优于GAN、带上口罩都能还原,用去噪扩散概率模型极限修复图像,效果「真」极了

2022 年 1 月 26 日 机器之心
机器之心报道
编辑:杜伟、陈萍
无论掩码类型如何多变,苏黎世联邦理工学院计算机视觉实验室(CVL)的图像修复方法都能还原出逼真的图像。

图像修复旨在填充图像中的缺失区域,被修复区域需要与图像的其余部分协调一致,并且在语义上是合理的。为此,图像修复方法需要强大的生成能力,目前的修复方法依赖于 GAN 或自回归建模。

近日,来自苏黎世联邦理工学院计算机视觉实验室(CVL)的研究者提出了 RePaint,这是一种基于 DDPM(Denoising Diffusion Probabilistic Model,去噪扩散概率模型)的修复方法,该方法还可以适用于极端情况下的蒙版。


  • 论文地址:https://arxiv.org/pdf/2201.09865.pdf

  • 代码连接:https://github.com/andreas128/RePaint


它的修复效果是这样的,RePaint 使用扩散模型填充缺失的图像部分:下面示例中,蓝色部分是图像缺失部分,也就是需要 RePaint 修复的部分,RePaint 会根据已知的部分生成缺失的部分。它的修复过程是这样的:首先从纯粹的噪音开始,然后对图像逐级降噪,中间的每一步使用图像已知部分来填充未知部分。


RePaint 还能重新绘制不同内容和形状的缺失区域,创建许多有意义的填充物。如面部表情和特征,如耳环或痣:


RePaint 在极端情况下修复质量也比较好:输入图像的每隔一行(例如只留下高度和宽度维度上 stride= 2 的像素)都是未知的,大多数修复方法都失败了,但是 RePaint 可以很好的进行修复:


上述图像修复过程采用预训练的无条件 DDPM 作为生成先验。为了调节生成过程,该研究仅通过使用给定的图像信息对未掩码区域进行采样来改变反向扩散迭代。由于该技术不会修改或调节原始 DDPM 网络本身,因此该模型可以为任何修复形式生成高质量和多样化的输出图像。

在实验部分,该研究使用标准和极端蒙版验证了面部和通用图像修复方法。RePaint 在六种掩码分布中至少有五种优于 SOTA 自回归和 GAN 方法。

预备知识:去噪扩散概率模型(DDPM)

研究者使用扩散模型作为生成模型。与其他生成模型一样,DDPM 学习给定训练集中图像的分布。在推理过程中,首先采样一个随机噪声向量 x_T 并逐步对其进行去噪,直到它生成高质量输出图像 x_0。在训练过程中,DDPM 方法定义一个扩散过程,从而在 T 个时间步内将图像 x_0 转换为高斯白噪声(white Gaussian noise) x_T ∼ N (0, 1)。前向中的每一步如下公式 (1) 所示:


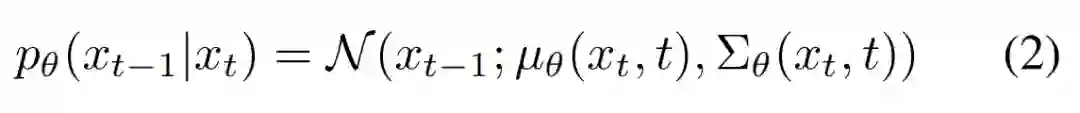
训练 DDPM 以反转公式 (1) 中的过程。反转过程通过一个「预测高斯分布参数 µ_θ(x_t, t)和Σ_θ(x_t, t)」的神经网络进行建模。具体如下公式 (2) 所示:


公式 (2) 中模型的学习目标通过变分下界(variational lower bound)得到,具体如下公式 (3) 所示:


根据 Jonathan Ho 等人在论文《Denoising Diffusion Probabilistic Models》中的扩展,损失(loss)可以进一步分解为如下公式 (4) 所示:


在 Jonathan Ho 等人的这篇论文中,他们认为参数化模型的最佳方法是对添加到当前中间图像 x_t 的累积噪声ϵ_0 预测。如下公式 (5) 所示,研究者对预测的平均值 µ_θ(x_t, t)进行参数化表示。


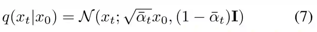
为了训练 DDPM,研究者需要一个样本 x_t 以及相应的用于将 x_0 转换为 x_t 的噪声。最后,他们可以对公式 (1) 进行重写,作为一个单步执行,具体如下公式 (7) 所示


方法

已知区域的条件作用

图像修复的目标是,通过将掩码区域用作条件,预测一个图像的缺失像素。如前所述,研究者在本文中使用了一个训练过的非条件去噪扩散概率模型。

由于前向过程通过添加的高斯噪声的马尔可夫链(Markov Chain)来定义,研究者可通过定义 (7) 在任意点上采样中间图像 x_t。这使得他们在任意时间步 t 采样已知区域 m⊙x_t。因此,通过公式 (2) 处理未知区域和公式 (7) 处理已知区域,研究者得到了如下所示的反转步(reverse step)的表达式。


因此,研究者使用给定图像 m⊙x_0 中的已知像素对 进行采样,同时在给定上次迭代 x_t 时, 模型中采样。

如下为使用 RePaint 方法进行图像修复的算法 1:


RePaint 方法的概览如下图 2 所示


重采样

当直接应用上述方法时,研究者观察到:只有内容类型(content type)与已知区域匹配。比如,在下图 3 中,当 n 为 1 时,图像修复的区域是与原始输入图像狗狗的皮毛相匹配的皮毛纹理。尽管图像修复的区域与邻近区域的纹理相匹配,但在语义上显然是不正确的。因此,虽然 DDPM 利用了已知区域的上下文,但它并没有很好地协调图像的其他部分。


由于 DDPM 被训练生成一个位于数据分布中的图像,它自然地想要生成一致性的结构。在研究者的重采样方法中,他们利用 DDPM 的这种特性来协调模型的输入。

实验结果

实验采用 V100 GPU,在 CelebA-HQ 和 Imagenet 数据集上进行了实验。表 1 中报告了定量结果,图 4 和图 5 中报告了视觉结果。

比较方法:该研究将 RePaint 与几种 SOTA 性能的基于自回归或基于 GAN 的方法进行比较。自回归方法包括 DSI 和 ICT,GAN 方法包括 DeepFillv2、AOT 和 LaMa。 

宽和窄蒙版(Wide and Narrow masks):为了在标准图像修复场景中验证 RePaint,该研究使用 LaMa 设置宽和窄蒙版。在 CelebA-HQ 和 ImageNet 中,对于 Wide 和 Narrow 设置,RePaint 以 95% 的显着性裕度(margin)优于所有其他方法。

厚蒙版:类似于最近邻超分辨率问题,「Super-Resolution 2×」蒙版只留下高度和宽度维度上 stride= 2 的像素,而「Alternating Lines」蒙版每隔一行删除图像中的像素。如图 4 和 5 所示,AOT 修复完全失败,而其他的要么产生模糊的图像,要么产生可见的伪影,或者两者兼而有之。RePaint 获得了 73.1% 到 99.3% 的用户投票(一种评估方法)。




图 1 展示了 RePaint 修复的多样性和灵活性。如面部修复(下图第一行),RePaint 可以修复人物表情和特征(如耳环或痣);RePaint 还能修复电脑屏幕显示的不同图像、文本、标志等。


为了分析增加的计算预算是否会提高重采样性能,该研究将其与第 4.2 节中描述的缓慢扩散过程中常用技术进行了比较。图 6 和表 2 中展示了对每个设置使用相同计算预算的重采样和缓慢扩散。该研究观察到重采样使用额外的计算预算来协调图像,而在缓慢扩散过程方面没有明显的改进。




新的一年你能有多「虎」
机器之心联合千寻位置
邀请大家一起来测虎力造北斗
元气满满迎新春
转发游戏结束后的虎力值海报到机器之心公众号后台
即有机会赢取限量版 「虎力全开」新年礼盒
截至2022年1月30日
赶紧扫码玩起来

© THE END 

转载请联系本公众号获得授权

投稿或寻求报道:[email protected]

登录查看更多
0

相关内容

【SIGGRAPH 2022】域增强的任意图像风格对比迁移方法
专知会员服务
26+阅读 · 2022年4月20日
【CVPR2022】基于渐进自蒸馏的鲁棒跨模态表示学习
专知会员服务
20+阅读 · 2022年4月13日
【NeurIPS 2021】基于潜在空间能量模型的可控和组分生成
专知会员服务
17+阅读 · 2021年10月23日
专知会员服务
22+阅读 · 2021年8月10日
专知会员服务
42+阅读 · 2021年7月4日
专知会员服务
39+阅读 · 2021年3月29日
自回归模型:PixelCNN
专知会员服务
29+阅读 · 2020年3月21日
生成式对抗网络GAN异常检测
专知会员服务
120+阅读 · 2019年10月13日
用扩散模型生成高保真度图像
TensorFlow
1+阅读 · 2021年8月17日
CVPR 2018 论文解读 | 基于GAN和CNN的图像盲去噪
PaperWeekly
13+阅读 · 2019年1月22日
基于GAN的极限图像压缩框架
论智
12+阅读 · 2018年4月15日
深度图像先验:无需学习即可生成新图像
论智
45+阅读 · 2017年12月4日
国家自然科学基金
2+阅读 · 2014年12月31日
国家自然科学基金
0+阅读 · 2013年12月31日
国家自然科学基金
0+阅读 · 2013年12月31日
国家自然科学基金
1+阅读 · 2013年12月31日
国家自然科学基金
0+阅读 · 2012年12月31日
国家自然科学基金
1+阅读 · 2012年12月31日
国家自然科学基金
0+阅读 · 2010年12月31日
国家自然科学基金
0+阅读 · 2010年12月31日
Arxiv
19+阅读 · 2021年1月14日
Arxiv
13+阅读 · 2020年8月3日
Arxiv
10+阅读 · 2018年2月17日
VIP会员
最新内容
澳大利亚发布《国防战略(2026年)》
专知会员服务
0+阅读 · 28分钟前
【CMU博士论文】迈向基于基础先验的 4D 感知研究
专知会员服务
0+阅读 · 24分钟前
全球高超音速武器最新发展趋势
专知会员服务
0+阅读 · 53分钟前
人工智能在战场行动中的演进及伊朗案例
专知会员服务
7+阅读 · 4月18日
美AI公司Anthropic推出网络安全模型“Mythos”
专知会员服务
4+阅读 · 4月18日
【博士论文】面向城市环境的可解释计算机视觉
相关VIP内容
【SIGGRAPH 2022】域增强的任意图像风格对比迁移方法
专知会员服务
26+阅读 · 2022年4月20日
【CVPR2022】基于渐进自蒸馏的鲁棒跨模态表示学习
专知会员服务
20+阅读 · 2022年4月13日
【NeurIPS 2021】基于潜在空间能量模型的可控和组分生成
专知会员服务
17+阅读 · 2021年10月23日
专知会员服务
22+阅读 · 2021年8月10日
专知会员服务
42+阅读 · 2021年7月4日
专知会员服务
39+阅读 · 2021年3月29日
自回归模型:PixelCNN
专知会员服务
29+阅读 · 2020年3月21日
生成式对抗网络GAN异常检测
专知会员服务
120+阅读 · 2019年10月13日
相关基金
国家自然科学基金
2+阅读 · 2014年12月31日
国家自然科学基金
0+阅读 · 2013年12月31日
国家自然科学基金
0+阅读 · 2013年12月31日
国家自然科学基金
1+阅读 · 2013年12月31日
国家自然科学基金
0+阅读 · 2012年12月31日
国家自然科学基金
1+阅读 · 2012年12月31日
国家自然科学基金
0+阅读 · 2010年12月31日
国家自然科学基金
0+阅读 · 2010年12月31日
Top
微信扫码咨询专知VIP会员