【机器学习实战】理解Scikit-Learn中分类性能度量指标

2018 年 8 月 7 日 专知

【导读】本文是数据科学家Andrew Long撰写的技术博文,介绍了在分类模型中需要用到的度量标准以及对应Python中Scikit-Learn库实战。本文就举例介绍了分类任务中的其他度量标准,首先介绍一些相关概念:精确度、召回率、F1分数、TRPFPR等。另外包括两种可视化方法:混淆矩阵和ROC曲线。并且也详细说明了如何使用Scikit-Learn库进行各种度量指标的实现,建议大家收藏学习。


作者 | Andrew Long

编译 | 专知

整理 | Mandy


Understanding Data Science Classification Metrics in Scikit-Learn in Python


在本教程中,我们将介绍Python的scikit-learn中的一些分类度量指标 - 从头开始学习和编写我们自己的函数,以理解其中一些函数背后的数学知识。


数据科学中预测建模的一个主要领域是分类。分类就是试图预测一个群体中某一特定样本来自哪个类别。例如,如果我们试图预测某个病人是否会再次住院,可能的两类是住院(正)和非住院(负)。然后,分类模型试图预测每个患者是否将住院或未住院。换句话说,分类只是试图简单地预测人群中某一特定样本应该被放在哪个桶中(预测是正的还是预测是负的),如下所示。



在训练分类预测模型时,你需要评估它的好坏程度。有趣的是,有很多不同的方法来评估性能。大多数使用Python进行预测建模的数据科学家都使用名为scikit-learn的Python库。 Scikit-learn包含许多用于分析模型性能的内置函数。在本教程中,我们将介绍其中的一些指标,并从头开始编写我们自己的函数,以理解其中一些指标背后的数学原理。如果您只想阅读关于性能度量的文章,请参阅我之前的一篇文章:

https://towardsdatascience.com/data-science-performance-metrics-for-everyone-4d68f4859eef。


专知公众号以前也写过

【干货】7种最常用的机器学习算法衡量指标

【干货】不止准确率:为分类任务选择正确的机器学习度量指标(附代码实现)


本教程将介绍sklearn.metrics中的以下指标:

  • confusion_matrix

  • accuracy_score

  • recall_score

  • precision_score

  • f1_score

  • roc_curve

  • roc_auc_score


让我们开始吧


有关示例数据集和jupyter notebook,请参阅我的github:

https://github.com/andrewwlong/classification_metrics_sklearn。


我们将从头开始编写自己的函数,现在假设有两个类别。请注意,您需要标记为#your code here的地方填写您自己的部分。


让我们加载一个样本数据集,其中包含两个模型(model_RF 和 model_LR)的真实标签(actual_label)和预测概率。这里的概率是第1类的概率。


import pandas as pd
df = pd.read_csv('data.csv')
df.head()



在大多数数据科学项目中,您需要定义一个阈值,以定义哪些预测概率被标记为预测正值,哪些预测概率被标记为预测负值。现在让我们假设阈值是0.5。让我们再添加另外两列,将概率转换为预测标签。


thresh = 0.5
df['predicted_RF'] = (df.model_RF >=0.5).astype('int')
df['predicted_LR'] = (df.model_LR >=0.5).astype('int')
df.head()



confusion_matrix


给定一个实际的标签和一个预测的标签,我们能做的第一件事就是把样本分成4个部分:

  • True positive(真阳性) — 真实值(actual) = 1, 预测值(predicted) = 1

  • False positive(假阳性) — 真实值(actual) = 0, 预测值(predicted) = 1

  • False negative(假阴性) — 真实值(actual) = 1, 预测值(predicted) = 0

  • True negative(真阴性) — 真实值(actual) = 0, 预测值(predicted) = 0


这四个部分可以用以下图像表示,我们将在下面的许多计算中用到此图像。引用自:

https://en.wikipedia.org/wiki/Precision_and_recall#/media/File:Precisionrecall.svg。



这四个部分还可以使用混淆矩阵表示,如下所示:



我们可以从scikit-learn获得混淆矩阵(作为一个2x2数组),它将实际标签和预测标签作为输入:


from sklearn.metrics importconfusion_matrix
confusion_matrix(df.actual_label.values,df.predicted_RF.values)



其中有5047个 true positive,2360个false positive,2832个false negative和5519个true negative。让我们定义自己的函数来验证confusion_matrix。请注意,我的代码只写了第一个,你需要自己来写其他3个。


def find_TP(y_true, y_pred):
#counts the number of true positives (y_true = 1, y_pred = 1)
 
return sum((y_true == 1) & (y_pred == 1))
def find_FN(y_true, y_pred):
#counts the number of false negatives (y_true = 1, y_pred = 0)
 
return # your code here
def find_FP(y_true, y_pred):
# countsthe number of false positives (y_true = 0, y_pred = 1)
 
return # your code here
def find_TN(y_true, y_pred):
#counts the number of true negatives (y_true = 0, y_pred = 0)
 
return # your code here


您可以检查您的结果是否匹配:


print('TP:',find_TP(df.actual_label.values,df.predicted_RF.values))
print('FN:',find_FN(df.actual_label.values,df.predicted_RF.values))
print('FP:',find_FP(df.actual_label.values,df.predicted_RF.values))
print('TN:',find_TN(df.actual_label.values,df.predicted_RF.values))


让我们写一个函数,它将为我们计算所有这四个,以及另一个函数来复制confusion_matrix:


import numpy as np
def find_conf_matrix_values(y_true,y_pred):
#calculate TP, FN, FP, TN
   TP
=find_TP(y_true,y_pred)
FN =find_FN(y_true,y_pred)
FP =find_FP(y_true,y_pred)
TN =find_TN(y_true,y_pred)
return TP,FN,FP,TN
def my_confusion_matrix(y_true, y_pred):
TP,FN,FP,TN = find_conf_matrix_values(y_true,y_pred)
return np.array([[TN,FP],[FN,TP]])


检查您的结果是否匹配:

my_confusion_matrix(df.actual_label.values,df.predicted_RF.values)


与其手工比较,不如使用Python内置的assert和numpy的array_equal函数来验证我们的函数是否有效:

assert np.array_equal(my_confusion_matrix(df.actual_label.values,
df.predicted_RF.values), confusion_matrix(df.actual_label.values,
df.predicted_RF.values) ), 'my_confusion_matrix() is not correct for RF'

assert np.array_equal(my_confusion_matrix(df.actual_label.values,
df.predicted_LR.values),confusion_matrix(df.actual_label.values,
df.predicted_LR.values) ), 'my_confusion_matrix() is not correct for LR'


给定了这四个部分(TP、FP、FN、TN),我们可以计算许多其他性能指标。


accuracy_score


最常用的分类度量指标就是准确性,即正确预测的样本的分数,如下图所示:



我们可以从scikit-learn获得accuracy score,它以实际标签和预测标签作为输入:


from sklearn.metrics importaccuracy_score
accuracy_score(df.actual_label.values,df.predicted_RF.values)


您的结果应该是 0.6705165630156111


复制accuracy_score来定义您自己的函数,使用上面的公式。


def my_accuracy_score(y_true,y_pred):
#calculates the fraction of samples predicted correctly
  TP
,FN,FP,TN = find_conf_matrix_values(y_true,y_pred)
return # your code here
assertmy_accuracy_score(df.actual_label.values, df.predicted_RF.values)
==accuracy_score(df.actual_label.values, df.predicted_RF.values),
'my_accuracy_score failed on RF'
assertmy_accuracy_score(df.actual_label.values, df.predicted_LR.values)
==accuracy_score(df.actual_label.values, df.predicted_LR.values),
'my_accuracy_score failed on LR'
print('Accuracy RF:%.3f'%(my_accuracy_score(df.actual_label.values,
df.predicted_RF.values)))
print('Accuracy LR:%.3f'%(my_accuracy_score(df.actual_label.values,
df.predicted_LR.values)))


使用accuracy作为性能指标,RF模型(0.67)比LR模型(0.62)准确率更高。那么我们应该说RF模型是最好的模型吗?不!准确性(Accuracy)并不总是用于评估分类模型的最佳指标。例如,假设我们要预测的是100次中只有1次发生的事情。我们可以建立一个模型,说这个事件从来没有发生过,从而获得99%的准确率。然而,我们真正关心的事件却获得了0%的正确率。其实,这里的0%是另一个性能度量,称为recall(召回率)。


recall_score


Recall召回率是您正确预测的positive事件的分数,如下所示:



我们可以从scikit-learn获得recall score,它以实际标签和预测标签作为输入:

from sklearn.metrics importrecall_score
recall_score(df.actual_label.values,df.predicted_RF.values)


复制recall_score来定义您自己的函数,使用上面的公式。


def my_recall_score(y_true,y_pred):
#calculates the fraction of positive samples predicted correctly
  TP
,FN,FP,TN = find_conf_matrix_values(y_true,y_pred)
return # your code here
assert my_recall_score(df.actual_label.values,df.predicted_RF.values)
== recall_score(df.actual_label.values,df.predicted_RF.values),
'my_accuracy_score failed on RF'
assert my_recall_score(df.actual_label.values,df.predicted_LR.values)
== recall_score(df.actual_label.values,df.predicted_LR.values),
'my_accuracy_score failed on LR'
print('Recall RF:%.3f'%(my_recall_score(df.actual_label.values,
df.predicted_RF.values)))
print('Recall LR:%.3f'%(my_recall_score(df.actual_label.values,
df.predicted_LR.values)))


提高召回率的一种方法是通过降低predicted positive的阈值来增加predictedpositive的样本数。但是,这也会增加false positive的数量。另一个称为精确度(precision)的性能指标考虑到了这一点。


precision_score


Precision(精确度)是实际为正的事件所占总的预测阳性事件的比,如下所示:


我们可以从scikit-learn获得precision score,它以实际标签和预测标签作为输入:


from sklearn.metrics importprecision_score
precision_score(df.actual_label.values,df.predicted_RF.values)


复制precision_score来定义您自己的函数,使用上面的公式。


def my_precision_score(y_true, y_pred):
#calculates the fraction of predicted positives samples that
are actuallypositive
  TP
,FN,FP,TN = find_conf_matrix_values(y_true,y_pred)
return # your code here
assert my_precision_score(df.actual_label.values,
df.predicted_RF.values) == precision_score(df.actual_label.values,
df.predicted_RF.values), 'my_accuracy_score failed on RF'
assertmy_precision_score(df.actual_label.values,
df.predicted_LR.values) ==precision_score(df.actual_label.values,
df.predicted_LR.values),'my_accuracy_score failed on LR'
print('Precision RF:%.3f'%(my_precision_score(df.actual_label.values,
df.predicted_RF.values)))
print('Precision LR:%.3f'%(my_precision_score(df.actual_label.values,
df.predicted_LR.values)))


在这种情况下,看起来RF模型在召回率和精确度方面都更好。但如果一个模型在召回率上更好,另一个在精度上更好,你会怎么做?一些数据科学家使用的方法称为F1 score。


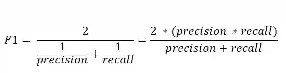
f1_score


f1 score是召回率和精确度的调和平均值,得分越高越好。f1 score的计算公式如下:


我们可以从scikit-learn获得f1 score,它以实际标签和预测标签作为输入:


from sklearn.metrics importf1_score
f1_score(df.actual_label.values,df.predicted_RF.values)


复制f1_score来定义您自己的函数,使用上面的公式。


def my_f1_score(y_true,y_pred):
#calculates the F1 score
  recall
= my_recall_score(y_true,y_pred)
precision = my_precision_score(y_true,y_pred)
return# your code here
assert my_f1_score(df.actual_label.values,df.predicted_RF.values) ==
f1_score(df.actual_label.values,df.predicted_RF.values),
'my_accuracy_score failed on RF'
assert my_f1_score(df.actual_label.values,df.predicted_LR.values) ==
f1_score(df.actual_label.values,df.predicted_LR.values),
'my_accuracy_score failed on LR'
print('F1 RF:%.3f'%(my_f1_score(df.actual_label.values,
df.predicted_RF.values)))
print('F1 LR:%.3f'%(my_f1_score(df.actual_label.values,
df.predicted_LR.values)))


到目前为止,我们假设我们定义了0.5的阈值,用于选择哪些样本被预测为正样本。如果我们更改此阈值,性能指标将会发生变化。如下所示:


print('scores with threshold= 0.5')
print('Accuracy RF:%.3f'%(my_accuracy_score(df.actual_label.values,
df.predicted_RF.values)))
print('Recall RF:%.3f'%(my_recall_score(df.actual_label.values,
df.predicted_RF.values)))
print('Precision RF:%.3f'%(my_precision_score(df.actual_label.values,
df.predicted_RF.values)))
print('F1 RF:%.3f'%(my_f1_score(df.actual_label.values,
df.predicted_RF.values)))
print(' ')
print('scores with threshold = 0.25')
print('Accuracy RF:%.3f'%(my_accuracy_score(df.actual_label.values,
(df.model_RF >=0.25).astype('int').values)))
print('Recall RF:%.3f'%(my_recall_score(df.actual_label.values,
(df.model_RF >=0.25).astype('int').values)))
print('Precision RF: %.3f'%(my_precision_score(df.actual_label.values,
(df.model_RF >= 0.25).astype('int').values)))
print('F1 RF:%.3f'%(my_f1_score(df.actual_label.values,
(df.model_RF >=0.25).astype('int').values)))

 


如果我们最初没有选择一个阈值,我们如何评估模型?一种非常常见的方法是使用ROC曲线。


roc_curve 和 roc_auc_score


ROC曲线非常有助于理解真阳性率(true-positive rate)和假阳性率(false positive rates)之间的平衡。 Scikit learn为实现和分析ROC曲线构建了函数。这些函数的输入(roc_curve和roc_auc_score)是实际标签和预测概率(不是预测标签)。


roc_curve和roc_auc_score都是复杂的函数,所以我们不会让你从头开始编写这些函数。相反,我们将向您展示如何使用scikit learn中的函数来实现并解释关键点。让我们先用roc_curve来做ROC图。


from sklearn.metrics importroc_curve
fpr_RF, tpr_RF, thresholds_RF =roc_curve(df.actual_label.values,
df.model_RF.values)
fpr_LR, tpr_LR, thresholds_LR =roc_curve(df.actual_label.values,
df.model_LR.values)


roc_curve函数返回三个列表:


  • thresholds = 按降序排列的所有唯一预测概率

  • fpr = 每个阈值的假阳性率(FP/ (FP + TN))

  • tpr = 每个阈值的真阳性率(TP/ (TP + FN))



我们可以绘制每个模型的ROC曲线,如下所示。


import matplotlib.pyplot asplt
plt.plot(fpr_RF, tpr_RF,'r-',label = 'RF')
plt.plot(fpr_LR,tpr_LR,'b-', label= 'LR')
plt.plot([0,1],[0,1],'k-',label='random')
plt.plot([0,0,1,1],[0,1,1,1],'g-',label='perfect')
plt.legend()
plt.xlabel('False Positive Rate')
plt.ylabel('True Positive Rate')
plt.show()



我们可以从这个图中得到一些结论:

  • 一个随机猜测标签的模型应该如黑色的线所表示的那样,你想要一个在黑线之上有一条曲线的模型

  • 距离黑线较远的ROC更好,因此RF(红色)看起来比LR(蓝色)好

  • 虽然没有直接看到,但是高阈值会产生左下角的点,低阈值产生了右上角的点。这意味着当您降低阈值时,您将获得更高的TPR,但代价是更高的FPR


为了分析性能,我们将使用area-under-curve(曲线下面积)这一度量指标.


from sklearn.metrics importroc_auc_score
auc_RF = roc_auc_score(df.actual_label.values,df.model_RF.values)
auc_LR = roc_auc_score(df.actual_label.values,df.model_LR.values)
print('AUC RF:%.3f'% auc_RF)
print('AUC LR:%.3f'% auc_LR)


如您所见,RF模型的曲线下面积(AUC = 0.738)优于LR(AUC = 0.666)。当我绘制ROC曲线时,我喜欢在图例中添加AUC,如下所示。


import matplotlib.pyplot asplt
plt.plot(fpr_RF, tpr_RF,'r-',label = 'RF AUC:%.3f'%auc_RF)
plt.plot(fpr_LR,tpr_LR,'b-', label= 'LR AUC:%.3f'%auc_LR)
plt.plot([0,1],[0,1],'k-',label='random')
plt.plot([0,0,1,1],[0,1,1,1],'g-',label='perfect')
plt.legend()
plt.xlabel('False Positive Rate')
plt.ylabel('True Positive Rate')
plt.show()

 

总的来说,在这个示例中,模型RF在每个性能指标上都是获胜的。


总结


在预测分析中,当在两个模型之间做决定时,选择单个性能指标非常重要。正如您在此处所看到的,您可以选择许多(准确度,召回率,精确度,f1-score,AUC等等)。最终,您应该使用最适合当前业务问题的性能度量。许多数据科学家更喜欢使用AUC来分析每个模型的性能,因为它不需要选择阈值并有助于平衡真阳性率(true positive rate)和假阳性率(false positiverate)。


参考链接:

https://towardsdatascience.com/understanding-data-science-classification-metrics-in-scikit-learn-in-python-3bc336865019


-END-

专 · 知


人工智能领域主题知识资料查看与加入专知人工智能服务群

专知AI知识技术服务会员群加入人工智能领域26个主题知识资料全集获取欢迎微信扫一扫加入专知人工智能知识星球群,获取专业知识教程视频资料和与专家交流咨询


请PC登录www.zhuanzhi.ai或者点击阅读原文,注册登录专知,获取更多AI知识资料

请加专知小助手微信(扫一扫如下二维码添加),加入专知主题群(请备注主题类型:AI、NLP、CV、 KG等)交流~


 AI 项目技术 & 商务合作:[email protected], 或扫描上面二维码联系!


关注专知公众号,获取人工智能的专业知识!

点击“阅读原文”,使用专知

登录查看更多
0

相关内容

Scikit-learn项目最早由数据科学家David Cournapeau 在2007 年发起,需要NumPy和SciPy等其他包的支持,是Python语言中专门针对机器学习应用而发展起来的一款开源框架。
【实用书】学习用Python编写代码进行数据分析,103页pdf
专知会员服务
199+阅读 · 2020年6月29日
【实用书】Python机器学习Scikit-Learn应用指南,247页pdf
专知会员服务
270+阅读 · 2020年6月10日
【干货书】机器学习Python实战教程,366页pdf
专知会员服务
347+阅读 · 2020年3月17日
《可解释的机器学习-interpretable-ml》238页pdf
专知会员服务
209+阅读 · 2020年2月24日
【经典书】精通机器学习特征工程,中文版,178页pdf
专知会员服务
360+阅读 · 2020年2月15日
【新书】Pro 机器学习算法Python实现,379页pdf
专知会员服务
204+阅读 · 2020年2月11日
Github项目推荐 | GAN评估指标的Tensorflow简单实现
AI研习社
16+阅读 · 2019年4月19日
机器学习中如何处理不平衡数据?
机器之心
13+阅读 · 2019年2月17日
用Python实现流行机器学习算法
Python程序员
21+阅读 · 2018年12月31日
入门 | 区分识别机器学习中的分类与回归
机器之心
3+阅读 · 2017年12月16日
Arxiv
4+阅读 · 2019年12月2日
Arxiv
22+阅读 · 2018年8月30日
VIP会员
最新内容
国外反无人机系统与技术动态
专知会员服务
1+阅读 · 今天12:48
大规模作战行动中的战术作战评估(研究论文)
专知会员服务
2+阅读 · 今天12:21
未来的海战无人自主系统
专知会员服务
1+阅读 · 今天12:05
美军多域作战现状分析:战略、概念还是幻想?
专知会员服务
2+阅读 · 今天11:52
无人机与反无人机系统(书籍)
专知会员服务
14+阅读 · 今天6:45
美陆军2026条令:安全与机动支援
专知会员服务
5+阅读 · 今天5:49
技术、多域威慑与海上战争(报告)
专知会员服务
8+阅读 · 4月13日
相关VIP内容
【实用书】学习用Python编写代码进行数据分析,103页pdf
专知会员服务
199+阅读 · 2020年6月29日
【实用书】Python机器学习Scikit-Learn应用指南,247页pdf
专知会员服务
270+阅读 · 2020年6月10日
【干货书】机器学习Python实战教程,366页pdf
专知会员服务
347+阅读 · 2020年3月17日
《可解释的机器学习-interpretable-ml》238页pdf
专知会员服务
209+阅读 · 2020年2月24日
【经典书】精通机器学习特征工程,中文版,178页pdf
专知会员服务
360+阅读 · 2020年2月15日
【新书】Pro 机器学习算法Python实现,379页pdf
专知会员服务
204+阅读 · 2020年2月11日
相关资讯
Github项目推荐 | GAN评估指标的Tensorflow简单实现
AI研习社
16+阅读 · 2019年4月19日
机器学习中如何处理不平衡数据?
机器之心
13+阅读 · 2019年2月17日
用Python实现流行机器学习算法
Python程序员
21+阅读 · 2018年12月31日
入门 | 区分识别机器学习中的分类与回归
机器之心
3+阅读 · 2017年12月16日
Top
微信扫码咨询专知VIP会员