谷歌P图神器来了!不用学不用教,输入一句话,分分钟给结果

2022 年 11 月 6 日 量子位
Pine 发自 凹非寺
量子位 | 公众号 QbitAI

当你拍照片时,“模特不好好配合”怎么办?

没事!现在只用一句话就能后期P图了,还是能改变动作、表情的那种!

比如说你能轻松让鸟张开翅膀(输入“张开翅膀的鸟”即可)

又或者说,想要让一只站立的狗蹲下:

看起来还真不赖!而这个新的“P图”方法呢,名叫Imagic,是基于爆火的扩散模型(Diffusion Model)来实现的。

是的,又是扩散模型,它的能耐想必也不用多介绍了吧(那看那铺天盖地和它相关的论文就能佐证)

那在扩散模型加持下的Imagic到底有何厉害之处,话不多说,一起来看看吧!

多达6种功能

据不完全统计,Imagic的功能就有6种

改变姿势、变换构图、切换滤镜、多个对象编辑、添加对象、更改颜色……

先来看看这个P图神器改变姿势的效果,比如说输入一条站立的狗,通过变换提示文字,得到的效果是酱紫的~

或者说输入一个随意站立的人,输入口令,他就“乖乖听话,任你摆布”(手动狗头)了,甚至还能凭空出现一个水杯。

还没看够?那再来康康Imagic其他功能:改变颜色,或者增加对象,也可以多种功能同时使用。

总的来说,Imagic的厉害之处太多,这里就不一一详细展开了,效果可以看下图。

除了这么多功能之外,Imagic还有另外一个比较人性化的点,就是当你告诉它要如何“P图”后,它会随机生成几个不同的选项供你选择。

其实这种在真实图像上编辑的模型Imagic不是第一个,在此之前就已经有很多个类似的模型。

这时就会有网友问了,“Imagic有什么厉害的点呢?”

话不多说,直接上效果对比。

这里选取了比较常见的基于真实图像编辑的两个模型:SDEdit、Text2LIVE与Imagic作对比。

结果很显然,Imagic完成“P图指令”的效果很好,在细节上也丝毫不逊色其他模型。

(确实妙啊)

那Imagic是如何“击败”SDEdit、Text2LIVE,实现这样的效果呢?

是怎样实现的

千言万语汇成四个字:扩散模型,在论文的标题上它都赫然在列。

具体到Imagic中,扩散模型的作用是如何发挥出来的,来看看详细的“P图”过程。

整体来说分为三大步。

第一步是优化文本嵌入层。

具体来说,先给定输入的图像和目标文本,然后对目标文本进行编码,得到初始的嵌入层。

然后不断调整初始嵌入层,让其能够通过预先训练的扩散模型很好地重建输入图像。

这样一来,最终便会得到优化后的嵌入层(能够很好地重建输入图像)

第二步是对扩散模型进行微调,这时就要用到上一步已经优化之后的嵌入层,让嵌入层经过模型后重建输入图像。

在重建的过程,需要不断更改模型中损失函数的参数,以让模型适应优化后的输入层,直到能够很好地重建输入图像时为止,这样一来便得到了微调之后的模型。

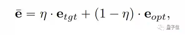
第三步就要开始正式P图了。

值得一提的是,这一步除了输入初始的目标嵌入层(tgt)外,还会插入优化好的嵌入层(opt),它们的关系如下图。

通过变换参数,实际的效果如下图。

如果你想更加详细地了解Imagic,可以戳文末链接阅读论文原文。

研究团队

Imagic的六位作者均来自Google Research,论文有两位第一作者:Bahjat Kawar和Shiran Zada,均来自以色列。

值得一提的是,Bahjat Kawar还是一位以色列理工学院在读博士,他是在Google Research实习期间完成了这项研究。

而Shiran Zada今年5月刚加入Google Research,目前是计算机视觉研究员。

他曾在微软担任软件工程师以及技术主管的职务,主要负责网络安全相关的项目开发。

参考链接:
[1]
https://arxiv.org/abs/2210.09276
[2]https://twitter.com/Buntworthy/status/1582307817884889088
[3]https://github.com/justinpinkney/stable-diffusion/blob/main/notebooks/imagic.ipynb


MEET 2023 大会启动

邀你共论智能产业穿越周期之道

今年12月,MEET2023智能未来大会将再度邀请智能科技产业、科研、投资领域大咖嘉宾,共同探讨人工智能行业破局之道。

欢迎智能科技企业参会,分享突破性成果,交流时代级变革,共襄盛会!点击链接或下方图片查看大会详情:

量子位「MEET 2023智能未来大会」启动,邀你共论智能产业穿越周期之道


点这里关注我 👇 记得标星噢 ~


一键三连「分享」、「点赞」和「在看」

科技前沿进展日日相见 ~ 


登录查看更多
0

相关内容

扩散模型是近年来快速发展并得到广泛关注的生成模型。它通过一系列的加噪和去噪过程,在复杂的图像分布和高斯分布之间建立联系,使得模型最终能将随机采样的高斯噪声逐步去噪得到一张图像。
基于预训练语言模型的文本生成
专知会员服务
29+阅读 · 2022年1月28日
Google-EfficientNet v2来了!更快,更小,更强!
专知会员服务
19+阅读 · 2021年4月4日
【ACM MM2020】对偶注意力GAN语义图像合成
专知会员服务
36+阅读 · 2020年9月2日
【ICML2020】统一预训练伪掩码语言模型
专知会员服务
27+阅读 · 2020年7月23日
千万别让富坚义博看到这个
量子位
0+阅读 · 2022年7月22日
二次元萌妹在电车上顺拐啾咪为哪般?
量子位
0+阅读 · 2022年2月20日
3D模型“换皮肤”有多简单?也就一句话的事
量子位
0+阅读 · 2021年12月29日
AI也可以脑补画面了吗?
阿里技术
0+阅读 · 2021年12月5日
国家自然科学基金
7+阅读 · 2015年12月31日
国家自然科学基金
0+阅读 · 2013年12月31日
国家自然科学基金
0+阅读 · 2013年12月31日
国家自然科学基金
0+阅读 · 2013年12月31日
国家自然科学基金
0+阅读 · 2013年12月31日
国家自然科学基金
0+阅读 · 2012年12月31日
国家自然科学基金
0+阅读 · 2012年12月31日
国家自然科学基金
0+阅读 · 2011年12月31日
国家自然科学基金
0+阅读 · 2009年12月31日
已删除
Arxiv
33+阅读 · 2020年3月23日
Talking-Heads Attention
Arxiv
15+阅读 · 2020年3月5日
Arxiv
14+阅读 · 2020年1月27日
Arxiv
15+阅读 · 2019年3月16日
VIP会员
最新内容
BES:让语言模型通过双向进化搜索自我改进
专知会员服务
3+阅读 · 5月30日
以色列-美国-伊朗战争中的无人机:关键要点
专知会员服务
4+阅读 · 5月30日
《Palantir任务保障性软件安全标准(MA-S2)》
专知会员服务
10+阅读 · 5月30日
基于声学的无人机检测技术综述
专知会员服务
8+阅读 · 5月30日
《当代混合战争分析框架:俄乌战争经验教训》
战略前沿人工智能的再思考(中文)
专知会员服务
8+阅读 · 5月29日
《量化地基防空系统间接效应的博弈论方法》
专知会员服务
6+阅读 · 5月29日
相关基金
国家自然科学基金
7+阅读 · 2015年12月31日
国家自然科学基金
0+阅读 · 2013年12月31日
国家自然科学基金
0+阅读 · 2013年12月31日
国家自然科学基金
0+阅读 · 2013年12月31日
国家自然科学基金
0+阅读 · 2013年12月31日
国家自然科学基金
0+阅读 · 2012年12月31日
国家自然科学基金
0+阅读 · 2012年12月31日
国家自然科学基金
0+阅读 · 2011年12月31日
国家自然科学基金
0+阅读 · 2009年12月31日
相关论文
已删除
Arxiv
33+阅读 · 2020年3月23日
Talking-Heads Attention
Arxiv
15+阅读 · 2020年3月5日
Arxiv
14+阅读 · 2020年1月27日
Arxiv
15+阅读 · 2019年3月16日
Top
微信扫码咨询专知VIP会员