分层的行动计划,面向未来有更长的计划。但截至目前,这个方法(截至2022年),有很多挑战。
课程挑战
LeCun试图通过他的基于能量的框架来解释事情,这可能有点令人困惑,至少在一开始。
也有一些部分,他非常抽象地解释事物,在一个正式的框架内进行定义,你必须耐心地跟上他的思路。
在有一些讲里,他为深度学习中的一些基本概念提供了数学证明。你可能喜欢,也可能不喜欢,取决于你对数学的兴趣和能力。
50个小时很长,很难一口气看完。有时不得不暂停,思考,做笔记,很多地方需要再重新看,才觉得足够舒服。
先修知识:需要懂点ML基础和线代
本课程至少要了解机器学习和线性代数的基础知识。
这方面的优秀课程也不少,如吴恩达的机器学习课程和3Blue1Brown的线性代数课程。
麻省理工学院的Gilbert Strang的简明课程也是对线性代数的一个很好的高水平概述。
另外,如果对反向传播的工作原理有一些基本的了解,对于也是很有帮助的。3Blue1Brown也有一个关于反向传播的简短说明,他以非常直观的方式解释了整个过程。
最后放上学习笔记。(包含大量的图片,所以docx文件相当大...),笔记比较长,无法在线查看。
笔记里边有听课时对授课内容的一些理解和推导。比如:
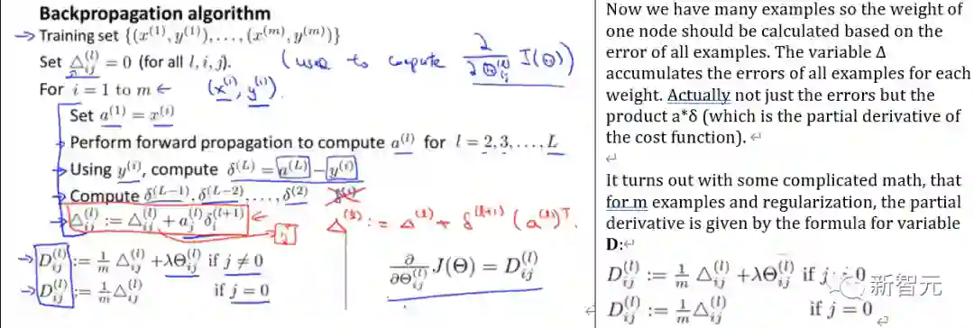
反向传播算法的推导:
梯度的计算:
什么是残差网络,残差网络为什么这么好用:
甚至,为了便于大家理解,还加入了动图:
课程笔记下载地址(4W字word文档):
https://drive.google.com/file/d/1F2MtqLlLFmxYcpXRRd-kSz8Csi2VSgmZ/view
登录查看更多
点赞并收藏
0
暂时没有读者
0
权益说明
本文档仅做收录索引使用,若发现您的权益受到侵害,请立即联系客服(微信: zhuanzhi02,邮箱:
[email protected]
),我们会尽快为您处理
相关内容
课程
关注
6
课程是指学校学生所应学习的学科总和及其进程与安排。课程是对教育的目标、教学内容、教学活动方式的规划和设计,是教学计划、教学大纲等诸多方面实施过程的总和。广义的课程是指学校为实现培养目标而选择的教育内容及其进程的总和,它包括学校老师所教授的各门学科和有目的、有计划的教育活动。狭义的课程是指某一门学科。 专知上对国内外最新AI+X的课程进行了收集与索引,涵盖斯坦福大学、CMU、MIT、清华、北大等名校开放课程。
《从机器学习到自主智能》,图灵奖得主Yann LeCun最新报告,附192页ppt与视频
专知会员服务
66+阅读 · 2022年8月2日
自主机器智能!图灵奖得主Yann LeCun指明下一代AI方向
专知会员服务
54+阅读 · 2022年6月29日
图灵奖获得者Yann LeCun:最新《自主人工智能之路》报告,附70页ppt
专知会员服务
63+阅读 · 2022年2月26日
2022新年荐书!最值得一读的8部机器学习教程(PDF下载)
专知会员服务
114+阅读 · 2022年1月11日
Yann LeCun主讲!纽约大学《深度学习》2021课程全部放出,附slides与视频
专知会员服务
48+阅读 · 2021年11月15日
UC伯克利最新深度学习课程上线,强化学习大牛Sergey Levine授课(B站可看)
专知会员服务
33+阅读 · 2021年3月21日
斯坦福大学经典《自然语言处理cs224n》2020课件合集
专知会员服务
97+阅读 · 2020年5月25日
Yann Lecun 纽约大学《深度学习(PyTorch)》课程(2020)PPT
专知会员服务
184+阅读 · 2020年3月16日
最新!Yann Lecun 纽约大学Spring2020深度学习课程,附PPT下载
专知会员服务
21+阅读 · 2020年1月28日
【斯坦福 Chris Manning 新课】CS224n:自然语言处理与深度学习,附课程PPT下载
专知会员服务
76+阅读 · 2020年1月7日
8本机器学习宝典!2022新年荐书!最值得一读的8部机器学习教程(PDF下载)
专知
5+阅读 · 2022年1月11日
Yann LeCun主讲,纽约大学《深度学习》2021春季课程放出,免费可看
机器之心
2+阅读 · 2021年11月16日
纽约大学《深度学习》2021课程全部放出,LeCun主讲!
机器学习与推荐算法
2+阅读 · 2021年11月16日
Yann LeCun主讲!纽约大学《深度学习》2021课程全部放出,附slides与视频
专知
1+阅读 · 2021年11月15日
最新!Yann Lecun 纽约大学Spring2020深度学习课程,附66页PPT下载
专知
16+阅读 · 2020年1月28日
【图灵奖得主Yann Lecun最新演讲】基于能量的自监督学习,68页ppt,了解后深度学习发展趋势
专知
42+阅读 · 2019年11月25日
Yann LeCun都推荐的深度学习资料合集!
InfoQ
14+阅读 · 2019年7月7日
Yann LeCun推荐的Github深度学习入门教程,2天1500+星,含80个TensorFlow/PyTorch示例
专知
25+阅读 · 2019年6月7日
【干货】Yann Lecun自监督学习指南(附114页Slides全文)
GAN生成式对抗网络
94+阅读 · 2018年12月19日
不懂高数,所以我用这本书入门深度学习 | 在线阅读+配套笔记
量子位
18+阅读 · 2018年7月16日
一类非线性分数量子方程研究
国家自然科学基金
0+阅读 · 2015年12月31日
自然条件下酿酒葡萄病害检测方法的研究
国家自然科学基金
1+阅读 · 2014年12月31日
森林资源遥感监测波段窗口研究
国家自然科学基金
0+阅读 · 2012年12月31日
基于稀疏编码模型的深层学习神经网络
国家自然科学基金
7+阅读 · 2012年12月31日
紫花苜蓿重要产量和品质性状全基因组关联分析
国家自然科学基金
0+阅读 · 2012年12月31日
镁和镁合金的晶界内耗研究
国家自然科学基金
0+阅读 · 2012年12月31日
4D特种电影“#19977;叠纪海怪”
国家自然科学基金
0+阅读 · 2011年12月31日
面向并发的自动化代码重构技术研究
国家自然科学基金
0+阅读 · 2009年12月31日
面向动漫游戏的虚拟角色自主情绪模型研究
国家自然科学基金
0+阅读 · 2009年12月31日
TRPV1介导的神经肽释放在心肌梗死后炎症和凋亡中的调节作用
国家自然科学基金
0+阅读 · 2009年12月31日
Understanding Longitudinal Behaviors of Toxic Accounts on Reddit
Arxiv
0+阅读 · 2022年9月6日
"Mama Always Had a Way of Explaining Things So I Could Understand'': A Dialogue Corpus for Learning to Construct Explanations
Arxiv
0+阅读 · 2022年9月6日
Top-label calibration and multiclass-to-binary reductions
Arxiv
0+阅读 · 2022年9月2日
An Entropy Clustering Approach for Assessing Visual Question Difficulty
Arxiv
0+阅读 · 2022年9月2日
Existence and Construction of LCD codes over Finite Fields
Arxiv
0+阅读 · 2022年9月2日
Moments, Concentration, and Entropy of Log-Concave Distributions
Arxiv
0+阅读 · 2022年9月1日
Predict stock prices with ARIMA and LSTM
Arxiv
0+阅读 · 2022年8月31日
An Introduction to Autoencoders
Arxiv
17+阅读 · 2022年1月11日
Notes on Deep Learning for NLP
Arxiv
22+阅读 · 2018年8月30日
Deep contextualized word representations
Arxiv
10+阅读 · 2018年3月22日
VIP会员
自助开通(推荐)
客服开通
详情
相关主题
课程
Yann LeCun
自监督学习
深度学习
监督学习
不确定
最新内容
【牛津博士论文】以语言为接口的医学影像表示学习
专知会员服务
0+阅读 · 今天16:11
基于大语言模型的医疗推理研究:综述与 MR-Bench 基准测试
专知会员服务
0+阅读 · 今天16:09
从原型到实战:扩展美陆军下一代指挥控制能力(试验进展)
专知会员服务
3+阅读 · 今天15:10
技术、多域威慑与海上战争(报告)
专知会员服务
3+阅读 · 今天15:04
随机网络效用最大化在战略排队系统中的博弈论方法
专知会员服务
2+阅读 · 今天14:56
“在云端防御”:提升北约数据韧性(报告)
专知会员服务
2+阅读 · 今天14:54
从炒作到现实:人工智能在军事应用中的实战经验与建议(综述)
专知会员服务
2+阅读 · 今天14:49
2026年伊朗战争对美国通胀的影响:情景分析(报告)
专知会员服务
1+阅读 · 今天14:47
人工智能及其在海军行动中的整合(综述)
专知会员服务
2+阅读 · 今天14:07
美以伊冲突:无人机主导的第三次海湾战争反防空作战
专知会员服务
1+阅读 · 今天13:56
多模态XR-AI训练系统提升联合作战中的沟通技能(中文万字长文)
专知会员服务
3+阅读 · 今天13:40
美军MAVEN项目全面解析:算法战架构
专知会员服务
16+阅读 · 今天8:36
从俄乌战场看“马赛克战”(万字长文)
专知会员服务
10+阅读 · 今天8:19
人工智能与机器人自主系统等新兴技术革命将如何影响地面作战的指挥控制?
专知会员服务
10+阅读 · 4月12日
弹性指挥控制:北约、伊朗与俄罗斯指挥控制架构的比较分析
专知会员服务
9+阅读 · 4月12日
相关VIP内容
《从机器学习到自主智能》,图灵奖得主Yann LeCun最新报告,附192页ppt与视频
专知会员服务
66+阅读 · 2022年8月2日
自主机器智能!图灵奖得主Yann LeCun指明下一代AI方向
专知会员服务
54+阅读 · 2022年6月29日
图灵奖获得者Yann LeCun:最新《自主人工智能之路》报告,附70页ppt
专知会员服务
63+阅读 · 2022年2月26日
2022新年荐书!最值得一读的8部机器学习教程(PDF下载)
专知会员服务
114+阅读 · 2022年1月11日
Yann LeCun主讲!纽约大学《深度学习》2021课程全部放出,附slides与视频
专知会员服务
48+阅读 · 2021年11月15日
UC伯克利最新深度学习课程上线,强化学习大牛Sergey Levine授课(B站可看)
专知会员服务
33+阅读 · 2021年3月21日
斯坦福大学经典《自然语言处理cs224n》2020课件合集
专知会员服务
97+阅读 · 2020年5月25日
Yann Lecun 纽约大学《深度学习(PyTorch)》课程(2020)PPT
专知会员服务
184+阅读 · 2020年3月16日
最新!Yann Lecun 纽约大学Spring2020深度学习课程,附PPT下载
专知会员服务
21+阅读 · 2020年1月28日
【斯坦福 Chris Manning 新课】CS224n:自然语言处理与深度学习,附课程PPT下载
专知会员服务
76+阅读 · 2020年1月7日
热门VIP内容
开通专知VIP会员 享更多权益服务
基于大语言模型的医疗推理研究:综述与 MR-Bench 基准测试
技术、多域威慑与海上战争(报告)
【牛津博士论文】以语言为接口的医学影像表示学习
从原型到实战:扩展美陆军下一代指挥控制能力(试验进展)
相关资讯
8本机器学习宝典!2022新年荐书!最值得一读的8部机器学习教程(PDF下载)
专知
5+阅读 · 2022年1月11日
Yann LeCun主讲,纽约大学《深度学习》2021春季课程放出,免费可看
机器之心
2+阅读 · 2021年11月16日
纽约大学《深度学习》2021课程全部放出,LeCun主讲!
机器学习与推荐算法
2+阅读 · 2021年11月16日
Yann LeCun主讲!纽约大学《深度学习》2021课程全部放出,附slides与视频
专知
1+阅读 · 2021年11月15日
最新!Yann Lecun 纽约大学Spring2020深度学习课程,附66页PPT下载
专知
16+阅读 · 2020年1月28日
【图灵奖得主Yann Lecun最新演讲】基于能量的自监督学习,68页ppt,了解后深度学习发展趋势
专知
42+阅读 · 2019年11月25日
Yann LeCun都推荐的深度学习资料合集!
InfoQ
14+阅读 · 2019年7月7日
Yann LeCun推荐的Github深度学习入门教程,2天1500+星,含80个TensorFlow/PyTorch示例
专知
25+阅读 · 2019年6月7日
【干货】Yann Lecun自监督学习指南(附114页Slides全文)
GAN生成式对抗网络
94+阅读 · 2018年12月19日
不懂高数,所以我用这本书入门深度学习 | 在线阅读+配套笔记
量子位
18+阅读 · 2018年7月16日
相关基金
一类非线性分数量子方程研究
国家自然科学基金
0+阅读 · 2015年12月31日
自然条件下酿酒葡萄病害检测方法的研究
国家自然科学基金
1+阅读 · 2014年12月31日
森林资源遥感监测波段窗口研究
国家自然科学基金
0+阅读 · 2012年12月31日
基于稀疏编码模型的深层学习神经网络
国家自然科学基金
7+阅读 · 2012年12月31日
紫花苜蓿重要产量和品质性状全基因组关联分析
国家自然科学基金
0+阅读 · 2012年12月31日
镁和镁合金的晶界内耗研究
国家自然科学基金
0+阅读 · 2012年12月31日
4D特种电影“#19977;叠纪海怪”
国家自然科学基金
0+阅读 · 2011年12月31日
面向并发的自动化代码重构技术研究
国家自然科学基金
0+阅读 · 2009年12月31日
面向动漫游戏的虚拟角色自主情绪模型研究
国家自然科学基金
0+阅读 · 2009年12月31日
TRPV1介导的神经肽释放在心肌梗死后炎症和凋亡中的调节作用
国家自然科学基金
0+阅读 · 2009年12月31日
相关论文
Understanding Longitudinal Behaviors of Toxic Accounts on Reddit
Arxiv
0+阅读 · 2022年9月6日
"Mama Always Had a Way of Explaining Things So I Could Understand'': A Dialogue Corpus for Learning to Construct Explanations
Arxiv
0+阅读 · 2022年9月6日
Top-label calibration and multiclass-to-binary reductions
Arxiv
0+阅读 · 2022年9月2日
An Entropy Clustering Approach for Assessing Visual Question Difficulty
Arxiv
0+阅读 · 2022年9月2日
Existence and Construction of LCD codes over Finite Fields
Arxiv
0+阅读 · 2022年9月2日
Moments, Concentration, and Entropy of Log-Concave Distributions
Arxiv
0+阅读 · 2022年9月1日
Predict stock prices with ARIMA and LSTM
Arxiv
0+阅读 · 2022年8月31日
An Introduction to Autoencoders
Arxiv
17+阅读 · 2022年1月11日
Notes on Deep Learning for NLP
Arxiv
22+阅读 · 2018年8月30日
Deep contextualized word representations
Arxiv
10+阅读 · 2018年3月22日
大家都在搜
maven
palantir
无人机系统
无人机蜂群
伊朗战争
分布式事务
雷鸟科技
对抗特征转移
terraform
GitHub上已超过
Top
提示
微信扫码
咨询专知VIP会员与技术项目合作
(加微信请备注: "专知")
微信扫码咨询专知VIP会员
Top