CVPR 2019 开源论文 | 针对未知目标领域的通用领域适配方法

2019 年 7 月 22 日 PaperWeekly


作者丨游凯超 

学校丨清华大学软件学院本科生

研究方向丨迁移学习和领域适配




这篇论文发表于 CVPR 2019,是我们团队(清华大学龙明盛副教授的团队)在领域适配问题设定方向的最新探索:我们将领域适配问题扩展到任意相关的目标领域上,去除了标准领域适配问题中对于类别集合的不合理假设,提出了更加有挑战性的通用领域适配问题,并提出了一种有效的解决方法通用领域适配网络。


论文动机


领域适配问题包含一个源领域 (source domain) 和一个目标领域 (target domain)。源领域是完全标注好的,目标领域是与源领域相关的领域,但是里面的数据是没有标注的。


当前被研究的领域适配问题,多多少少需要知道目标领域的类别集合的一些信息,对源领域和目标领域的类别集合之间的关系有一定要求(或者重合,或者包含,或者相交且知道交集是什么),这些要求可以概括为下图:



考虑到目标领域是没有标注的,在实际应用中,我们难以获知目标领域的类别集合是什么。为了让领域适配问题更贴近实际,我们首次探究了针对未知目标领域的领域适配问题。


问题描述



由于我们只有源领域的标注信息,所以我们无法得知目标领域独有的类别的具体信息。我们的任务是把目标领域独有的类别对应的图片标记为”unknown”,把共有的类别对应的图片的具体类别找到。


技术挑战


我们首先需要面对的是两个领域之间的类别差异:两个领域的类别集合不同,导致我们无法直接在两个领域中做领域适配(目标领域和源领域中的部分数据原理上来说就是不能进行适配的)。目标领域中存在源领域中没有的类,这又要求我们的模型具有开放式识别的能力(识别出不属于任何训练集类别的类)。


除了类别差异,在公共类别中,领域差异也依然存在,我们需要识别出这些应该被适配的数据,并对它们进行适配。


通用领域适配网络



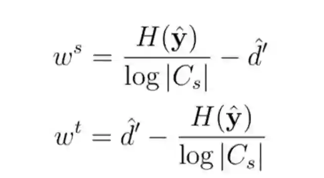
我们提出的通用领域适配网络可以初步解决上述问题。具体的计算细节参见论文,其核心思想是利用可迁移性判据来找到两个领域中公共类别的数据,在这些数据中进行适配。


可迁移性判据由领域相似度与预测不确定度两部分共同构成:


实验效果



我们在 Office-31、Office-Home、ImageNet-Caltech、VisDA2017 等标准数据集上进行了实验,这些实验中,我们发现,当前的一些需要知道目标领域类别集合才能工作的方法,在通用领域适配的问题设定下表现得很差。当面临未知的目标领域时,只有通用领域适配网络的表现比较稳定,在各种设定下都取得了最好的结果。


结论与展望


本文提出了更加符合实际应用场景的通用领域适配问题,并提出了通用领域适配网络来解决这个问题。实验表明,通用领域适配网络能够较好地处理这个问题,使得领域适配问题向实际应用的方向更进一步。


如果我们想要把一个已有的模型应用到新的场景中,我们就可以先使用本文提出的通用领域适配网络。如果通用领域适配网络能识别出大部分数据的具体类别,那么我们可以期望领域适配方法在不标注新数据的情况下就能解决新的场景中的问题。


反之,如果通用领域适配网络认为大部分数据都属于源领域中没有的类别,那么,对目标领域的数据标注将是不可缺少的。所以说,当我们遇到一个领域适配问题时,通用领域适配网络可以作为先导研究首先被尝试。




点击以下标题查看更多往期内容: 





#投 稿 通 道#

 让你的论文被更多人看到 



如何才能让更多的优质内容以更短路径到达读者群体,缩短读者寻找优质内容的成本呢?答案就是:你不认识的人。


总有一些你不认识的人,知道你想知道的东西。PaperWeekly 或许可以成为一座桥梁,促使不同背景、不同方向的学者和学术灵感相互碰撞,迸发出更多的可能性。


PaperWeekly 鼓励高校实验室或个人,在我们的平台上分享各类优质内容,可以是最新论文解读,也可以是学习心得技术干货。我们的目的只有一个,让知识真正流动起来。


📝 来稿标准:

• 稿件确系个人原创作品,来稿需注明作者个人信息(姓名+学校/工作单位+学历/职位+研究方向) 

• 如果文章并非首发,请在投稿时提醒并附上所有已发布链接 

• PaperWeekly 默认每篇文章都是首发,均会添加“原创”标志


📬 投稿邮箱:

• 投稿邮箱:hr@paperweekly.site 

• 所有文章配图,请单独在附件中发送 

• 请留下即时联系方式(微信或手机),以便我们在编辑发布时和作者沟通




🔍


现在,在「知乎」也能找到我们了

进入知乎首页搜索「PaperWeekly」

点击「关注」订阅我们的专栏吧



关于PaperWeekly


PaperWeekly 是一个推荐、解读、讨论、报道人工智能前沿论文成果的学术平台。如果你研究或从事 AI 领域,欢迎在公众号后台点击「交流群」,小助手将把你带入 PaperWeekly 的交流群里。


▽ 点击 | 阅读原文 | 下载论文 & 源码

登录查看更多
1

相关内容

【ICML 2020 】小样本学习即领域迁移
专知会员服务
78+阅读 · 2020年6月26日
【CVPR2020-北京大学】自适应间隔损失的提升小样本学习
专知会员服务
85+阅读 · 2020年6月9日
专知会员服务
88+阅读 · 2020年1月20日
近期必读的9篇 CVPR 2019【视觉目标跟踪】相关论文和代码
必读的10篇 CVPR 2019【生成对抗网络】相关论文和代码
专知会员服务
33+阅读 · 2020年1月10日
近期必读的5篇 CVPR 2019【图卷积网络】相关论文和代码
专知会员服务
33+阅读 · 2020年1月10日
【CVPR2019】弱监督图像分类建模
深度学习大讲堂
38+阅读 · 2019年7月25日
CVPR 2019 Oral 论文解读 | 无监督域适应语义分割
AI科技评论
49+阅读 · 2019年5月29日
VALSE Webinar 19-07期 迁移学习与领域适配
VALSE
5+阅读 · 2019年3月28日
CVPR 2019 | 无监督领域特定单图像去模糊
PaperWeekly
14+阅读 · 2019年3月20日
CVPR 2018 最佳论文解读:探秘任务迁移学习
PaperWeekly
6+阅读 · 2018年6月25日
CVPR2018:基于时空模型无监督迁移学习的行人重识别
全球人工智能
7+阅读 · 2018年3月26日
StarGAN-多领域图像翻译
CreateAMind
4+阅读 · 2017年12月26日
行人再识别中的迁移学习
计算机视觉战队
11+阅读 · 2017年12月20日
A Survey on Bayesian Deep Learning
Arxiv
64+阅读 · 2020年7月2日
Transfer Adaptation Learning: A Decade Survey
Arxiv
37+阅读 · 2019年3月12日
Arxiv
7+阅读 · 2018年12月5日
Arxiv
7+阅读 · 2018年11月27日
Arxiv
5+阅读 · 2018年10月23日
Arxiv
7+阅读 · 2018年3月19日
Arxiv
7+阅读 · 2018年1月21日
VIP会员
相关VIP内容
【ICML 2020 】小样本学习即领域迁移
专知会员服务
78+阅读 · 2020年6月26日
【CVPR2020-北京大学】自适应间隔损失的提升小样本学习
专知会员服务
85+阅读 · 2020年6月9日
专知会员服务
88+阅读 · 2020年1月20日
近期必读的9篇 CVPR 2019【视觉目标跟踪】相关论文和代码
必读的10篇 CVPR 2019【生成对抗网络】相关论文和代码
专知会员服务
33+阅读 · 2020年1月10日
近期必读的5篇 CVPR 2019【图卷积网络】相关论文和代码
专知会员服务
33+阅读 · 2020年1月10日
相关资讯
【CVPR2019】弱监督图像分类建模
深度学习大讲堂
38+阅读 · 2019年7月25日
CVPR 2019 Oral 论文解读 | 无监督域适应语义分割
AI科技评论
49+阅读 · 2019年5月29日
VALSE Webinar 19-07期 迁移学习与领域适配
VALSE
5+阅读 · 2019年3月28日
CVPR 2019 | 无监督领域特定单图像去模糊
PaperWeekly
14+阅读 · 2019年3月20日
CVPR 2018 最佳论文解读:探秘任务迁移学习
PaperWeekly
6+阅读 · 2018年6月25日
CVPR2018:基于时空模型无监督迁移学习的行人重识别
全球人工智能
7+阅读 · 2018年3月26日
StarGAN-多领域图像翻译
CreateAMind
4+阅读 · 2017年12月26日
行人再识别中的迁移学习
计算机视觉战队
11+阅读 · 2017年12月20日
相关论文
A Survey on Bayesian Deep Learning
Arxiv
64+阅读 · 2020年7月2日
Transfer Adaptation Learning: A Decade Survey
Arxiv
37+阅读 · 2019年3月12日
Arxiv
7+阅读 · 2018年12月5日
Arxiv
7+阅读 · 2018年11月27日
Arxiv
5+阅读 · 2018年10月23日
Arxiv
7+阅读 · 2018年3月19日
Arxiv
7+阅读 · 2018年1月21日
Top
微信扫码咨询专知VIP会员