图解RMNet 重参数化新方法

2021 年 11 月 28 日 极市平台
↑ 点击 蓝字  关注极市平台

作者丨zzzk
来源丨GiantPandaCV
编辑丨极市平台

极市导读

 

该工作提出Reserving和Merging两个操作(RM),在ResBlock基础上去除残差连接。相比ResNet和RepVGG,RMNet在速度精度上更好,同时也对high-ratio的剪枝操作友好。 >>加入极市CV技术交流群,走在计算机视觉的最前沿

前言

残差网络的出现允许我们训练更深层的网络,但由于其多分支的推理,使得在推理速度上不如无残差连接的直筒网络(Plain Model)。RepVGG通过重参数的思想,将三个分支融合到一个分支中。然而使用RepVGG是无法重参数化ResNet,因为重参数方法只能应用于Linear Blocks,并且ReLU操作需要放到外面。本文我们提出Reserving和Merging两个操作(RM),在ResBlock基础上去除残差连接。相比ResNet和RepVGG,RMNet在速度精度上更好,同时也对high-ratio的剪枝操作友好。

论文:https://arxiv.org/abs/2111.00687

代码:https://github.com/fxmeng/RMNet

文章中所涉及到的代码笔者已经整理到仓库内,作为Notebook形式,https://github.com/MARD1NO/paper_reading/tree/master/RMNet,球球你们了点个star再白嫖吧

介绍

我们总结了主要的contribution:

  • 我们发现重参数化有其局限性,当非线性操作(如ReLU)放置在residual branch的时候,无法进行重参数化
  • 我们提出了RM方法,能够移除残差连接,通过保留输入特征映射(Reserving)并将其与输出特征映射合并(Merging),去除非线性层间的残留连接。
  • 通过这种方法我们可以将ResNet转换为一个直筒网络,能够在速度,精度上达到更好的trade off,对剪枝也十分友好

补充材料:可以参考之前写的图解RepVGG:https://zhuanlan.zhihu.com/p/352239591

RM操作

下图展示了ResNet中的ResBlock如何去除残差连接的操作:

Reserving操作

假设我们的输入的通道数为4,我们在转换的时候,对Conv1插入了相同通道数的,经过Dirac初始化的卷积核,来Reserve输入特征。

关于如何让卷积操作做恒等映射的操作,在RepVGG已经详细剖析过,这里就简单复习下:

identity前后值不变,那么我会想到是用权重等于1的卷积核,并分开通道进行卷积,即1x1的,权重固定为1的Depthwise卷积。这样相当于单独对每个通道的每个元素乘1,然后再输出来,这就是我们想要的identity操作!下面是一个示意图

我们再拓展到普通的卷积核,那就是对当前通道的权值设置为1,其他通道的权值设置为0,下面是一个示意图:

其中灰色的地方均表示0

如果想要变成3x3卷积,那么我们只需要给1x1卷积周围Padding一圈0即可。

在PyTorch,初始化这种卷积核是很容易的,我们只需要调用nn.init.dirac_(your_weight),假设我们的通道数目为2,下面是示例代码:

import torch
import torch.nn as nn

# Outchannel, Inchannel, Kh, Kw
weight = torch.empty(2, 2, 3, 3)
nn.init.dirac_(weight)

"""
tensor([[[[0., 0., 0.],
          [0., 1., 0.],
          [0., 0., 0.]],

         [[0., 0., 0.],
          [0., 0., 0.],
          [0., 0., 0.]]],


        [[[0., 0., 0.],
          [0., 0., 0.],
          [0., 0., 0.]],

         [[0., 0., 0.],
          [0., 1., 0.],
          [0., 0., 0.]]]])
"
""

对于ReLU操作,具体可以分两种情况:

  • 对于ResNet来说,每个Block最后都有一个ReLU操作。 这就意味着每次进入到下一个Block的输入一定是正的。那么直接做ReLU操作是可以的,如论文图例所示:
  • 而对于像MobileNet2这种网络,它的ReLU操作是放置在Block中间, 此时无法保证下一个Block的输入一定是正的。所以此时不能直接做ReLU操作,而是使用一个PReLU,对输入的特征将PReLU的alpha参数设置为1,以保持线性映射。而对于卷积后的特征,将PReLU的alpha参数设置为0,此时等价于ReLU。一个简单的示意图如下:

Merge操作

我们将Dirac初始化的权重给拼接到卷积核进行卷积,这样就能等价替代残差连接了,如下图所示:

上半部分是RMNet的做法,而下部分是一个残差连接操作,除了图示外,我们还可以通过代码来验证等价性

我们以ResBlock作为例子,其输入是个正数

import torch
import torch.nn as nn
import numpy as np


class OriginBlock(nn.Module):
    def __init__(self, planes):
        super(OriginBlock, self).__init__()
        self.conv1 = torch.nn.Conv2d(planes, planes, kernel_size=3, padding=1, bias=False)
        self.relu1 = torch.nn.ReLU()
        self.conv2 = torch.nn.Conv2d(planes, planes, kernel_size=3, padding=1, bias=False)

    def forward(self, x):
        y = self.conv1(x)
        y = self.relu1(y)
        y = self.conv2(y)
        return y + x

class RMBlock(nn.Module):
    def __init__(self, planes):
        super(RMBlock, self).__init__()
        self.mid_planes = planes * 2
        self.Idenconv = torch.nn.Conv2d(planes, self.mid_planes, kernel_size=1, bias=False)
        nn.init.dirac_(self.Idenconv.weight.data[:planes])
        nn.init.dirac_(self.Idenconv.weight.data[planes:])

        self.conv1 = torch.nn.Conv2d(self.mid_planes, self.mid_planes, kernel_size=3, padding=1, bias=False)
        self.relu1 = torch.nn.ReLU()
        self.conv2 = torch.nn.Conv2d(self.mid_planes, planes, kernel_size=3, padding=1, bias=False)

    def forward(self, x):
        y = self.Idenconv(x)
        y = self.conv1(y)
        y = self.relu1(y)
        y = self.conv2(y)
        return y


planes = 4
OriginResBlock = OriginBlock(planes)
RMResBlock = RMBlock(planes)
"""
Do some initialization
"
""
# For conv1
nn.init.dirac_(RMResBlock.conv1.weight.data[:planes])  # Oc, Ic, K, K
torch.nn.init.zeros_(RMResBlock.conv1.weight.data[planes:][:, :planes])
RMResBlock.conv1.weight.data[planes:][:, planes:] = OriginResBlock.conv1.weight.data
# For conv2
nn.init.dirac_(RMResBlock.conv2.weight.data[:, :planes])  # Oc, Ic, K, K
RMResBlock.conv2.weight.data[:, planes:] = OriginResBlock.conv2.weight.data

# Insure the Input is positive.
x = torch.Tensor(np.random.uniform(low=0.0, high=1, size=(1, planes, 4, 4)))
original_res_output = OriginResBlock(x)
rmblock_output = RMResBlock(x)
print("RM output is equal?: ", np.allclose(original_res_output.detach().numpy(), rmblock_output.detach().numpy(), atol=1e-3))

将ResNet转换为VGG

前面我们通过图示和代码,将残差连接给去除了。而ResNet中还存在下采样操作,在旁路分支会加入一个stride=2的卷积进行下采样。

针对下采样操作的转换,我们提出了两种方案:

第一种方案,我们将旁路分支中stride=2的1x1卷积经过pad补0填充为3x3卷积,扩张通道数。

此时卷积出来的结果有正有负(跟前面讨论的Mobilenetv2的情况类似),为了保证恒等映射,我们这里采用的是PReLU(残差分支即左边的,alpha权重为0等价于ReLU,旁路分支的alpha权重为1,等价于恒等映射)。

然后我们再接入一个Dirac初始化的3x3卷积来保证恒等映射。最后我们能融合成最右边图的情况,这三个步骤对应的代码如下:

import torch
import torch.nn as nn
import numpy as np


class OriginDownSample(nn.Module):
    def __init__(self, planes):
        super(OriginDownSample, self).__init__()
        self.conv1 = nn.Conv2d(planes, planes * 2, kernel_size=3, stride=2, padding=1, bias=False)
        self.relu1 = nn.ReLU()
        self.conv2 = nn.Conv2d(planes * 2, planes * 2, kernel_size=3, stride=1, padding=1, bias=False)
        self.down_sample = nn.Conv2d(planes, planes * 2, kernel_size=1, stride=2, bias=False)

    def forward(self, x):
        y = self.conv1(x)
        y = self.relu1(y)
        y = self.conv2(y)
        return y + self.down_sample(x)


class RMDownSampleStage1(nn.Module):
    def __init__(self, planes):
        super(RMDownSampleStage1, self).__init__()
        self.conv1 = nn.Conv2d(planes, planes * 2, kernel_size=3, stride=2, padding=1, bias=False)
        # Equals to ReLU.
        self.prelu1 = nn.PReLU(planes*2)
        nn.init.zeros_(self.prelu1.weight)
        self.conv2 = nn.Conv2d(planes * 2, planes * 2, kernel_size=3, stride=1, padding=1, bias=False)
        self.down_sample1 = nn.Conv2d(planes, planes * 2, kernel_size=3, stride=2, padding=1, bias=False)
        # Linear Activation.
        self.prelu2 = nn.PReLU(planes*2)
        nn.init.ones_(self.prelu2.weight)
        self.down_sample2 = nn.Conv2d(planes * 2, planes * 2, kernel_size=3, stride=1, padding=1, bias=False)
        nn.init.dirac_(self.down_sample2.weight)

    def forward(self, x):
        branchA = self.conv1(x)
        branchA = self.prelu1(branchA)
        branchA = self.conv2(branchA)

        branchB = self.down_sample1(x)
        branchB = self.prelu2(branchB)
        branchB = self.down_sample2(branchB)
        return branchA + branchB


class RMDownSampleStage2(nn.Module):
    def __init__(self, planes):
        super(RMDownSampleStage2, self).__init__()
        self.conv1 = nn.Conv2d(planes, planes * 4, kernel_size=3, stride=2, padding=1, bias=False)
        self.prelu1 = nn.PReLU(planes*4)
        self.conv2 = nn.Conv2d(planes * 4, planes * 2, kernel_size=3, stride=1, padding=1, bias=False)

    def forward(self, x):
        y = self.conv1(x)
        y = self.prelu1(y)
        y = self.conv2(y)
        return y


planes = 2
OriginResDownSample = OriginDownSample(planes)
RMDownSample1 = RMDownSampleStage1(planes)
RMDownSample2 = RMDownSampleStage2(planes)
"""
Do Some Initialization
"
""
RMDownSample1.conv1.weight = OriginResDownSample.conv1.weight
RMDownSample1.conv2.weight = OriginResDownSample.conv2.weight
# Padding from zero value to convert 1x1 to 3x3 kernel
RMDownSample1.down_sample1.weight = torch.nn.Parameter(
                                        torch.nn.functional.pad(
                                            OriginResDownSample.down_sample.weight.data, [1, 1, 1, 1], value=0.0)
                                    )
x = torch.Tensor(np.random.uniform(low=0.0, high=1, size=(1, planes, 4, 4)))
original_res_output = OriginResDownSample(x)
rmblock_output = RMDownSample1(x)
print("RM output is equal?: ", np.allclose(original_res_output.detach().numpy(),
                                           rmblock_output.detach().numpy(),
                                           atol=1e-4))

RMDownSample2.conv1.weight = torch.nn.Parameter(
                                torch.cat(
                                    [RMDownSample1.conv1.weight, RMDownSample1.down_sample1.weight], dim=0)
                            )
RMDownSample2.prelu1.weight = torch.nn.Parameter(
                                torch.cat(
                                    [RMDownSample1.prelu1.weight, RMDownSample1.prelu2.weight], dim=0)
                            )
RMDownSample2.conv2.weight = torch.nn.Parameter(
                                torch.cat(
                                    [RMDownSample1.conv2.weight, RMDownSample1.down_sample2.weight], dim=1)
                            )
rmblock_outputv2 = RMDownSample2(x)
print("RM output is equal?: ", np.allclose(rmblock_outputv2.detach().numpy(),
                                           rmblock_output.detach().numpy(),
                                           atol=1e-4))

第二种方案,先采用大小3x3,stride=2的恒等映射卷积,降低分辨率。再用stride=1的3x3卷积扩张通道数,对应代码:

import torch
import torch.nn as nn
import numpy as np


class OriginDownSample(nn.Module):
    def __init__(self, planes):
        super(OriginDownSample, self).__init__()
        self.conv1 = nn.Conv2d(planes, planes * 2, kernel_size=3, stride=2, padding=1, bias=False)
        self.relu1 = nn.ReLU()
        self.conv2 = nn.Conv2d(planes * 2, planes * 2, kernel_size=3, stride=1, padding=1, bias=False)
        self.down_sample = nn.Conv2d(planes, planes * 2, kernel_size=1, stride=2, bias=False)

    def forward(self, x):
        y = self.conv1(x)
        y = self.relu1(y)
        y = self.conv2(y)
        return y + self.down_sample(x)


class RMDownSampleV2Stage1(nn.Module):
    def __init__(self, planes):
        super(RMDownSampleV2Stage1, self).__init__()
        self.conv1 = nn.Conv2d(planes, planes * 2, kernel_size=3, stride=2, padding=1, bias=False)
        self.relu1 = nn.ReLU()
        self.conv2 = nn.Conv2d(planes * 2, planes * 2, kernel_size=3, stride=1, padding=1, bias=False)
        self.identity_down_sample = nn.Conv2d(planes, planes, kernel_size=3, stride=2, padding=1, bias=False)
        nn.init.dirac_(self.identity_down_sample.weight)
        self.relu2 = nn.ReLU()
        self.down_sample2 = nn.Conv2d(planes, planes * 2, kernel_size=3, stride=1, padding=1, bias=False)

    def forward(self, x):
        branchA = self.conv1(x)
        branchA = self.relu1(branchA)
        branchA = self.conv2(branchA)

        branchB = self.identity_down_sample(x)
        branchB = self.relu2(branchB)
        branchB = self.down_sample2(branchB)

        return branchA + branchB


class RMDownSampleV2Stage2(nn.Module):
    def __init__(self, planes):
        super(RMDownSampleV2Stage2, self).__init__()
        self.conv1 = nn.Conv2d(planes, planes * 3, kernel_size=3, stride=2, padding=1, bias=False)
        self.relu1 = nn.ReLU()
        self.conv2 = nn.Conv2d(planes * 3, planes * 2, kernel_size=3, stride=1, padding=1, bias=False)

    def forward(self, x):
        y = self.conv1(x)
        y = self.relu1(y)
        y = self.conv2(y)
        return y

planes = 2
OriginResDownSample = OriginDownSample(planes)
RMDownSample1 = RMDownSampleV2Stage1(planes)
RMDownSample2 = RMDownSampleV2Stage2(planes)
"""
Do Some Initialization
"
""
RMDownSample1.conv1.weight = OriginResDownSample.conv1.weight
RMDownSample1.conv2.weight = OriginResDownSample.conv2.weight
# Padding from zero value to convert 1x1 to 3x3 kernel
RMDownSample1.down_sample2.weight = torch.nn.Parameter(
                                        torch.nn.functional.pad(
                                            OriginResDownSample.down_sample.weight.data, [1, 1, 1, 1], value=0.0)
                                    )

x = torch.Tensor(np.random.uniform(low=0.0, high=1, size=(1, planes, 4, 4)))
original_res_output = OriginResDownSample(x)
rmblock_output = RMDownSample1(x)
print("RM output is equal?: ", np.allclose(original_res_output.detach().numpy(),
                                           rmblock_output.detach().numpy(),
                                           atol=1e-4))

RMDownSample2.conv1.weight = torch.nn.Parameter(
                                torch.cat(
                                    [RMDownSample1.conv1.weight, RMDownSample1.identity_down_sample.weight], dim=0)
                            )
RMDownSample2.conv2.weight = torch.nn.Parameter(
                                torch.cat(
                                    [RMDownSample1.conv2.weight, RMDownSample1.down_sample2.weight], dim=1)
                            )
rmblock_outputv2 = RMDownSample2(x)
print("RM output is equal?: ", np.allclose(rmblock_output.detach().numpy(),
                                           rmblock_outputv2.detach().numpy(),
                                           atol=1e-4))

这两种方案参数量分别为

  • 方案1: Conv1(C*4C*3*3) + PReLU(4C) + Conv2(4C*2C*3*3) = 108C^2 + 4C
  • 方案2: Conv1(C*3C*3*3) + Conv2(3C*2C*3*3) = 81C^2

方案2的参数量仅为方案1的75%,因此我们选用的是方案2

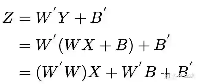
将MobileNetV2转换为MobileNetV1

这部分思想和前面的类似,笔者这里仅简单描述下,首先通过RM操作去除残差分支。然后中间的两个卷积层,可以融合为一个卷积层,对应公式如下:

剪枝

当我们移除残差操作后,对剪枝操作也是很友好的,RMNet能以更高的比例去剪枝:

实验

实验部分笔者也简单介绍,有兴趣的读者可以翻看原文。

首先作者展示了在深度加深的情况下,RepVGG和RMNet的结果。由于RepVGG没有跨层残差连接,在网络加深的情况下,反而出现精度下降,而RMNet的精度一直在线:

通过设置分组卷积通道数以及合适的扩张宽度,RMNet也能在精度和速度上达到一个很好的Trade-off。其中RMNet 50x6_32 表示深度为50层,6代表width ratio,而32代表每个分组的卷积通道数。在和RepVGG相同的实验条件下进行比较:

最后是一个剪枝的实验:

结论

在笔者看来,这是一篇诚意满满的工作。作者提出的RM操作,在原始的重参数思想发展,去除了让人又爱又恨的残差连接。虽然这种操作会让网络通道数翻倍,但是可以应用高ratio的剪枝操作来弥补了这一缺陷。十分推荐各位去阅读其代码~

如果觉得有用,就请分享到朋友圈吧!

△点击卡片关注极市平台,获取 最新CV干货

公众号后台回复“transformer”获取最新Transformer综述论文下载~




CV技术社群邀请函 #

△长按添加极市小助手
添加极市小助手微信(ID : cvmart4)

备注:姓名-学校/公司-研究方向-城市(如:小极-北大-目标检测-深圳)


即可申请加入极市目标检测/图像分割/工业检测/人脸/医学影像/3D/SLAM/自动驾驶/超分辨率/姿态估计/ReID/GAN/图像增强/OCR/视频理解等技术交流群


每月大咖直播分享、真实项目需求对接、求职内推、算法竞赛、干货资讯汇总、与 10000+来自港科大、北大、清华、中科院、CMU、腾讯、百度等名校名企视觉开发者互动交流~



觉得有用麻烦给个在看啦~   
登录查看更多
1

相关内容

【干货书】优化与学习的随机梯度技术,238页pdf
专知会员服务
54+阅读 · 2021年11月22日
结构化剪枝综述
专知会员服务
49+阅读 · 2021年11月18日
专知会员服务
25+阅读 · 2021年7月31日
专知会员服务
12+阅读 · 2021年6月20日
专知会员服务
24+阅读 · 2021年6月14日
专知会员服务
15+阅读 · 2021年5月12日
专知会员服务
18+阅读 · 2020年10月18日
【ACM MM2020】对偶注意力GAN语义图像合成
专知会员服务
36+阅读 · 2020年9月2日
基于改进卷积神经网络的短文本分类模型
专知会员服务
26+阅读 · 2020年7月22日
机器学习速查手册,135页pdf
专知会员服务
345+阅读 · 2020年3月15日
梯度下降算法的工作原理
极市平台
6+阅读 · 2020年11月2日
语义分割中的Attention和低秩重建
极市平台
37+阅读 · 2019年9月1日
一文看懂深度文本分类之 DPCNN 原理与代码
人工智能头条
10+阅读 · 2019年2月11日
卷积神经网络简明教程
论智
8+阅读 · 2018年8月24日
【干货】卷积神经网络中的四种基本组件
三种减少卷积神经网络复杂度同时不降低性能的新方法
统计学习与视觉计算组
3+阅读 · 2017年5月26日
Arxiv
0+阅读 · 2022年2月6日
Arxiv
0+阅读 · 2022年2月5日
Arxiv
0+阅读 · 2022年2月5日
Arxiv
0+阅读 · 2022年2月3日
Arxiv
7+阅读 · 2021年3月15日
Conditional BERT Contextual Augmentation
Arxiv
8+阅读 · 2018年12月17日
VIP会员
最新内容
高效视频扩散模型:进展与挑战
专知会员服务
0+阅读 · 40分钟前
乌克兰前线的五项创新
专知会员服务
4+阅读 · 今天6:14
 军事通信系统与设备的技术演进综述
专知会员服务
3+阅读 · 今天5:59
《北约标准:医疗评估手册》174页
专知会员服务
3+阅读 · 今天5:51
《提升生成模型的安全性与保障》博士论文
专知会员服务
3+阅读 · 今天5:47
美国当前高超音速导弹发展概述
专知会员服务
4+阅读 · 4月19日
无人机蜂群建模与仿真方法
专知会员服务
12+阅读 · 4月19日
澳大利亚发布《国防战略(2026年)》
专知会员服务
6+阅读 · 4月19日
相关VIP内容
【干货书】优化与学习的随机梯度技术,238页pdf
专知会员服务
54+阅读 · 2021年11月22日
结构化剪枝综述
专知会员服务
49+阅读 · 2021年11月18日
专知会员服务
25+阅读 · 2021年7月31日
专知会员服务
12+阅读 · 2021年6月20日
专知会员服务
24+阅读 · 2021年6月14日
专知会员服务
15+阅读 · 2021年5月12日
专知会员服务
18+阅读 · 2020年10月18日
【ACM MM2020】对偶注意力GAN语义图像合成
专知会员服务
36+阅读 · 2020年9月2日
基于改进卷积神经网络的短文本分类模型
专知会员服务
26+阅读 · 2020年7月22日
机器学习速查手册,135页pdf
专知会员服务
345+阅读 · 2020年3月15日
相关资讯
梯度下降算法的工作原理
极市平台
6+阅读 · 2020年11月2日
语义分割中的Attention和低秩重建
极市平台
37+阅读 · 2019年9月1日
一文看懂深度文本分类之 DPCNN 原理与代码
人工智能头条
10+阅读 · 2019年2月11日
卷积神经网络简明教程
论智
8+阅读 · 2018年8月24日
【干货】卷积神经网络中的四种基本组件
三种减少卷积神经网络复杂度同时不降低性能的新方法
统计学习与视觉计算组
3+阅读 · 2017年5月26日
相关论文
Arxiv
0+阅读 · 2022年2月6日
Arxiv
0+阅读 · 2022年2月5日
Arxiv
0+阅读 · 2022年2月5日
Arxiv
0+阅读 · 2022年2月3日
Arxiv
7+阅读 · 2021年3月15日
Conditional BERT Contextual Augmentation
Arxiv
8+阅读 · 2018年12月17日
Top
微信扫码咨询专知VIP会员