微软与清华大学联合提出DeepRSM模型,以AI助力空气污染治理

2020 年 7 月 15 日 微软研究院AI头条



编者按:人工智能如何帮助环境学家解决空气污染问题?在7月10日 WAIC 2020“人工智能予力永续未来”微软论坛上,微软亚洲研究院副院长刘铁岩博士展示了微软在这一领域的工作


控制和减少污染物排放是治理空气污染的重要手段,精准的排放-污染物浓度响应曲面可以帮助决策者快速找到效果更好的减排方案。但传统排放-污染物浓度响应曲面需要依赖 CTM 模型进行模拟,其存在计算量庞大、运行耗时耗力、时效性低等问题。对此,微软亚洲研究院与清华大学联合提出 DeepRSM 模型,能够精细地刻画空气污染物浓度,帮助决策者快速找到减排效果更好、成本更低的方案。该研究发表在环境科学顶级期刊《环境科学与技术》上 [1]。


过去数十年来,随着人类工业、农业水平的飞速进步以及人口数量的稳步增长,人类活动所产生的有害气体造成了严重的空气污染,危害着人类的健康。除了引发肺部疾病、人体不适以外,有研究表明,在过去25年间,空气污染在所有环境问题中致死率排名第一 [2]。



对于空气污染的治理,控制和减少污染物的排放是非常重要的手段,具体措施包括工厂停工、机动车限行、居民限煤等等。然而,大气污染治理过程中常会面临的一个棘手问题,即无法从单纯的减排量来推导其与空气质量之间的关系,因为多种反应物气体在空气中的排放、在大气中发生反应并最终生成污染物的化学过程是非常复杂的非线性过程。


刻画排放量和污染物浓度关系


环境学家为此开发了复杂的数值模型(CTM来对排放量和最终空气中污染物浓度(空气质量)之间的关系进行刻画。其基本原理是利用数值函数模拟大气污染物生成的整个化学反应过程,同时结合光照、地理、气象等信息,模拟出最终空气中的污染物浓度含量。


大气化学传输模型(CTM)


尽管 CTM 模型可以很好地模拟排放量到空气质量之间的关系,然而只对某一个减排方案进行精准模拟是远远不够的。对于决策者来说,最重要的是快速找到减排效果最好、代价最小的减排方案,因此,获得一个细粒度、高精度的排放-污染物浓度响应曲面(RSM, response surface model是非常必要的。常见的方法是使用多项式函数近似响应曲面(pfRSM, polynomial function RSM,随机采样多次不同的减排方案(对应不同污染物的不同减排量),分别使用 CTM 模型对空气质量进行模拟,得到响应曲面上的不同减排方案对应的空气质量,然后使用最小二乘法或插值法来估计多项式函数的系数,其算法复杂度为 O(N),其中 N 为采样次数。


CTM 对随机采样多次不同的减排方案进行模拟


然而 CTM 模型的计算量庞大(求解偏微分方程进行时间维度的连续积分,耗时耗力,完成一次模拟往往需要使用超算集群运行1-2周才能完成,因此时效性也很差。更重要的是,有害气体排放的种类可能多达十余种甚至更多,因此往往需要采样非常多不同的减排方案并使用 CTM 模型进行模拟,才能对响应曲面有一个较准确的近似,而这往往是实际决策时所不能承受的。


DeepRSM 更精细地刻画
“排放-污染物浓度”关系,
并大幅降低成本


人工智能是如何帮助环境学家解决这个问题的?


近日,微软亚洲研究院与清华大学的研究员们合作在环境科学顶级期刊《环境科学与技术》(Environmental  Science & Technology上发表题为“Deep Learning for Prediction of the Air Quality Response to Emission Changes”的论文,提出 DeepRSM 模型,详细阐述了如何使用人工智能帮助环境学家在 O(1) 的复杂度下完成更精准的细粒度响应曲线拟合,并将单次拟合成本降低90%以上


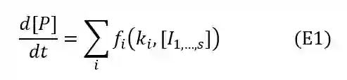
首先,如果将 CTM 模型中的一个网格视为黑箱模型,则污染物浓度随时间的变化率可以表示为:



其中 [P] 是污染物浓度(如 PM2.5 或 O3; f_i 是描述对污染物浓度有贡献的过程 i (如传输、化学反应、沉降等数值方程;k_i 是地理与气象相关的变量,而 [I_s] 表示空气中反应物的浓度。将排放的有害气体中会发生反应并产生污染物的反应物分离为独立变量,其浓度与排放量 E_p 成正比,因此可以将 E1 表示为:



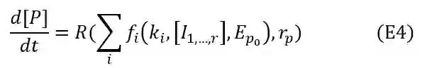
数值模型 CTM 中包含着环境学家对大量复杂反应过程的刻画,简单地使用人工智能算法对其逼近,精度无法得到保障。因此我们希望可以将 E2 进一步拆分,令人工智能算法避开对复杂化学反应过程的近似。排放量 E_p 可以进一步表示为未减排的排放量 E_(p_0) 乘以一个减排系数 r_p。



当外界条件不发生改变时,化学反应会达到平衡,此时生成物(污染物)的浓度只与反应物的浓度相关。此时,可以简单地使用一个关系函数 R(⋅) 来表示反应物与生成物、外界条件之间的关系。我们将 E3 进一步拆分:



在 E4 中,我们仍然保留 CTM 数值模型对未减排场景 E_(p_0) 的模拟,并且使用深度学习模型来刻画关系函数 R(⋅)。因为 R(⋅) 中不涉及任何复杂的化学反应过程,而只关心响应曲面上各个点之间的关系,因此深度学习模型可以得到非常低的近似误差。


DeepRSM 采用的深度学习模型


研究人员使用了四个不同尺度和区域的空气质量响应曲面数据进行验证,包括中国全境、华北平原、汾渭平原以及川渝平原。在四个数据集上,DeepRSM 对响应曲面的拟合准确度都取得了显著优于前人方法的效果,并且对所需采样次数和数值模拟成本均减少90%以上。


DeepRSM 在四个不同数据集上进行验证


除了使用人工智能帮助治理自然环境污染,微软也高度关注人类可持续发展中的诸多重要议题,探索 AI 技术在节能减排、医疗卫生、智能城市建设等多个领域中的应用,持续以最新技术推动可持续发展。



参考文献


[1] Xing J, Zheng S, Ding D, et al. Deep learning for prediction of the air quality response to emission changes[J]. Environmental Science & Technology, 2020.

[2] Cohen A J, Brauer M, Burnett R, et al. Estimates and 25-year trends of the global burden of disease attributable to ambient air pollution: an analysis of data from the Global Burden of Diseases Study 2015[J]. The Lancet, 2017, 389(10082): 1907-1918.


本文作者:邢佳、郑书新、秦涛、刘铁岩





你也许还想看



登录查看更多
0

相关内容

专知会员服务
30+阅读 · 2020年7月31日
大规模时间序列分析框架的研究与实现,计算机学报
专知会员服务
59+阅读 · 2020年7月13日
COVID-19文献知识图谱构建,UIUC-哥伦比亚大学
专知会员服务
43+阅读 · 2020年7月2日
【SIGIR2020-微软】知识图谱上的增强推荐推理
专知会员服务
77+阅读 · 2020年5月30日
计算机视觉用于新冠病毒COVID-19的控制综述,25页pdf
专知会员服务
53+阅读 · 2020年4月22日
自动驾驶技术解读——自动驾驶汽车决策控制系统
智能交通技术
30+阅读 · 2019年7月7日
【APS】PCB企业如何实现APS自动排程系统
产业智能官
13+阅读 · 2018年9月24日
量子世界的因果关系
中国物理学会期刊网
9+阅读 · 2017年8月5日
Fast AutoAugment
Arxiv
5+阅读 · 2019年5月1日
Arxiv
8+阅读 · 2018年11月27日
Arxiv
3+阅读 · 2018年3月5日
Arxiv
3+阅读 · 2018年1月31日
Arxiv
5+阅读 · 2017年11月13日
VIP会员
最新内容
《系统簇式多域作战规划范畴论框架》
专知会员服务
2+阅读 · 4月20日
高效视频扩散模型:进展与挑战
专知会员服务
0+阅读 · 4月20日
乌克兰前线的五项创新
专知会员服务
6+阅读 · 4月20日
 军事通信系统与设备的技术演进综述
专知会员服务
4+阅读 · 4月20日
《北约标准:医疗评估手册》174页
专知会员服务
4+阅读 · 4月20日
《提升生成模型的安全性与保障》博士论文
专知会员服务
4+阅读 · 4月20日
美国当前高超音速导弹发展概述
专知会员服务
4+阅读 · 4月19日
无人机蜂群建模与仿真方法
专知会员服务
14+阅读 · 4月19日
相关VIP内容
专知会员服务
30+阅读 · 2020年7月31日
大规模时间序列分析框架的研究与实现,计算机学报
专知会员服务
59+阅读 · 2020年7月13日
COVID-19文献知识图谱构建,UIUC-哥伦比亚大学
专知会员服务
43+阅读 · 2020年7月2日
【SIGIR2020-微软】知识图谱上的增强推荐推理
专知会员服务
77+阅读 · 2020年5月30日
计算机视觉用于新冠病毒COVID-19的控制综述,25页pdf
专知会员服务
53+阅读 · 2020年4月22日
相关论文
Fast AutoAugment
Arxiv
5+阅读 · 2019年5月1日
Arxiv
8+阅读 · 2018年11月27日
Arxiv
3+阅读 · 2018年3月5日
Arxiv
3+阅读 · 2018年1月31日
Arxiv
5+阅读 · 2017年11月13日
Top
微信扫码咨询专知VIP会员