论文浅尝 | TuckER:基于张量分解的知识图谱补全

2019 年 3 月 17 日 开放知识图谱

 

笔记整理:孙泽群,南京大学计算机科学与技术系,博士研究生。




论文链接:https://arxiv.org/abs/1901.09590

 

背景

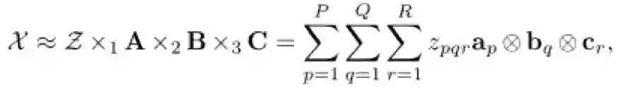
知识图谱是图结构的数据库,以三元组(es, r, eo)的形式存储事实,其中eseo分别表示主语和宾语实体,r表示它们之间的关系。然而,知识图谱中的事实是不完备的,人工补全费时费力,这就需要开发自动化补全知识图谱的算法。知识图谱可以表示为一个三阶二值张量,其中每一个元素表示一个三元组,1表示真实三元组,0表示未知三元组(或错误或丢失)。因此,很多基于张量分解的补全模型被提出。本文基于Tucker decomposition, 它可以将一个三阶张量分解为一个核心张量每一维度乘上一个矩阵。令是一个三阶张量,Tucker decomposition 会产生一个核心张量和三个矩阵。其计算公式如下:


其中,表示沿着第n维的张量乘法,表示向量内积。

 

模型

根据 Tucker decomposition 的计算方式,TuckER模型可以表示如下:



其中,es eo 表示实体向量,wr 表示关系向量,dedr 分别表示实体和关系的向量维数,WTucker decomposition得到的核心张量。则TuckER的得分函数定义如下:



为了得到概率分布,作者又在该得分函数外面套了一个 sigmoid 函数。关于训练,作者没有使用传统的 margin-based 损失函数,而是使用了 log 似然损失函数:



其中,p 表示预测三元组真假的概率,y 是标签。

 

理论分析

            本文的亮点在于它的理论分析证明了 TuckER 有完全表现力:给定任意在实体集E和关系集R上的真实三元组(ground truth),TuckERde=ne, dr=nr 的时候(ne 表示实体数量,nr 表示关系数量),可以完全表示这些ground truth三元组。证明过程很简单,作者给了一个启发式的解:让实体和关系向量取one-hot形式,然后让核心张量W的维数是 ne* nr* ne 和原始的三阶张量相等,并且,如果其中一个元素对应的三元组是 ground truth,则置其为 1,否则置为 0。根据得分函数的定义,这种情况下计算得到的预测概率,正好可以准确表示真实概率。这个达到完全表现力的维度下界是远小于ComplExSimplE的,体现了 TuckER 的优越性。此外作者还分析了TuckER和之前一些张量分解模型的关系,证明了 RESCALDistMultComplEx SimplE 都是 TuckER 的一种变体。

 

实验结果

本文的主要实验任务是 link prediction。数据集采用了当前流行的 FB15K-237 WN18RR,同时也测试了传统的 FB15K WN18。作者开源了基于 PyTorch 的代码https://github.com/ibalazevic/TuckER。实验结果如下表所示。可以看见,在目前主流的FB15K-237 WN18RR 数据集上,TuckER 取得了 SOTA 的效果,并且比第二名领先较多。而在传统的 FB15K WN18 上面,TuckER 在主要指标上,也取得了最优结果。基本可以认为,TuckER 是当前 link predictionSOTA 模型。




OpenKG


开放知识图谱(简称 OpenKG)旨在促进中文知识图谱数据的开放与互联,促进知识图谱和语义技术的普及和广泛应用。

点击阅读原文,进入 OpenKG 博客。

登录查看更多
35

相关内容

【SIGIR2020-微软】知识图谱上的增强推荐推理
专知会员服务
77+阅读 · 2020年5月30日
【ICLR2020-Facebook AI】张量分解的时序知识图谱补全
专知会员服务
60+阅读 · 2020年4月14日
【斯坦福大学-论文】实体上下文关系路径的知识图谱补全
【AAAI2020知识图谱论文概述】Knowledge Graphs @ AAAI 2020
专知会员服务
134+阅读 · 2020年2月13日
17篇知识图谱Knowledge Graphs论文 @AAAI2020
专知会员服务
173+阅读 · 2020年2月13日
论文浅尝 | 重新实验评估知识图谱补全方法
开放知识图谱
28+阅读 · 2020年3月29日
ACL 2019开源论文 | 基于Attention的知识图谱关系预测
论文浅尝 | 基于知识图谱中图卷积神经网络的推荐系统
开放知识图谱
67+阅读 · 2019年8月27日
论文浅尝 | 用于知识图中链接预测的嵌入方法 SimplE
开放知识图谱
24+阅读 · 2019年4月3日
论文浅尝 | 基于知识库的类型实体和关系的联合抽取
开放知识图谱
35+阅读 · 2018年12月9日
论文浅尝 | 近期论文精选
开放知识图谱
5+阅读 · 2018年7月8日
论文浅尝 | 用可微的逻辑规则学习完成知识库推理
开放知识图谱
14+阅读 · 2018年7月5日
论文浅尝 | 基于开放世界的知识图谱补全
开放知识图谱
11+阅读 · 2018年7月3日
Knowledge Distillation from Internal Representations
Arxiv
4+阅读 · 2019年10月8日
Arxiv
7+阅读 · 2018年8月28日
Arxiv
4+阅读 · 2017年10月30日
VIP会员
最新内容
美军MAVEN项目全面解析:算法战架构
专知会员服务
11+阅读 · 今天8:36
从俄乌战场看“马赛克战”(万字长文)
专知会员服务
7+阅读 · 今天8:19
最新“指挥控制”领域出版物合集(16份)
专知会员服务
13+阅读 · 4月12日
面向军事作战需求开发的人工智能(RAIMOND)
专知会员服务
19+阅读 · 4月12日
远程空中优势:新一代超视距导弹的兴起
专知会员服务
4+阅读 · 4月12日
大语言模型溯因推理的统一分类学与综述
专知会员服务
6+阅读 · 4月12日
相关资讯
论文浅尝 | 重新实验评估知识图谱补全方法
开放知识图谱
28+阅读 · 2020年3月29日
ACL 2019开源论文 | 基于Attention的知识图谱关系预测
论文浅尝 | 基于知识图谱中图卷积神经网络的推荐系统
开放知识图谱
67+阅读 · 2019年8月27日
论文浅尝 | 用于知识图中链接预测的嵌入方法 SimplE
开放知识图谱
24+阅读 · 2019年4月3日
论文浅尝 | 基于知识库的类型实体和关系的联合抽取
开放知识图谱
35+阅读 · 2018年12月9日
论文浅尝 | 近期论文精选
开放知识图谱
5+阅读 · 2018年7月8日
论文浅尝 | 用可微的逻辑规则学习完成知识库推理
开放知识图谱
14+阅读 · 2018年7月5日
论文浅尝 | 基于开放世界的知识图谱补全
开放知识图谱
11+阅读 · 2018年7月3日
Top
微信扫码咨询专知VIP会员