ECCV2022 | 重新思考单阶段3D目标检测中的IoU优化

2022 年 8 月 2 日 极市平台
↑ 点击 蓝字  关注极市平台

作者丨chaser
来源丨GiantPandaCV
编辑丨极市平台

极市导读

 

本文详细介绍了一种旋转解码Rotation-Decoupled IoU (RDIoU)的构建方法,并解释该方法是如何解决3D IoU优化的不稳定性和次优问题。 >>极市七夕粉丝福利活动:搞科研的日子是364天,但七夕只有一天!

论文题目

论文地址: https://arxiv.org/abs/2207.09332
代码地址: https://github.com/hlsheng1/RDIoU

提出问题

3D目标检测中,IoU依然是重要的性能评价标准。那么类似2D目标检测,3D IoU也能作为损失函数一致的训练和评估过程。作者认为3D IoU存在两个重要的问题:
  • 计算比较复杂,开销大
  • 旋转角度的引入会导致3D IoU优化的不稳定性和次优问题

问题分析

本文主要关注的是第二个问题,并做了细致讨论,作者认为:将旋转角与3D物体的中心点和形状进行耦合不利于3D IoU的优化。如下图所示:
最左边的图中,3D IoU loss会倾向于先旋转pbox来获得更大的IoU,但是这会导致角度预测偏移更大。中间和右边的图例分别展示了中心点的x和y预测过程中类似的情况。此外,3D IoU和2D的旋转IoU一样,都是不可微的。3D IoU的overlap也是采用三角分割的方法计算的,因而结果和两个bbox的相交点个数有关,在交点个数的变化边缘附近会出现梯度跳变。

提出方法

作者提出了一种旋转解码的Rotation-Decoupled IoU (RDIoU)来实现可微且训练与预测一致的结果。接着,将提出的RDIoU结合2D目标检测中的DIoU,GFIoU构造新的损失函数;最后,将提出的基于IoU的损失应用到不同的模型上取得性能提升,印证方法的有效性。本文重点在于DRIoU的构建方法,下面进行详细介绍。

相关定义

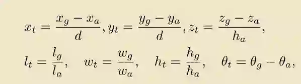
首先给定物体的GT标注 ,及其预测结果。回归的target根据输入anchor信息 进行编码如下:
其中d是anchor在2D平面上的对角线长。ps: 实际上很多方法,包括作者的实现代码使用的并不是这种做法,而是类似2D通用检测的anchor offset encoding(参考Faster RCNN)。

RDIoU构建

作者为了解耦角度对IoU的影响,比较有趣地引入了第四维度地概念,将角度视作类似于3维bbox中长宽高之外的第四维度,然后重新计算四维空间的“IoU”。3D box表征由中心和形状组成,变成四维就是中心和形状。对于这个4D的表征,个人感觉可以理解成四维空间的的“水平包围框”,从而不难理解作者的IoU计算方式了。IoU表达式很简单:
其中,和分别为预测结果和GT的体积,从2D和3D的cases中不难归纳演绎出4D中的水平bbox的提及计算方法:
类似地,我们可以推导出两个4D box的交集公式:
其中:
这个也很好理解,类比2D HBBs之间的overlap计算方法就能得到。那么问题就落在怎么确定第四维度的和上。作者的做法是,直接取,而令。可以看到,出发点很有趣,落脚点其实相对简单的。但是这会带来一个直观问题:这个所谓的4D IoU不再能表征3D IoU,有可能导致损失和评估的不一致。作者通过下面的实验证明了提出的RDIoU的有效性:
图a展示了中心重合的情况下,不同值对RDIoU曲线的影响,通过调试能获得和3D IoU较为一致的性能评估结果。同时,时,RDIoU对旋转角度更加敏感,能获得更好的性能;图b可见此时的梯度变化较为一致,而且更加平滑可微。图c显示中心存在一定偏移的case,此时3D IoU并不能很好地敏感角度变化,而RDIoU反而有更好的效果;图d中显示,此时3D IoU甚至出现正梯度,导致角度优化更差,而RDIoU则能保持较好的优化性能。后面利用构造好的RDIoU,引进了DIoU,和GFIoU就没什么好说的,直接代换就行。

实验结果

下面是一些直观的性能比较,可见RDIoU能实现更加快速收敛和高性能的检测精度。
最后是在KITTI数据集上的性能:
以及在Waymo上的结果:
还有一些ablations就不多说了,结果而言都是高于现有的IoU-based方法,例如DIoU,CIoU等。最后这里有几个问题还值得讨论:
  • 公式来看,对RDIoU曲线的调节是非线性的,这个参数的优化值得进一步讨论
  • IoU损失的尺度不变性在RDIoU中能否得到体现?
  • 定性实验只有两个特殊case,实际上对于旋转目标而言IoU敏感很多其他因素,考虑不够全面
  • 3D IoU本身就是target,部分param暂时的偏移不当一定程度上是能够容忍的,RDIoU起作用的原因可能还有其他。



公众号后台回复“ECCV2022”获取论文分类资源下载~

△点击卡片关注极市平台,获取 最新CV干货

极市干货
算法项目: CV工业项目落地实战 目标检测算法上新!(年均分成5万)
实操教程 Pytorch - 弹性训练原理分析《CUDA C 编程指南》导读
极视角动态: 极视角作为重点项目入选「2022青岛十大资本青睐企业」榜单! 极视角发布EQP激励计划,招募优质算法团队展开多维度生态合作! 极市AI校园大使招募


点击阅读原文进入CV社区

收获更多技术干货


登录查看更多
0

相关内容

CVPR2022 | 一种适用于密集场景的渐进式端到端目标检测器
【AAAI2022】锚框排序知识蒸馏的目标检测
专知会员服务
27+阅读 · 2022年2月10日
​【CVPR 2021】半监督视频目标分割新算法,实现SOTA性能
专知会员服务
13+阅读 · 2021年4月26日
专知会员服务
16+阅读 · 2021年4月3日
【ECCV2020】EfficientFCN:语义分割中的整体引导解码器
专知会员服务
18+阅读 · 2020年8月23日
CVPR2020 | 商汤-港中文等提出PV-RCNN:3D目标检测新网络
专知会员服务
45+阅读 · 2020年4月17日
目标检测正负样本区分策略和平衡策略总结
极市平台
0+阅读 · 2022年3月1日
PolarMask: 一阶段实例分割新思路
极市平台
13+阅读 · 2019年10月10日
CVPR 2019:精确目标检测的不确定边界框回归
AI科技评论
13+阅读 · 2019年9月16日
目标检测中边界框的回归策略
极市平台
17+阅读 · 2019年9月8日
FCOS: 最新的one-stage逐像素目标检测算法
极市平台
15+阅读 · 2019年4月14日
国家自然科学基金
0+阅读 · 2014年12月31日
国家自然科学基金
2+阅读 · 2014年12月31日
国家自然科学基金
0+阅读 · 2013年12月31日
国家自然科学基金
0+阅读 · 2013年12月31日
国家自然科学基金
0+阅读 · 2012年12月31日
国家自然科学基金
0+阅读 · 2012年12月31日
国家自然科学基金
0+阅读 · 2010年12月31日
国家自然科学基金
0+阅读 · 2009年12月31日
Arxiv
0+阅读 · 2022年10月4日
Fully Sparse 3D Object Detection
Arxiv
0+阅读 · 2022年10月3日
Arxiv
0+阅读 · 2022年9月30日
Arxiv
27+阅读 · 2021年11月11日
VIP会员
最新内容
BES:让语言模型通过双向进化搜索自我改进
专知会员服务
0+阅读 · 5月30日
以色列-美国-伊朗战争中的无人机:关键要点
专知会员服务
3+阅读 · 5月30日
《Palantir任务保障性软件安全标准(MA-S2)》
专知会员服务
7+阅读 · 5月30日
基于声学的无人机检测技术综述
专知会员服务
5+阅读 · 5月30日
《当代混合战争分析框架:俄乌战争经验教训》
战略前沿人工智能的再思考(中文)
专知会员服务
7+阅读 · 5月29日
《量化地基防空系统间接效应的博弈论方法》
专知会员服务
5+阅读 · 5月29日
相关资讯
相关基金
国家自然科学基金
0+阅读 · 2014年12月31日
国家自然科学基金
2+阅读 · 2014年12月31日
国家自然科学基金
0+阅读 · 2013年12月31日
国家自然科学基金
0+阅读 · 2013年12月31日
国家自然科学基金
0+阅读 · 2012年12月31日
国家自然科学基金
0+阅读 · 2012年12月31日
国家自然科学基金
0+阅读 · 2010年12月31日
国家自然科学基金
0+阅读 · 2009年12月31日
相关论文
Top
微信扫码咨询专知VIP会员