快速且不需要超参的无监督聚类方法

2019 年 12 月 9 日 极市平台

加入极市专业CV交流群,与6000+来自腾讯,华为,百度,北大,清华,中科院等名企名校视觉开发者互动交流!更有机会与李开复老师等大牛群内互动!

同时提供每月大咖直播分享、真实项目需求对接、干货资讯汇总,行业技术交流。关注 极市平台 公众号 ,回复 加群,立刻申请入群~


来源:知乎专栏

链接:https://zhuanlan.zhihu.com/p/69855313

本文已由作者授权转载,未经允许,不得二次转载


论文: Efficient Parameter-free Clustering Using First Neighbor Relations
链接: https://arxiv.org/abs/1902.11266
代码: https://github.com/ssarfraz/FINCH-Clustering
此文是CVPR2019的oral文章。 两个字评价: 快! 好!

方法


本文提出了一种parameter-free,并且效果卓越,效率奇高的无监督聚类方法。 聚类的方法非常简单,简单到一个公式就可以说清聚类的方法:
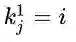
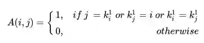
其中  代表第 个点的最近邻点。   数据的邻接矩阵。

观察上述邻接的计算方式可以发现,只要在符合以下情况时,邻接矩阵中的值为1:
  • 对于第i个点来说,我的最近邻就是第j个点。
  • 对于第i个点来说,我是第j个点的最近邻。
  • 第i个点的最近邻点和第j个点的最近邻点相同。

例子


以太阳为例,解释整个聚类的过程:

我们知道太阳系中各个行星的最近邻(与当前行星距离最近的行星)关系如下:
根据这些行星的最近邻情况,以及上述公式的计算方法可以得到邻接矩阵:
以第一行为例(i=1, 即Mercury),
  • 条件1:    ,在第i个行星的最近邻的处标上1; Mercury的最近邻是Moon,其id为4,所以(1,4)为1。
  • 条件2: ,谁的最近邻是我,那就在谁那儿标1,结果发现没有行星的最近邻是Mercury,所以不标1。
  • 条件3:  ,谁的最近邻和我的最近邻一样(即谁的最近邻也是Moon),那就在谁那儿标1。 发现Mars的最近邻也是Moon,其id为5,所以在(1,5)处也标记为1。
根据上述的过程,最终得到的邻接矩阵是个对称矩阵。 并且,根据这个邻接矩阵可以得到如下一个有向图:
通过这个图可以明显看出,所有的行星被分为了三个cluster。

上述三个步骤:
  1. 计算每个数据的最近邻
  2. 根据公式计算邻接矩阵
  3. 根据邻接矩阵得到有向图,从而完成一次聚类

可以将数据进行第一次聚类,上面的例子中,此聚类算法一次就聚类得到了3个cluster。

接下来可以对每个图结构重新进行特征计算,比如上面的三个cluster可以通过求均值的方式得到三个cluster center,这个三个center可以认为是三个样本数据,然后重复上述的三个步骤,就可以对这三个cluster进行进一步的聚类。最终,所有的样本都会被聚成一个cluster。

在这一步步聚类的过程中,不同的step可以得到不同的聚类中心个数,我们只要选取适合我们的聚类中心个数,并把那一步的聚类结果拿出来就可以了。

总结


1、parameter-free: 本文是一种parameter-free的无监督聚类方法,同时也是一种层级聚类方法(Hierarchical Clustering)。 在聚类的过程中不需要指定cluster数量。 当然,作者也在文中给出了指定cluster数量的聚类方法,具体可以看论文中的描述。

假设一开始有共有10000个样本,那么一开始认为有10000个cluster,在经过第一个聚类后,变成了2000个cluster,再一次聚类后变成了400个cluster,直到最后变成了一个cluster。 而我们只需要根据聚类效果,选取某个cluster个数就可以了,比如聚类成400个cluster效果不错,那我们就把这一步的聚类结果拿出来就可以了。

作者给出了一些数据集中cluster个数和聚类step的关系图:
2、快速: 本文的方法不需要计算所有sample之间的距离,只需要找到每个sample的最近邻即可。 而寻找最近邻的方法有现成的快速的方法,比如(FLANN)等。 下图是一张聚类时间表,可以看出本文方法(FINCH)很有优势。




-End-



*延伸阅读



CV细分方向交流群


添加极市小助手微信(ID : cv-mart),备注:研究方向-姓名-学校/公司-城市(如:目标检测-小极-北大-深圳),即可申请加入目标检测、目标跟踪、人脸、工业检测、医学影像、三维&SLAM、图像分割、OCR、姿态估计等极市技术交流群(已经添加小助手的好友直接私信),更有每月大咖直播分享、真实项目需求对接、干货资讯汇总,行业技术交流一起来让思想之光照的更远吧~



△长按添加极市小助手


△长按关注极市平台


觉得有用麻烦给个在看啦~  

登录查看更多
3

相关内容

【浙江大学】使用MAML元学习的少样本图分类
专知会员服务
63+阅读 · 2020年3月22日
专知会员服务
55+阅读 · 2020年3月16日
专知会员服务
42+阅读 · 2020年2月20日
【机器学习课程】机器学习中的常识性问题
专知会员服务
75+阅读 · 2019年12月2日
机器学习计算距离和相似度的方法
极市平台
10+阅读 · 2019年9月20日
t-SNE:最好的降维方法之一
人工智能前沿讲习班
26+阅读 · 2019年2月24日
计算文本相似度常用的四种方法
论智
33+阅读 · 2018年5月18日
机器学习的5种距离度量方法
七月在线实验室
9+阅读 · 2018年5月18日
数据科学家需要了解的5种聚类算法
论智
5+阅读 · 2018年4月7日
图解机器学习的常见算法
机器学习算法与Python学习
5+阅读 · 2018年4月2日
机器学习(30)之线性判别分析(LDA)原理详解
机器学习算法与Python学习
11+阅读 · 2017年12月6日
机器学习(27)【降维】之主成分分析(PCA)详解
机器学习算法与Python学习
9+阅读 · 2017年11月22日
机器学习之确定最佳聚类数目的10种方法
炼数成金订阅号
13+阅读 · 2017年10月12日
A Comprehensive Survey on Transfer Learning
Arxiv
121+阅读 · 2019年11月7日
Meta-Learning to Cluster
Arxiv
18+阅读 · 2019年10月30日
Few-shot Learning: A Survey
Arxiv
363+阅读 · 2019年4月10日
Transfer Adaptation Learning: A Decade Survey
Arxiv
37+阅读 · 2019年3月12日
Arxiv
3+阅读 · 2018年12月19日
Arxiv
5+阅读 · 2018年6月12日
Arxiv
7+阅读 · 2018年5月23日
Arxiv
5+阅读 · 2018年5月1日
Arxiv
9+阅读 · 2018年3月28日
VIP会员
最新内容
技术、多域威慑与海上战争(报告)
专知会员服务
3+阅读 · 今天15:04
“在云端防御”:提升北约数据韧性(报告)
专知会员服务
2+阅读 · 今天14:54
人工智能及其在海军行动中的整合(综述)
专知会员服务
2+阅读 · 今天14:07
美军MAVEN项目全面解析:算法战架构
专知会员服务
16+阅读 · 今天8:36
从俄乌战场看“马赛克战”(万字长文)
专知会员服务
10+阅读 · 今天8:19
相关资讯
机器学习计算距离和相似度的方法
极市平台
10+阅读 · 2019年9月20日
t-SNE:最好的降维方法之一
人工智能前沿讲习班
26+阅读 · 2019年2月24日
计算文本相似度常用的四种方法
论智
33+阅读 · 2018年5月18日
机器学习的5种距离度量方法
七月在线实验室
9+阅读 · 2018年5月18日
数据科学家需要了解的5种聚类算法
论智
5+阅读 · 2018年4月7日
图解机器学习的常见算法
机器学习算法与Python学习
5+阅读 · 2018年4月2日
机器学习(30)之线性判别分析(LDA)原理详解
机器学习算法与Python学习
11+阅读 · 2017年12月6日
机器学习(27)【降维】之主成分分析(PCA)详解
机器学习算法与Python学习
9+阅读 · 2017年11月22日
机器学习之确定最佳聚类数目的10种方法
炼数成金订阅号
13+阅读 · 2017年10月12日
相关论文
A Comprehensive Survey on Transfer Learning
Arxiv
121+阅读 · 2019年11月7日
Meta-Learning to Cluster
Arxiv
18+阅读 · 2019年10月30日
Few-shot Learning: A Survey
Arxiv
363+阅读 · 2019年4月10日
Transfer Adaptation Learning: A Decade Survey
Arxiv
37+阅读 · 2019年3月12日
Arxiv
3+阅读 · 2018年12月19日
Arxiv
5+阅读 · 2018年6月12日
Arxiv
7+阅读 · 2018年5月23日
Arxiv
5+阅读 · 2018年5月1日
Arxiv
9+阅读 · 2018年3月28日
Top
微信扫码咨询专知VIP会员